给出一张n*m(1<=n,m<=2000)的矩阵,’.’ 代表空地,’#’ 代表障碍物,合法矩阵为内部不含障碍物的矩阵。求出所有合法矩阵的面积之和。
input
2 3
.#.
…#
output
8
input
3 3
…
…
…
output
100
input
3 4
…#.
#…
…#
output
40
先预处理出一个数组dp,记录每个点向上最大的合法高度。 对于每一行,维护底在这一行的矩阵的面积和。从左往右扫,利用单调栈维护高度。对于答案的更新只在pop的时候进行。如果当前列高大于栈顶,直接丢进去;如果相等
就跳过;如 果当前列高小于栈顶,就把栈顶跳出并更新:

如图,计算绿色部分的贡献,即计算绿色部分能使底为3,4的矩阵增加多少合法矩阵的面积。或者说本来24的举证扩大了22的绿色部分之后增加的合法矩阵的面积和是多少。
计算高度为h1+1:
宽度为x*1的矩阵可以得到:
| 宽度 | 数量 |
|---|---|
| 1 | x |
| 2 | x-1 |
| …… | …… |
| x | 1 |
所以总宽度为
∑i=1xi∗(x−i+1)\sum_{i=1}^x{i*(x-i+1)}∑i=1xi∗(x−i+1)
=∑i=1xx∗i−∑i=1xi2+∑i=1xi==\sum_{i=1}^x{x*i}-\sum_{i=1}^x{i^2}+\sum_{i=1}^x{i}==∑i=1xx∗i−∑i=1xi2+∑i=1xi=
∵∑i=1xi2=x(x+1)(x∗2+1)6\because \sum_{i=1}^x{i^2}=\frac{x(x+1)(x*2+1)}{6}∵∑i=1xi2=6x(x+1)(x∗2+1)
∴\therefore∴ 原式=x(x+1)(x+2)6=\frac{x(x+1)(x+2)}{6}=6x(x+1)(x+2)
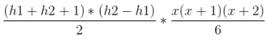
高度从h1+1到h2
所以增加的总面积为

#include<bits/stdc++.h>
using namespace std;
#define ll long long
const int N = 2e3+10;
ll d[N][N];
char s[N];
struct node{
ll h,index;
}a[N];
int main()
{
int n,m;
scanf("%d%d",&n,&m);
for (int i = 1;i<=n;i++)
{
scanf("%s",s+1);
for (int j = 1;j<=m;j++)
{
if (s[j] == '.') d[i][j] = d[i-1][j] + 1;
}
}
ll ans = 0;
for (int i = 1;i<=n;i++)
{
int len = 0;
memset(a,0,sizeof(a));
for (int j = 1;j<=m;j++)
{
int last = j;
while (len > 0 && a[len].h > d[i][j])
{
ll x = j-a[len].index,h1 = max(d[i][j],a[len-1].h),h2 = a[len].h;
last = a[len].index;
ans += x * (x + 1) * (x + 2) / 6 * (h2 - h1) * (h1 + h2 + 1) / 2;
len--;
}
if (d[i][j] == a[len].h) continue;
a[++len].h = d[i][j];
a[len].index = last;
}
while (len > 0)
{
ll x = m-a[len].index + 1,h1 = a[len-1].h,h2 = a[len].h;
ans += x * (x + 1) * (x + 2) / 6 * (h2 - h1) * (h1 + h2 + 1) / 2;
len--;
}
}
cout<<ans;
return 0;
}
1328

被折叠的 条评论
为什么被折叠?



