一、题目
给你一个整数 n ,求恰由 n 个节点组成且节点值从 1 到 n 互不相同的 二叉搜索树 有多少种?
返回满足题意的二叉搜索树的种数。
示例 1:

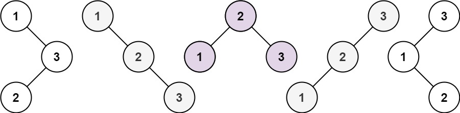
输入:n = 3
输出:5
示例 2:
输入:n = 1
输出:1
提示:
1 <= n <= 19
二、思路
看出来是动态规划了,但依旧半天没思路,还是得题解启发。
不得不说确实巧妙,将问题本质变为了左子树的种数*右子树的种数(*的原因是在左/右子树不变的情况下,右/左子树每次改变都会是不同搜索树)
接下来编码环节其实就没什么难度了,思路太重要了,还得练
三、题解
class Solution {
private:
vector<int> dp;
int sum;
public:
int numTrees(int n) {
dp=vector<int>(100010,0);
for(int left=0;left<=n;left++){
if(left==0) sum=1; //空二叉树
else if(left==1) sum=1;
else if(left==2) sum=2;
else{
for(int right=left-1;right>=0;right--){
sum+=dp[right]*dp[left-1-right];
}
}
dp[left]=sum;
sum=0;
}
return dp[n];
}
};
1054

被折叠的 条评论
为什么被折叠?



