1 共射放大电路一般性质
先看图1所示的电路,求解出输出电压表达式:

-
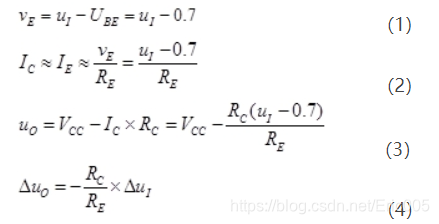
使用式(2)就默认三极管是处于放大区,如果事后发现不是放大区,就需要重新计算。
-
式(3)代表通过计算得出的输入输出电压关系,和这个电路名字叫什么没关系。
-
式(4)是考察输入输出变化量(求导)时的关系,VCC和0.7等常数项都被消去。可以看出,输入输出信号之间存在反相比例关系。

图1所示的电路就是传说中的共射放大电路。我们可以给定一组参数,实际求解一下。VCC=15V;RE=2kΩ;RC=10kΩ;ui=2+sinωt。得:

完全用画图板的手绘波形如图2所示,TINA仿真电路及波形如图3所示。

图2 手绘共射放大电路输入输出波形

图3 共射放大电路的TINA仿真 -
在电路分析中,波形分析法是十分“靠谱”的方法。绘制出电路中各节点的电压波形和回路的电流波形图代表着“我命由己不由天”的英雄气概。
-
如图2所示,首先应画出横坐标和纵坐标。然后标定8.5V和15V两根横线。
-
根据式(5),uo最大值为13.5V,最小值为3.5V,那么这两根横线也标定出来。
-
根据式(5),当ωt=0.5π时,uO取最小值3.5V;当ωt=1.5π时,uO取最大值13.5V。画出uO波形。同理可以画出uI波形。
对图2进行分析可以发现很多有用信息:
- 放大倍数为-5倍,这确实是一个“放大电路”。
- uO的最大值和最小值没有超过0-15V的供电范围,这说明在整个ui输入信号范围,三极管既没有饱和也没有截止,一直工作在放大区。
- 输入信号ui的最小值是1V,足够保证BE之间的二极管导通,也就是ib一直存在。否则三极管也一定会截止(没有ib就没有ic)。
2 放大电路的直流偏移
在很多时候,输入信号vI都是纯交流信号,输出信号vO也要求是纯交流信号。如何输入信号uI的2V直流偏移电压,又如何将输出信号中的8.5V直流偏移电压消去呢?参考图4所示:
- 对于输入部分,一般不用2V直流电源来实现,因为代价太大。通常使用电阻分压来提供2V的直流偏置。
- 在放大电路中,电解电容的作用一律看成是电池,我们所要做的就是计算出电容到底等效多少电压的电池。
- uI如果是纯交流信号,每个周期它对电容C1充放电电荷相等,不影响C1上最终等效电池的电压。
- R1和R2的分压将会对电容C1充电,从而将uI抬升所需要的电压再进入基极。
- 对于输出部分,电解电容C2的作用也是等效为电池,uO偏移的8.5V电压会把电容C2充电为左正右负的8.5V电池,通过C2后的uO一定是纯交流。
- 电容C2的作用叫隔直电容,从高通滤波的角度也可以解释。uO中纯直流电压当然无法通过C2所构成的高通滤波器。
利用TINA对图4所示电路进行仿真,可得电路各节点的电压波形,大家可以检验一下自己是否能徒手画出该波形。

图4 带直流偏置的共射放大电路仿真
注:
1、 三极管管压降UCE降到最低,IC仍达不到βIB,则三极管工作在什么状态(区)?
参考答案:饱和区
2、 三极管恒流源电路中,能够做到恒流输出时,称之为工作在什么状态(区)?
参考答案:放大区
3、 大容量电容在三极管放大电路中一般可以等效为什么器件?
参考答案:电池
4、 共射放大电路中,以下说法是否正确:输出电容与负载构成高通滤波器,所以集电极输出中频率为零的直流成分无法通过电容。
参考答案:正确
1370

被折叠的 条评论
为什么被折叠?



