省赛结束后,我整个人都不好了
第五题题目描述(大概):有n个景区,m条路,每条路连接两个景区,一次输出从每一个景区(除了第n个)到第n个景区最少需要经过多少条路
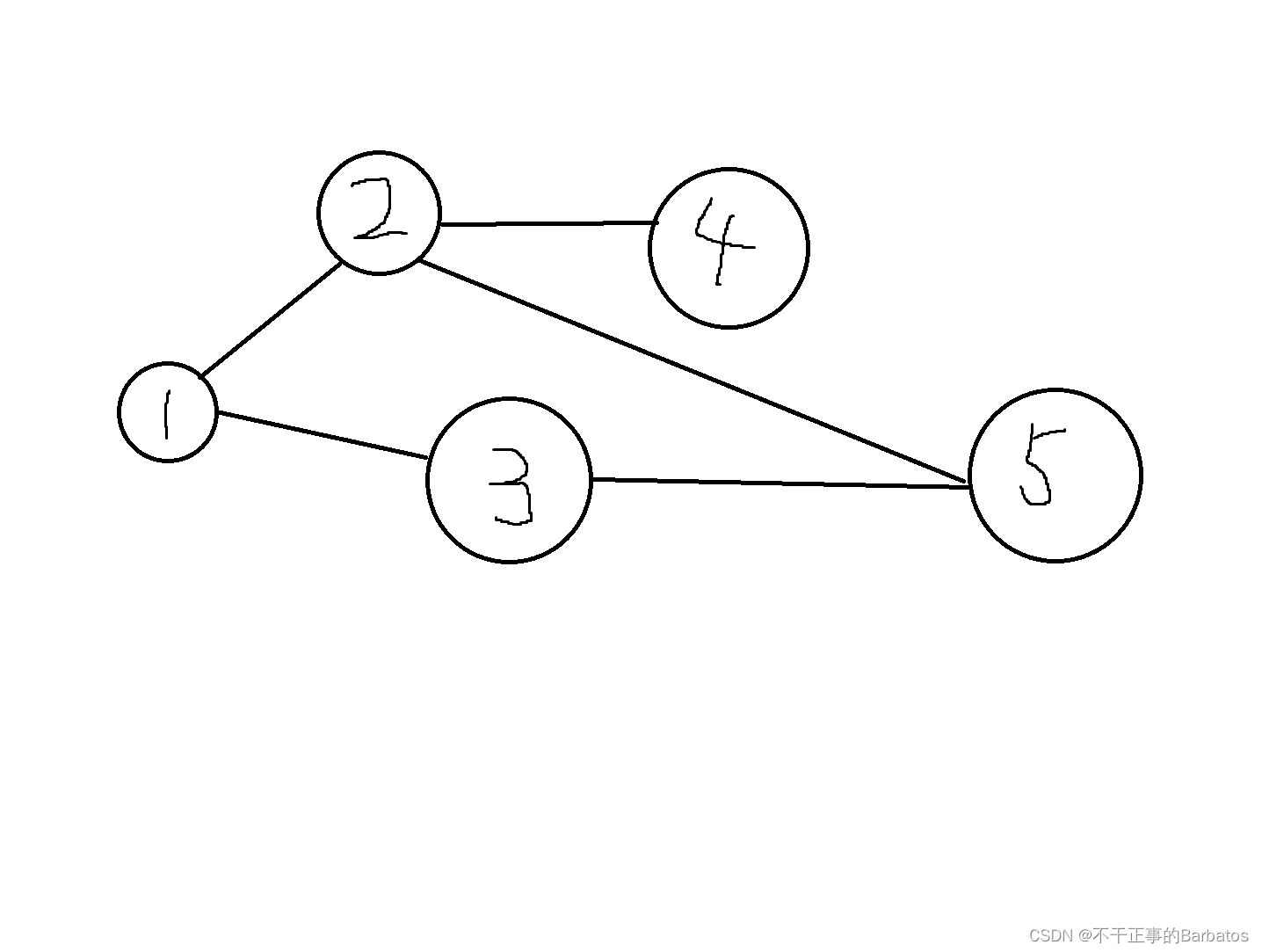
输入样例:
5 5
1 2
1 3
2 5
3 5
2 4
输出样例:
2 1 1 2

---------------------------------------------------------------------------------------------------------------------------------
因为我不聪明所以我用了一个递归解决这道题
#include<bits/stdc++.h>
using namespace std;
int a[220][3],minn;
int m,n;
void dfs(int now,int t,int last,int m1) //now:现在的位置,t:已经走过的路的数量 last:上一次移动前所在的位置 m1:需要到达的重点(其实不需要,因为只有一个终点)
{
if(now==m1)
{
minn=min(minn,t);

博客介绍了在蓝桥杯省赛中遇到的第5题,问题涉及找到从n个景区中任意一个(除第n个外)到第n个景区的最短路径。博主采用递归方法解决此题,并分享了思路。
最低0.47元/天 解锁文章
610





