摘 要
随着高校规模的扩大和学生数量的增长,传统的自习室管理模式已难以满足现代教育管理的需求。本研究旨在设计并实现一个基于Spring Boot框架的高效、便捷的高校自习室管理系统,以提高自习室资源的利用率和管理水平。系统采用了前后端分离的技术架构,前端使用Vue.js提升用户体验,后端基于Spring Boot构建稳定的微服务架构,并利用MyBatis作为持久层框架实现了对MySQL数据库的操作。此外,系统还集成了身份验证和权限管理功能,确保了系统的安全性和可靠性。通过对系统进行详细的模块设计,包括用户管理、自习室预约、座位分配、信息发布等核心功能,本研究有效地解决了传统自习室管理中存在的问题,如信息不透明、资源浪费等。实验结果表明,该系统不仅提高了自习室资源的利用率,还极大地提升了学生的满意度和管理效率。未来的工作将进一步优化系统性能,增加更多智能化管理特性。
关键词:高校自习室;SpringBoot;Java;MySQL.
Abstract
With the expansion of colleges and universities and the growth of the number of students, the traditional self-study room management model has been difficult to meet the needs of modern education management. The purpose of this study is to design and implement an efficient and convenient study room management system based on Spring Boot framework, so as to improve the utilization and management level of study room resources. The system adopts a technical architecture of front-end and back-end separation, the front-end uses Vue.js to improve the user experience, the back-end builds a stable microservice architecture based on Spring Boot, and uses MyBatis as a persistence layer framework to realize the operation of MySQL database. In addition, authentication and rights management functions are integrated to ensure the security and reliability of the system. Through the detailed module design of the system, including the core functions of user management, study room reservation, seat allocation, information release, etc., this study effectively solves the problems existing in traditional study room management, such as information opacity and resource waste. The experimental results show that the system not only improves the utilization rate of self-study room resources, but also greatly improves students' satisfaction and management efficiency. Future work will further optimize system performance and add more intelligent management features.
Keywords:Self-study rooms in colleges and universities; SpringBoot; Java; MySQL.
目 录
第1章绪 论
1.1 项目背景与意义
1.1.1 研究背景
随着高等教育的普及和高校规模的不断扩大,学生对于学习空间的需求日益增加,尤其是自习室作为学生自主学习的重要场所,其管理效率和服务质量直接影响到学生的学习体验和效果。然而,传统的自习室管理模式往往依赖于人工操作,存在预约流程繁琐、资源利用率低、信息不透明等问题。因此,开发一个高效、便捷、智能化的自习室管理系统成为提升高校教育资源利用效率和服务水平的关键[1]。近年来,随着高校招生规模的逐年扩大,学生数量急剧增加,对有限的学习资源(如自习室)的需求也相应增大。如何合理分配这些资源,确保每个学生都能获得足够的学习空间,是当前高校面临的一个重要问题。
1.1.2 研究意义
传统的自习室管理模式往往依赖人工操作,比如预约登记、座位分配等,这种方式不仅耗时而且容易出错。通过开发基于Spring Boot的管理系统,可以实现自动化管理,提高工作效率,减少人为错误。该系统可以通过收集和分析学生使用自习室的数据,如高峰时段、偏好位置等,帮助学校更好地了解学生需求,从而更合理地安排和调整自习室资源,最大化利用空间。对于学生来说,一个功能完善的自习室管理系统能够提供便捷的服务,如在线预约、实时查看座位使用情况等,极大地提高了用户的便利性和满意度。通过对系统中数据的深入分析,可以帮助学校管理层做出更加科学合理的决策。例如,根据不同时段的使用率来决定是否需要增加或减少自习室数量,或者是否需要对现有设施进行升级等。从技术角度来看,设计并实现这样一个系统是对Spring Boot及其他相关技术(如数据库管理、前端框架等)的一次很好的实践机会[2]。此外,针对具体应用场景提出的解决方案也可能带来技术创新,为类似项目的开发提供参考案例。此类系统的成功实施有助于推动高校整体的信息化建设进程,构建智慧校园环境,提高教育质量和管理水平。
综上所述,基于Spring Boot的高校自习室管理系统的研究与实现不仅有助于解决实际问题,提升学校的管理和服务水平,同时也促进了信息技术在教育领域的应用与发展。
1.2 国内外研究现状
1.2.1 国内研究现状
在国内,随着信息技术的发展和高等教育的普及,越来越多的高校开始重视信息化建设。自习室管理系统的开发与应用成为提升学校管理水平和服务质量的重要手段之一。一些高校已经开始采用或正在开发基于Web的应用系统来管理和预约自习室资源。这些系统通常集成了用户认证、在线预约、座位管理等功能,并且为了提高用户体验和系统的可维护性,许多系统选择使用Spring Boot框架进行开发[3]。国内在开发此类系统时,倾向于结合最新的技术趋势,比如云计算、大数据分析等,以提供更加智能化的服务。注重根据学生和教师的实际需求设计功能,例如灵活的预订机制、即时的座位状态更新等。
1.2.2 国外研究现状
在国外,特别是欧美等发达国家,高校对于信息化管理同样给予了高度重视。然而,由于文化差异和社会背景的不同,国外的自习室管理系统在设计理念上可能与中国有所不同。国外的系统往往更强调开放性和资源共享,不仅服务于本校师生,有时还会对外开放给社区成员使用。注重用户的个性化需求,通过数据分析提供定制化的服务和建议。倾向于构建一个综合性的学习资源管理平台,自习室管理系统只是其中的一部分[4],还包括图书馆资源管理、课程安排等功能。
总体来说,无论是国内还是国外,基于Spring Boot的高校自习室管理系统都在向着更加智能、便捷、人性化的方向发展。随着技术的进步,未来这类系统将会融合更多先进的技术,如物联网(IoT)、人工智能(AI)等,进一步提升服务质量与用户体验。同时,考虑到不同地区的具体需求和条件,开发者需要在借鉴国际经验的基础上,结合本地实际情况进行创新和优化。
1.3 主要研究内容
在开发高校自习室管理系统时,后端采用了Java作为编程语言[5],并利用了SpringBoot框架[6],这使得复杂的业务逻辑和数据操作得以高效完成。与此同时,系统的数据存储和管理通过MySQL数据库实现[7]。结合Vue.js作为前端框架,具有响应式数据绑定和组件化的特点,能够有效地提升用户体验和开发效率。在开发工具的选取上,使用了eclipse,它的强大功能和易用性使得编程工作更为高效;而Navicat作为数据库管理工具,使得数据库操作更为方便和快捷。这样的技术选择,确保了管理系统的开发流程既高效又稳定。本系统主要实现包括后台首页、系统用户、自习室信息管理、预约信息管理、取消信息管理、更改申请管理、签到信息管理、签退信息管理、系统管理、公告通知管理、资源管理、交流管理、个人信息修改、密码修改等功能进行管理。
第2章开发环境及技术架构
2.1 开发环境与工具
高校自习室管理系统使用Java语言作为主要语言,前端使用Vue.js框架,后端基于SpringBoot框架开发而成,存储数据使用的是使用较为广泛的MySQL数据库。系统所使用的系统开发环境如下表2-1所示。
表2-1系统开发环境
| 操作系统版本: | Win10 |
| 数据库环境: | MySQL5.7 |
| JDK版本: | JDK1.8.0_191 |
| 主要技术: | Springboot2、Apache Tomcat8.5、Webpack 4.0、Vue.js、Element 、Navicat、bootstrap…… |
| 浏览器: | Chrome |
MySQL是一款广受欢迎的关系数据库管理系统,它能够高效地存储和处理大量的数据。MySQL在Web应用程序中有着卓越的表现,是众多开发者的首选。MySQL遵循SQL语言的标准,这是一种通用的数据库操作语言,简单易学,功能强大。结合Apache服务器,MySQL可以构建出一个优秀的开发环境。
SpringBoot是一个新颖的框架,由Pivotal团队推出,旨在简化Spring应用的创建和开发过程。SpringBoot通过提供一些默认的配置和约定,避免了开发者重复编写模板化的代码。SpringBoot力求成为快速应用开发领域的领导者,让开发者能够更专注于业务逻辑。
Mybatis是一个优秀的持久层框架,它支持定制化SQL、存储过程和高级映射。Mybatis可以消除大部分的JDBC代码和参数的手工设置,让开发者更方便地操作数据库。Mybatis可以和Spring框架完美地集成,提高开发效率和性能。
Tomcat是一种免费的服务器,它能够有效地处理大量的网络访问,特别是在访问量较少的情况下。当将Tomcat安装在电脑上时,它能够自动分析前端HTML页面的请求,从而提高网络的性能。事实上,Tomcat是对Apache的一种延伸,但它与Apache之间的关系更加紧密,因为它们在不同的进程中运行,而且它们之间也有着自己的独立性。
Vue.js是一个轻量级的、用于构建用户界面的渐进式框架[8]。它与其他大型框架不同,Vue.js采用了自底向上的设计思想,可以逐层地应用到项目中。Vue.js的核心库只关注视图层,易于上手,也便于与第三方库或现有项目集成。另一方面,Vue.js也可以与现代化的工具链和各种支持库结合使用,从而实现复杂的单页应用程序。
2.2 技术架构
本系统是基于SpringBoot、Mysql、Vue的前后端完全分离的后台管理系统[9]。
2.2.1 B/S模式
B/S模式,即浏览器/服务器模式,是一种常见的网络应用架构模式。在B/S模式中,用户通过浏览器作为客户端与服务器进行交互。在浏览器/服务器(browser / Server Architecture)系统中,用户只需通过浏览器,就能够轻松地向分布在网络各处的众多服务器发送海量的请求。B/S系统大大地简化了客户端的工作,让用户体验更加便捷。
2.2.2 SpringBoot框架
Spring是一个知名的开源框架,它于2003年诞生于Rod Johnson的《Expert One-on-One Java EE Development and Design》一书中。Spring的初衷是为了解决企业级应用开发的复杂性,它让简单的JavaBean也能够实现原本只有EJB才能做到的功能。Spring不仅适用于服务器端的开发,它还能够为任何Java应用程序带来简洁、可测试和低耦合的优势。尽管Spring的组件代码很轻量级,但是它的配置却很繁琐。最初,Spring是使用XML配置的,但是随着项目的增长,XML配置也变得越来越多。
为了改进和优化Spring的缺点,SpringBoot框架应运而生,它基于约定优于配置的理念,让开发者无需编写大量的配置文件,只需遵循一些简单的规则即可。SpringBoot使开发者能够专注于业务逻辑的编码,而不用在配置和业务之间切换思维,这在很大程度上提高了开发效率,缩短了项目开发周期。
第3章需求分析
3.1 可行性分析
通过综合考虑经济、操作、技术等因素,可以对基于SpringBoot的高校自习室管理系统的可行性进行全面评估。这将有助于确定项目的成功概率,并为项目规划提供坚实的基础。
3.1.1 经济可行性分析
经济可行性在此仅代表平台的运维成本,开发成本不在此考虑。
目前该模式下的相关系统的数量日益增多,信息管理系统的平民化、普及化使用户人数呈上升趋势,当用户人数庞大了,运维成本可以由广告费进行填补,包括开发成本。
所以经济可行性没有问题。
3.1.2 操作可行性分析
此次项目设计参考了几个该模式下系统的开发案例,对他们的操作界面分析,将众多案例结合在一起,突出以人为本简化操作,所以具有基本计算机知识的人都会操作本项目。
因此操作可行性也没有问题。
3.1.3 技术可行性分析
技术可行性指的是对于搭建框架的可行性,以及有更优秀的技术出现时系统的技术更新换代的纳新性如何,开发时间成本费用比如何。
现有的JAVA语言能够迎合所有系统的搭建。开发这个零食超市管理系统的时候我采用了JAVA+SpringBoot+Vue 用以运行整体程序。
综上所述技术可行性也没有问题。
3.2 功能需求分析
根据用户对系统的需求,要求系统简单操作,能够准确,完整的对信息进行管理。健身房管理系统在对需求做解析后,整个系统主要分为两大部分:管理员、普通用户模块。每个模块下的分支功能不一样。对功能做出如下说明:
用户模块功能有:首页、公告通知、新闻资讯、交流论坛、自习室信息,我的账户、个人中心。
管理员模块功能有:系统用户、自习室信息管理、预约信息管理、取消信息管理、更改申请管理、签到信息管理、签退信息管理、系统管理、公告通知管理、资源管理、交流管理。
根据使用该系统的用户角色可以划分为用户和管理员,具体如下所示。
高校自习室管理系统用户角色用例图如下所示。

图3-1 用户角色用例图
高校自习室管理系统管理员角色用例图如下所示。

图3-3 管理员角色用例图
3.3 性能需求分析
用户操作响应时间:系统应保证用户在操作平台时的响应速度,例如浏览商品、下单等操作应该迅速响应。
系统稳定性:平台应具备一定的容错能力和稳定性,防止因为意外情况导致系统崩溃。
数据安全:用户信息、交易记录等敏感数据需要加密存储,确保数据安全性。
系统并发能力:平台应考虑到可能大量用户同时访问的情况,保证系统的并发处理能力。
基于以上性能需求将确保高校自习室管理系统能够稳定、高效地运行,能够很好地满足用户和管理员的需求。
3.4 系统流程分析
3.4.1 用户注册流程图
注册的过程,第一部分是账号的注册,第二部分是信息完善。在业务开展过程中,管理员可对用户信息进行修改等管理操作,注册流程如图3-4用户注册流程图所示。

图3-4 用户注册流程图
3.4.2 用户注册流程图
登录时,用户填写用户名、密码、选择身份进行登录,在登录过程中后端会对发送过来的信息进行验证和判断,具体的登录流程如图3-5用户登录流程图所示。

图3-5 用户登录流程图
第4章系统设计
4.1 系统功能设计
4.1.1 系统功能模块
基于Spring Boot高校自习室管理系统程序采用前后端分离的设计,游客可以浏览系统前台信息,注册成为用户,登录后才可进行其他操作。用户登录后,可以对公告通知、新闻资讯、交流论坛、自习室信息,我的账户、个人中心;管理员模块功能有:系统用户、自习室信息管理、预约信息管理、取消信息管理、更改申请管理、签到信息管理、签退信息管理、系统管理、公告通知管理、资源管理、交流管理。

图4-1系统功能模块图
4.2 数据库设计
数据库的设计是系统的设计中比较重要的一部分内容,数据库设计是一切系统设计的基础,首先需要进行概念模型E-R图的设计,然后进行关系模型物理模型的建立。
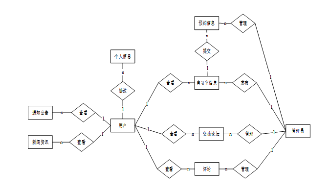
4.2.1 概念模型
本文在系统分析阶段就抽取了一些实体,根据实体之间的关系,经过分析进行系统E-R图的设计。高校自习室管理系统总体E-R图如下图所示。
图4-7系统总体E-R图
4.2.2 物理模型
本系统采MySQL数据库管理系统对数据进行管理。下面是对各个表中的表中各个字段数据类型、大小等做简短描述。高校自习室管理系统所需要的部分数据结构表如下表所示。
| 编号 | 字段名 | 类型 | 长度 | 是否非空 | 是否主键 | 注释 |
| 1 | token_id | int | 是 | 是 | 临时访问牌ID | |
| 2 | token | varchar | 64 | 否 | 否 | 临时访问牌 |
| 3 | info | text | 65535 | 否 | 否 | 信息 |
| 4 | maxage | int | 是 | 否 | 最大寿命:默认2小时 | |
| 5 | create_time | timestamp | 是 | 否 | 创建时间 | |
| 6 | update_time | timestamp | 是 | 否 | 更新时间 | |
| 7 | user_id | int | 是 | 否 | 用户编号 |
表 4-2-article(文章)
| 编号 | 字段名 | 类型 | 长度 | 是否非空 | 是否主键 | 注释 |
| 1 | article_id | mediumint | 是 | 是 | 文章id | |
| 2 | title | varchar | 125 | 是 | 是 | 标题 |
| 3 | type | varchar | 64 | 是 | 否 | 文章分类 |
| 4 | hits | int | 是 | 否 | 点击数 | |
| 5 | praise_len | int | 是 | 否 | 点赞数 | |
| 6 | create_time | timestamp | 是 | 否 | 创建时间 | |
| 7 | update_time | timestamp | 是 | 否 | 更新时间 | |
| 8 | source | varchar | 255 | 否 | 否 | 来源 |
| 9 | url | varchar | 255 | 否 | 否 | 来源地址 |
| 10 | tag | varchar | 255 | 否 | 否 | 标签 |
| 11 | content | longtext | 4294967295 | 否 | 否 | 正文 |
| 12 | img | varchar | 255 | 否 | 否 | 封面图 |
| 13 | description | text | 65535 | 否 | 否 | 文章描述 |
表 4-3-article_type(文章分类)
| 编号 | 字段名 | 类型 | 长度 | 是否非空 | 是否主键 | 注释 |
| 1 | type_id | smallint | 是 | 是 | 分类ID | |
| 2 | display | smallint | 是 | 否 | 显示顺序 | |
| 3 | name | varchar | 16 | 是 | 否 | 分类名称 |
| 4 | father_id | smallint | 是 | 否 | 上级分类ID | |
| 5 | description | varchar | 255 | 否 | 否 | 描述 |
| 6 | icon | text | 65535 | 否 | 否 | 分类图标 |
| 7 | url | varchar | 255 | 否 | 否 | 外链地址 |
| 8 | create_time | timestamp | 是 | 否 | 创建时间 | |
| 9 | update_time | timestamp | 是 | 否 | 更新时间 |
表 4-4-auth(用户权限管理)
| 编号 | 字段名 | 类型 | 长度 | 是否非空 | 是否主键 | 注释 |
| 1 | auth_id | int | 是 | 是 | 授权ID | |
| 2 | user_group | varchar | 64 | 否 | 否 | 用户组 |
| 3 | mod_name | varchar | 64 | 否 | 否 | 模块名 |
| 4 | table_name | varchar | 64 | 否 | 否 | 表名 |
| 5 | page_title | varchar | 255 | 否 | 否 | 页面标题 |
| 6 | path | varchar | 255 | 否 | 否 | 路由路径 |
| 7 | parent | varchar | 64 | 否 | 否 | 父级菜单 |
| 8 | parent_sort | int | 是 | 否 | 父级菜单排序 | |
| 9 | position | varchar | 32 | 否 | 否 | 位置 |
| 10 | mode | varchar | 32 | 是 | 否 | 跳转方式 |
| 11 | add | tinyint | 是 | 否 | 是否可增加 | |
| 12 | del | tinyint | 是 | 否 | 是否可删除 | |
| 13 | set | tinyint | 是 | 否 | 是否可修改 | |
| 14 | get | tinyint | 是 | 否 | 是否可查看 | |
| 15 | field_add | text | 65535 | 否 | 否 | 添加字段 |
| 16 | field_set | text | 65535 | 否 | 否 | 修改字段 |
| 17 | field_get | text | 65535 | 否 | 否 | 查询字段 |
| 18 | table_nav_name | varchar | 500 | 否 | 否 | 跨表导航名称 |
| 19 | table_nav | varchar | 500 | 否 | 否 | 跨表导航 |
| 20 | option | text | 65535 | 否 | 否 | 配置 |
| 21 | create_time | timestamp | 是 | 否 | 创建时间 | |
| 22 | update_time | timestamp | 是 | 否 | 更新时间 |
表 4-5-cancel_message(取消信息)
| 编号 | 字段名 | 类型 | 长度 | 是否非空 | 是否主键 | 注释 |
| 1 | cancel_message_id | int | 是 | 是 | 取消信息ID | |
| 2 | study_room_no | varchar | 64 | 否 | 否 | 自习室编号 |
| 3 | name_of_study_room | varchar | 64 | 否 | 否 | 自习室名称 |
| 4 | type_of_study_room | varchar | 64 | 否 | 否 | 自习室类型 |
| 5 | student_users | int | 否 | 否 | 学生用户 | |
| 6 | student_name | varchar | 64 | 否 | 否 | 学生姓名 |
| 7 | mobile_phone_number | varchar | 64 | 否 | 否 | 手机号码 |
| 8 | cancel_time | datetime | 否 | 否 | 取消时间 | |
| 9 | reason_for_cancellation | text | 65535 | 否 | 否 | 取消原因 |
| 10 | create_time | datetime | 是 | 否 | 创建时间 | |
| 11 | update_time | timestamp | 是 | 否 | 更新时间 | |
| 12 | source_table | varchar | 255 | 否 | 否 | 来源表 |
| 13 | source_id | int | 否 | 否 | 来源ID | |
| 14 | source_user_id | int | 否 | 否 | 来源用户 |
表 4-6-change_request(更改申请)
| 编号 | 字段名 | 类型 | 长度 | 是否非空 | 是否主键 | 注释 |
| 1 | change_request_id | int | 是 | 是 | 更改申请ID | |
| 2 | study_room_no | varchar | 64 | 否 | 否 | 自习室编号 |
| 3 | name_of_study_room | varchar | 64 | 否 | 否 | 自习室名称 |
| 4 | type_of_study_room | varchar | 64 | 否 | 否 | 自习室类型 |
| 5 | student_users | int | 否 | 否 | 学生用户 | |
| 6 | student_name | varchar | 64 | 否 | 否 | 学生姓名 |
| 7 | mobile_phone_number | varchar | 64 | 否 | 否 | 手机号码 |
| 8 | application_date | date | 否 | 否 | 申请日期 | |
| 9 | application_content | text | 65535 | 否 | 否 | 申请内容 |
| 10 | examine_state | varchar | 16 | 是 | 否 | 审核状态 |
| 11 | create_time | datetime | 是 | 否 | 创建时间 | |
| 12 | update_time | timestamp | 是 | 否 | 更新时间 | |
| 13 | source_table | varchar | 255 | 否 | 否 | 来源表 |
| 14 | source_id | int | 否 | 否 | 来源ID | |
| 15 | source_user_id | int | 否 | 否 | 来源用户 |
表 4-7-code_token(验证码)
| 编号 | 字段名 | 类型 | 长度 | 是否非空 | 是否主键 | 注释 |
| 1 | code_token_id | int | 是 | 是 | 验证码ID | |
| 2 | token | varchar | 255 | 否 | 否 | 令牌 |
| 3 | code | varchar | 255 | 否 | 否 | 验证码 |
| 4 | expire_time | timestamp | 是 | 否 | 失效时间 | |
| 5 | create_time | timestamp | 是 | 否 | 创建时间 | |
| 6 | update_time | timestamp | 是 | 否 | 更新时间 |
表 4-8-collect(收藏)
| 编号 | 字段名 | 类型 | 长度 | 是否非空 | 是否主键 | 注释 |
| 1 | collect_id | int | 是 | 是 | 收藏ID | |
| 2 | user_id | int | 是 | 是 | 收藏人ID | |
| 3 | source_table | varchar | 255 | 否 | 否 | 来源表 |
| 4 | source_field | varchar | 255 | 否 | 否 | 来源字段 |
| 5 | source_id | int | 是 | 否 | 来源ID | |
| 6 | title | varchar | 255 | 否 | 否 | 标题 |
| 7 | img | varchar | 255 | 否 | 否 | 封面 |
| 8 | create_time | timestamp | 是 | 否 | 创建时间 | |
| 9 | update_time | timestamp | 是 | 否 | 更新时间 |
表 4-9-comment(评论)
| 编号 | 字段名 | 类型 | 长度 | 是否非空 | 是否主键 | 注释 |
| 1 | comment_id | int | 是 | 是 | 评论ID | |
| 2 | user_id | int | 是 | 是 | 评论人ID | |
| 3 | reply_to_id | int | 是 | 否 | 回复评论ID | |
| 4 | content | longtext | 4294967295 | 否 | 否 | 内容 |
| 5 | nickname | varchar | 255 | 否 | 否 | 昵称 |
| 6 | avatar | varchar | 255 | 否 | 否 | 头像地址 |
| 7 | create_time | timestamp | 是 | 否 | 创建时间 | |
| 8 | update_time | timestamp | 是 | 否 | 更新时间 | |
| 9 | source_table | varchar | 255 | 否 | 否 | 来源表 |
| 10 | source_field | varchar | 255 | 否 | 否 | 来源字段 |
| 11 | source_id | int | 是 | 否 | 来源ID |
表 4-10-forum(论坛)
| 编号 | 字段名 | 类型 | 长度 | 是否非空 | 是否主键 | 注释 |
| 1 | forum_id | mediumint | 是 | 是 | 论坛ID | |
| 2 | display | smallint | 是 | 否 | 排序 | |
| 3 | user_id | mediumint | 是 | 否 | 用户ID | |
| 4 | nickname | varchar | 16 | 否 | 否 | 昵称 |
| 5 | praise_len | int | 否 | 否 | 点赞数 | |
| 6 | hits | int | 是 | 否 | 访问数 | |
| 7 | title | varchar | 125 | 是 | 否 | 标题 |
| 8 | keywords | varchar | 125 | 否 | 否 | 关键词 |
| 9 | description | varchar | 255 | 否 | 否 | 描述 |
| 10 | url | varchar | 255 | 否 | 否 | 来源地址 |
| 11 | tag | varchar | 255 | 否 | 否 | 标签 |
| 12 | img | text | 65535 | 否 | 否 | 封面图 |
| 13 | content | longtext | 4294967295 | 否 | 否 | 正文 |
| 14 | create_time | timestamp | 是 | 否 | 创建时间 | |
| 15 | update_time | timestamp | 是 | 否 | 更新时间 | |
| 16 | avatar | varchar | 255 | 否 | 否 | 发帖人头像 |
| 17 | type | varchar | 64 | 是 | 否 | 论坛分类 |
| 18 | istop | int | 是 | 否 | 是否置顶 |
表 4-11-forum_type(论坛分类)
| 编号 | 字段名 | 类型 | 长度 | 是否非空 | 是否主键 | 注释 |
| 1 | type_id | smallint | 是 | 是 | 分类ID | |
| 2 | name | varchar | 16 | 是 | 否 | 分类名称 |
| 3 | description | varchar | 255 | 否 | 否 | 描述 |
| 4 | url | varchar | 255 | 否 | 否 | 外链地址 |
| 5 | father_id | smallint | 是 | 否 | 上级分类ID | |
| 6 | icon | varchar | 255 | 否 | 否 | 分类图标 |
| 7 | create_time | timestamp | 是 | 否 | 创建时间 | |
| 8 | update_time | timestamp | 是 | 否 | 更新时间 |
表 4-12-hits(用户点击)
| 编号 | 字段名 | 类型 | 长度 | 是否非空 | 是否主键 | 注释 |
| 1 | hits_id | int | 是 | 是 | 点赞ID | |
| 2 | user_id | int | 是 | 否 | 点赞人 | |
| 3 | create_time | timestamp | 是 | 否 | 创建时间 | |
| 4 | update_time | timestamp | 是 | 否 | 更新时间 | |
| 5 | source_table | varchar | 255 | 否 | 否 | 来源表 |
| 6 | source_field | varchar | 255 | 否 | 否 | 来源字段 |
| 7 | source_id | int | 是 | 否 | 来源ID |
表 4-13-notice(公告)
| 编号 | 字段名 | 类型 | 长度 | 是否非空 | 是否主键 | 注释 |
| 1 | notice_id | mediumint | 是 | 是 | 公告ID | |
| 2 | title | varchar | 125 | 是 | 否 | 标题 |
| 3 | content | longtext | 4294967295 | 否 | 否 | 正文 |
| 4 | create_time | timestamp | 是 | 否 | 创建时间 | |
| 5 | update_time | timestamp | 是 | 否 | 更新时间 |
表 4-14-praise(点赞)
| 编号 | 字段名 | 类型 | 长度 | 是否非空 | 是否主键 | 注释 |
| 1 | praise_id | int | 是 | 是 | 点赞ID | |
| 2 | user_id | int | 是 | 是 | 点赞人 | |
| 3 | create_time | timestamp | 是 | 否 | 创建时间 | |
| 4 | update_time | timestamp | 是 | 否 | 更新时间 | |
| 5 | source_table | varchar | 255 | 否 | 否 | 来源表 |
| 6 | source_field | varchar | 255 | 否 | 否 | 来源字段 |
| 7 | source_id | int | 是 | 否 | 来源ID | |
| 8 | status | tinyint | 是 | 否 | 点赞状态:1为点赞,0已取消 |
表 4-15-reservation_information(预约信息)
| 编号 | 字段名 | 类型 | 长度 | 是否非空 | 是否主键 | 注释 |
| 1 | reservation_information_id | int | 是 | 是 | 预约信息ID | |
| 2 | study_room_no | varchar | 64 | 否 | 否 | 自习室编号 |
| 3 | name_of_study_room | varchar | 64 | 否 | 否 | 自习室名称 |
| 4 | type_of_study_room | varchar | 64 | 否 | 否 | 自习室类型 |
| 5 | student_users | int | 否 | 否 | 学生用户 | |
| 6 | student_name | varchar | 64 | 否 | 否 | 学生姓名 |
| 7 | mobile_phone_number | varchar | 64 | 否 | 否 | 手机号码 |
| 8 | start_time | datetime | 否 | 否 | 开始时间 | |
| 9 | end_time | datetime | 否 | 否 | 结束时间 | |
| 10 | appointment_remarks | text | 65535 | 否 | 否 | 预约备注 |
| 11 | examine_state | varchar | 16 | 是 | 否 | 审核状态 |
| 12 | examine_reply | varchar | 16 | 否 | 否 | 审核回复 |
| 13 | seat | varchar | 64 | 是 | 否 | 座位号 |
| 14 | cancel_message_limit_times | int | 是 | 否 | 取消限制次数 | |
| 15 | change_request_limit_times | int | 是 | 否 | 更改限制次数 | |
| 16 | sign_in_information_limit_times | int | 是 | 否 | 签到限制次数 | |
| 17 | sign_off_information_limit_times | int | 是 | 否 | 签退限制次数 | |
| 18 | create_time | datetime | 是 | 否 | 创建时间 | |
| 19 | update_time | timestamp | 是 | 否 | 更新时间 | |
| 20 | source_table | varchar | 255 | 否 | 否 | 来源表 |
| 21 | source_id | int | 否 | 否 | 来源ID | |
| 22 | source_user_id | int | 否 | 否 | 来源用户 |
表 4-16-schedule(日程管理)
| 编号 | 字段名 | 类型 | 长度 | 是否非空 | 是否主键 | 注释 |
| 1 | schedule_id | smallint | 是 | 是 | 日程ID | |
| 2 | content | varchar | 255 | 否 | 否 | 日程内容 |
| 3 | scheduled_time | datetime | 否 | 否 | 计划时间 | |
| 4 | user_id | int | 是 | 否 | 用户ID | |
| 5 | create_time | datetime | 否 | 否 | 创建时间 | |
| 6 | update_time | datetime | 否 | 否 | 更新时间 |
表 4-17-score(评分)
| 编号 | 字段名 | 类型 | 长度 | 是否非空 | 是否主键 | 注释 |
| 1 | score_id | int | 是 | 是 | 评分ID | |
| 2 | user_id | int | 是 | 否 | 评分人 | |
| 3 | nickname | varchar | 64 | 否 | 否 | 昵称 |
| 4 | score_num | double | 是 | 否 | 评分 | |
| 5 | create_time | timestamp | 是 | 否 | 创建时间 | |
| 6 | update_time | timestamp | 是 | 否 | 更新时间 | |
| 7 | source_table | varchar | 255 | 否 | 否 | 来源表 |
| 8 | source_field | varchar | 255 | 否 | 否 | 来源字段 |
| 9 | source_id | int | 是 | 否 | 来源ID |
表 4-18-sign_in_information(签到信息)
| 编号 | 字段名 | 类型 | 长度 | 是否非空 | 是否主键 | 注释 |
| 1 | sign_in_information_id | int | 是 | 是 | 签到信息ID | |
| 2 | study_room_no | varchar | 64 | 否 | 否 | 自习室编号 |
| 3 | name_of_study_room | varchar | 64 | 否 | 否 | 自习室名称 |
| 4 | type_of_study_room | varchar | 64 | 否 | 否 | 自习室类型 |
| 5 | student_users | int | 否 | 否 | 学生用户 | |
| 6 | student_name | varchar | 64 | 否 | 否 | 学生姓名 |
| 7 | mobile_phone_number | varchar | 64 | 否 | 否 | 手机号码 |
| 8 | check_in_time | datetime | 否 | 否 | 签到时间 | |
| 9 | sign_in_remarks | text | 65535 | 否 | 否 | 签到备注 |
| 10 | create_time | datetime | 是 | 否 | 创建时间 | |
| 11 | update_time | timestamp | 是 | 否 | 更新时间 | |
| 12 | source_table | varchar | 255 | 否 | 否 | 来源表 |
| 13 | source_id | int | 否 | 否 | 来源ID | |
| 14 | source_user_id | int | 否 | 否 | 来源用户 |
表 4-19-sign_off_information(签退信息)
| 编号 | 字段名 | 类型 | 长度 | 是否非空 | 是否主键 | 注释 |
| 1 | sign_off_information_id | int | 是 | 是 | 签退信息ID | |
| 2 | study_room_no | varchar | 64 | 否 | 否 | 自习室编号 |
| 3 | name_of_study_room | varchar | 64 | 否 | 否 | 自习室名称 |
| 4 | type_of_study_room | varchar | 64 | 否 | 否 | 自习室类型 |
| 5 | student_users | int | 否 | 否 | 学生用户 | |
| 6 | student_name | varchar | 64 | 否 | 否 | 学生姓名 |
| 7 | mobile_phone_number | varchar | 64 | 否 | 否 | 手机号码 |
| 8 | sign_off_time | datetime | 否 | 否 | 签退时间 | |
| 9 | duration_unit | varchar | 64 | 否 | 否 | 时长单位 |
| 10 | learning_duration | double | 否 | 否 | 学习时长 | |
| 11 | sign_off_remarks | text | 65535 | 否 | 否 | 签退备注 |
| 12 | create_time | datetime | 是 | 否 | 创建时间 | |
| 13 | update_time | timestamp | 是 | 否 | 更新时间 | |
| 14 | source_table | varchar | 255 | 否 | 否 | 来源表 |
| 15 | source_id | int | 否 | 否 | 来源ID | |
| 16 | source_user_id | int | 否 | 否 | 来源用户 |
表 4-20-slides(轮播图)
| 编号 | 字段名 | 类型 | 长度 | 是否非空 | 是否主键 | 注释 |
| 1 | slides_id | int | 是 | 是 | 轮播图ID | |
| 2 | title | varchar | 64 | 否 | 否 | 标题 |
| 3 | content | varchar | 255 | 否 | 否 | 内容 |
| 4 | url | varchar | 255 | 否 | 否 | 链接 |
| 5 | img | varchar | 255 | 否 | 否 | 轮播图 |
| 6 | hits | int | 是 | 否 | 点击量 | |
| 7 | create_time | timestamp | 是 | 否 | 创建时间 | |
| 8 | update_time | timestamp | 是 | 否 | 更新时间 |
表 4-21-student_users(学生用户)
| 编号 | 字段名 | 类型 | 长度 | 是否非空 | 是否主键 | 注释 |
| 1 | student_users_id | int | 是 | 是 | 学生用户ID | |
| 2 | student_name | varchar | 64 | 否 | 否 | 学生姓名 |
| 3 | student_age | varchar | 64 | 否 | 否 | 学生年龄 |
| 4 | student_gender | varchar | 64 | 否 | 否 | 学生性别 |
| 5 | mobile_phone_number | varchar | 16 | 否 | 否 | 手机号码 |
| 6 | student_points | double | 否 | 否 | 学生积分 | |
| 7 | examine_state | varchar | 16 | 是 | 否 | 审核状态 |
| 8 | user_id | int | 是 | 否 | 用户ID | |
| 9 | create_time | datetime | 是 | 否 | 创建时间 | |
| 10 | update_time | timestamp | 是 | 否 | 更新时间 |
表 4-22-study_room_information(自习室信息)
| 编号 | 字段名 | 类型 | 长度 | 是否非空 | 是否主键 | 注释 |
| 1 | study_room_information_id | int | 是 | 是 | 自习室信息ID | |
| 2 | study_room_no | varchar | 64 | 否 | 否 | 自习室编号 |
| 3 | name_of_study_room | varchar | 64 | 否 | 否 | 自习室名称 |
| 4 | type_of_study_room | varchar | 64 | 否 | 否 | 自习室类型 |
| 5 | cover_image | varchar | 255 | 否 | 否 | 封面图片 |
| 6 | study_room_status | varchar | 64 | 否 | 否 | 自习室状态 |
| 7 | study_room_facilities | longtext | 4294967295 | 否 | 否 | 自习室设施 |
| 8 | hits | int | 是 | 否 | 点击数 | |
| 9 | praise_len | int | 是 | 否 | 点赞数 | |
| 10 | collect_len | int | 是 | 否 | 收藏数 | |
| 11 | comment_len | int | 是 | 否 | 评论数 | |
| 12 | reservation_information_limit_times | int | 是 | 否 | 预约限制次数 | |
| 13 | create_time | datetime | 是 | 否 | 创建时间 | |
| 14 | update_time | timestamp | 是 | 否 | 更新时间 |
表 4-23-upload(文件上传)
| 编号 | 字段名 | 类型 | 长度 | 是否非空 | 是否主键 | 注释 |
| 1 | upload_id | int | 是 | 是 | 上传ID | |
| 2 | name | varchar | 64 | 否 | 否 | 文件名 |
| 3 | path | varchar | 255 | 否 | 否 | 访问路径 |
| 4 | file | varchar | 255 | 否 | 否 | 文件路径 |
| 5 | display | varchar | 255 | 否 | 否 | 显示顺序 |
| 6 | father_id | int | 否 | 否 | 父级ID | |
| 7 | dir | varchar | 255 | 否 | 否 | 文件夹 |
| 8 | type | varchar | 32 | 否 | 否 | 文件类型 |
表 4-24-user(用户账户)
| 编号 | 字段名 | 类型 | 长度 | 是否非空 | 是否主键 | 注释 |
| 1 | user_id | int | 是 | 是 | 用户ID | |
| 2 | state | smallint | 是 | 否 | 账户状态:(1可用|2异常|3已冻结|4已注销) | |
| 3 | user_group | varchar | 32 | 否 | 否 | 所在用户组 |
| 4 | login_time | timestamp | 是 | 否 | 上次登录时间 | |
| 5 | phone | varchar | 11 | 否 | 否 | 手机号码 |
| 6 | phone_state | smallint | 是 | 否 | 手机认证:(0未认证|1审核中|2已认证) | |
| 7 | username | varchar | 16 | 是 | 否 | 用户名 |
| 8 | nickname | varchar | 16 | 否 | 否 | 昵称 |
| 9 | password | varchar | 64 | 是 | 否 | 密码 |
| 10 | | varchar | 64 | 否 | 否 | 邮箱 |
| 11 | email_state | smallint | 是 | 否 | 邮箱认证:(0未认证|1审核中|2已认证) | |
| 12 | avatar | varchar | 255 | 否 | 否 | 头像地址 |
| 13 | open_id | varchar | 255 | 否 | 否 | 针对获取用户信息字段 |
| 14 | create_time | timestamp | 是 | 否 | 创建时间 |
表 4-25-user_group(用户组)
| 编号 | 字段名 | 类型 | 长度 | 是否非空 | 是否主键 | 注释 |
| 1 | group_id | mediumint | 是 | 是 | 用户组ID | |
| 2 | display | smallint | 是 | 否 | 显示顺序 | |
| 3 | name | varchar | 16 | 是 | 否 | 名称 |
| 4 | description | varchar | 255 | 否 | 否 | 描述 |
| 5 | source_table | varchar | 255 | 否 | 否 | 来源表 |
| 6 | source_field | varchar | 255 | 否 | 否 | 来源字段 |
| 7 | source_id | int | 是 | 否 | 来源ID | |
| 8 | register | smallint | 否 | 否 | 注册位置 | |
| 9 | create_time | timestamp | 是 | 否 | 创建时间 | |
| 10 | update_time | timestamp | 是 | 否 | 更新时间 |
第5章系统实现
5.1 系统实现概述
本文研究的高校自习室管理系统基于SpringBoot框架开发,旨在提供用户便捷的买卖交易体验。系统支持用户注册和登录,发布和浏览购买自习室信息,进行预约、签到、签退管理。用户可以通过搜索和分类预约自习室,进行交流和评价。平台还包括管理员功能,用于管理用户、预约信息和签到签退信息的审查和处理。整体设计追求简洁高效,以提升用户体验和平台运行效率为目标。
本设计的前端系统每个页面都具备必要的交互设计,较好地呈现了高校自习室管理系统的基础功能。组件的构建上思路清晰,易于理解,扁平风格突出简洁,配色清新。游客注册成为用户即可登录系统前台实现各项操作。
前台登录界面布局如下图:
图5-1 前台登录界面
登录关键代码如下:
| /** * 登录 * @param data * @param httpServletRequest * @return */ @PostMapping("login") public Map<String, Object> login(@RequestBody Map<String, String> data, HttpServletRequest httpServletRequest) { log.info("[执行登录接口]"); String username = data.get("username"); String email = data.get("email"); String phone = data.get("phone"); String password = data.get("password"); List resultList = null; Map<String, String> map = new HashMap<>(); if(username != null && "".equals(username) == false){ map.put("username", username); resultList = service.selectBaseList(service.select(map, new HashMap<>())); } else if(email != null && "".equals(email) == false){ map.put("email", email); resultList = service.selectBaseList(service.select(map, new HashMap<>())); } else if(phone != null && "".equals(phone) == false){ map.put("phone", phone); resultList = service.selectBaseList(service.select(map, new HashMap<>())); }else{ return error(30000, "账号或密码不能为空"); } if (resultList == null || password == null) { return error(30000, "账号或密码不能为空"); } |
前台注册界面布局如下图:
图5-2 前台注册界面
注册关键代码如下:
| /** * 注册 * @param user * @return */ @PostMapping("register") public Map<String, Object> signUp(@RequestBody User user) { // 查询用户 Map<String, String> query = new HashMap<>(); Map<String,Object> map = JSON.parseObject(JSON.toJSONString(user)); query.put("username",user.getUsername()); List list = service.selectBaseList(service.select(query, new HashMap<>())); if (list.size()>0){ return error(30000, "用户已存在"); } map.put("password",service.encryption(String.valueOf(map.get("password")))); service.insert(map); return success(1); } |
前台首页模块是系统的主入口,为用户提供导航和重要信息展示。通过清晰的界面布局和内容展示,为用户提供良好的导航菜单、轮播图、公告通知和信息浏览体验,引导用户进行登录、注册及系统内相关操作。
前台首页界面布局如下图:
图5-3 前台首页界面
本设计的后台管理系统,主要分为用户和管理员两大角色,用户需经注册拥有系统账号才可登录系统后台。包含后台首页、系统用户、自习室信息管理、预约信息管理、取消信息管理、更改申请管理、签到信息管理、签退信息管理、系统管理、公告通知管理、资源管理、交流管理管理等页面。整体呈左右布局,设计简洁明晰。
后台登录界面布局如下图:
图5-4 后台登录界面
管理员和用户登录系统后首先进入后台首页界面。
后台首页界面布局如下图:
图5-5 后台首页界面
5.2 系统功能模块的实现
5.2.1 自习室信息模块
自习室信息模块是系统中的重要组成部分,用户可查看发布的所有自习室信息,包括:编号、名称、类型、状态,用户可以进行预约、点赞、收藏等操作。
自习室信息界面布局如下图:
图5-6 自习室信息界面图
5.2.2 自习室信息管理模块
自习室信息管理:管理员可以对自习室信息列表和自习室信息添加两个子菜单进行管理,也能查看评论内容进行回复。界面布局如下图:
图5-7 自习室信息管理页界面
5.2.3 预约信息管理模块
预约信息管理:管理员可以查看预约信息列表详情,可以对预约信息进行取消、更改、签到、签退、审核等相关信息的处理。界面布局如下图:
图5-9 预约信息管理界面
5.2.4 更改信息管理模块
管理员可对更改信息列表详情进行查看操作,对用户的更改信息进行审核。界面布局如下图:
图5-11更改信息管理界面
5.2.5 签到信息管理模块
管理员可对签到信息序列表详情进行查看。界面布局如下图:
图5-12签到信息管理界面
5.2.6 资源管理模块
管理员可对新闻资讯和咨询分类进行管理和查看其信息详情,进行查询和删除操作。资源管理界面布局如下图:
图5-14 资源管理界面
第6章系统测试
6.1 测试目的
在对该系统进行完详细设计和编码之后,就要对高校自习室管理系统的程序进行测试,检测程序是否运行无误,反复进行测试和修改,使之最后成为完整的软件,满足用户的需求,实现预期的功能。系统测试的目的在于确保软件正常运作,并实现其应有的功能,促进行中出现的错误和逻辑问题。系统测试不但可以找见程序运行中的系统错误,还可以找见程序运行的需要改进的地方,并去协助改良程序运行使其获得最高幅度的完备。世界一流的安装测试员可以增加软件品质,将软件系统错误概率降至最少。
6.2 功能测试
本系统的主要功能就是用户登录后,可搜索和浏览自习室信息,用户和管理员登录系统后台后可对自习室进行管理,包括增改删查操作。测试设计如下所示:
用户登录前首先需注册成为系统用户,使用账号和密码可进行登录。用户登录功能测试用例设计如下表所示:
表6-1 用户登录功功能测试用例
| 测试编号 | 测试目的 | 测试步骤 | 预期结果 | 实际结果 | 是否通过 |
| TC001 | 验证有效登录 | 1. 输入正确的用户名和密码 <br> 2. 点击登录按钮 | 显示登录成功,跳转至用户首页 | 登录成功,跳转至用户首页 | 通过 |
| TC002 | 验证空用户名登录 | 1. 不输入用户名,输入正确密码 <br> 2. 点击登录按钮 | 显示用户名不能为空提示信息 | 显示用户名不能为空提示信息 | 通过 |
| TC003 | 验证空密码登录 | 1. 输入正确用户名,不输入密码 <br> 2. 点击登录按钮 | 显示密码不能为空提示信息 | 显示密码不能为空提示信息 | 通过 |
| TC004 | 验证错误用户名登录 | 1. 输入错误的用户名和正确密码 <br> 2. 点击登录按钮 | 显示用户名或密码错误提示信息 | 显示用户名或密码错误提示信息 | 通过 |
| TC005 | 验证错误密码登录 | 1. 输入正确用户名和错误密码 <br> 2. 点击登录按钮 | 显示用户名或密码错误提示信息 | 显示用户名或密码错误提示信息 | 通过 |
- 自习室信息模块功能测试
自习室信息模块测试包括自习室信息展示功能测试、自习室信息添加功能测试、自习室信息搜索功能测试、自习室预约功能测试。自习室信息模块测试用例如表6.2-6.4所示。
自习室信息展示功能测试用例设计如下表所示:
表6-2 自习室信息展示功能测试用例
| 测试编号 | 测试目的 | 测试步骤 | 预期结果 | 实际结果 | 是否通过 |
| TC001 | 验证正常展示自习室信息 | 1. 进入自习室信息展示页面 <br> 2. 浏览展示的自习室信息内容 | 能够正常显示自习室信息内容 | 自习室信息内容正常显示 | 通过 |
| TC002 | 验证自习室信息链接跳转 | 1. 进入自习室信息展示页面 <br> 2. 点击自习室信息链接 | 能够跳转至相应自习室信息详情页面 | 成功跳转至自习室信息详情页面 | 通过 |
| TC003 | 验证搜索功能 | 1. 进入自习室信息展示页面 <br> 2. 使用搜索功能搜索自习室信息 | 显示符合搜索条件的自习室信息列表 | 显示符合搜索条件的自习室信息列表 | 通过 |
| TC004 | 验证物品分类展示 | 1. 进入自习室信息展示页面 <br> 2. 选择物品分类 | 显示该分类下的自习室信息列表 | 成功显示该分类下的自习室信息列表 | 通过 |
| TC005 | 验证自习室信息的评论功能 | 1. 进入自习室信息详情展示页面 <br> 2. 查看自习室信息并发表评论 | 评论成功显示在自习室信息页面 | 评论成功显示在自习室信息页面 | 通过 |
| TC006 | 验证自习室信息咨询页面跳转 | 1. 进入自习室信息详情展示页面 <br> 2. 点击自习室信息咨询按钮 | 能够跳转至相应自习室信息咨询页面 | 成功跳转至自习室信息咨询页面 | 通过 |
| TC007 | 验证自习室预约页面跳转 | 1. 进入自习室信息详情展示页面 <br> 2. 点击自习室预约按钮 | 能够跳转至相应自习室预约页面 | 成功跳转至自习室预约页面 | 通过 |
自习室信息添加功能测试用例设计如下表所示:
表6-3 自习室信息添加功能测试用例
| 测试编号 | 测试目的 | 测试步骤 | 预期结果 | 实际结果 | 是否通过 |
| TC001 | 验证添加自习室 | 1. 进入自习室添加界面 <br> 2. 输入自习室信息 <br> 3. 点击添加按钮 | 自习室成功添加到系统页面中 | 自习室成功添加到系统页面中 | 通过 |
| TC002 | 验证自习室自习室分类选择 | 1. 进入自习室添加界面 <br> 2. 选择自习室分类 <br> 3. 输入自习室信息 <br> 4. 提交自习室信息 | 根据选择的自习室自习室分类成功添加自习室 | 根据选择的自习室类型成功添加自习室 | 通过 |
| TC003 | 验证自习室内容输入 | 1. 进入自习室添加界面 <br> 2. 输入正确自习室内容 <br> 3. 点击添加按钮 | 自习室内容成功录入系统 | 自习室内容成功录入系统 | 通过 |
| TC004 | 验证自习室图片上传 | 1. 进入自习室添加界面 <br> 2. 上传自习室相关图片 <br> 3. 点击添加按钮 | 图片成功上传并与自习室关联 | 图片成功上传并与自习室关联 | 通过 |
自习室信息搜索功能测试用例设计如下表所示:
表6-4 自习室信息搜索功能测试用例
| 测试编号 | 测试目的 | 测试步骤 | 预期结果 | 实际结果 | 是否通过 |
| TC001 | 验证自习室信息输入自习室名称搜索 | 1. 进入自习室信息搜索界面 <br> 2. 输入自习室名称 <br> 3. 确认并搜索 | 根据选择的自习室名称关键词显示相关自习室信息信息 | 根据选择的自习室名称关键词成功显示相关自习室信息信息 | 通过 |
| TC002 | 验证自习室信息输入自习室分类搜索 | 1. 进入自习室信息搜索界面 <br> 2. 输入自习室分类 <br> 3. 确认并搜索 | 根据选择的自习室分类关键词显示相关自习室信息信息 | 根据选择的自习室分类关键词成功显示相关自习室信息信息 | 通过 |
| TC003 | 验证自习室信息选择审核状态搜索 | 1. 进入自习室信息搜索界面 <br> 2. 输入审核状态 <br> 3. 确认并搜索 | 根据选择的审核状态关键词显示相关自习室信息信息 | 根据选择的审核状态关键词成功显示相关自习室信息信息 | 通过 |
6.3 性能测试
- 兼容性测试
表6-7 兼容性测试用例
| 用例编号 | 测试类型 | 测试目标 | 操作过程 | 预期结果 |
| 兼容性_01 | 设备兼容性 | 测试系统在不同设备上的表现 | 在多种设备上访问系统并记录表现 | 系统在各种设备上都能正常加载和显示页面 |
| 兼容性_02 | 浏览器兼容性 | 测试系统在不同浏览器上的表现 | 在多种浏览器中访问系统并记录表现 | 系统在各种主流浏览器上都能正常加载和显示页面 |
| 兼容性_03 | 分辨率兼容性 | 测试系统在不同分辨率下的显示效果 | 在不同分辨率的设备上访问系统并记录表现 | 系统在各种分辨率下都能适应并正常显示内容 |
| 兼容性_04 | 操作系统兼容性 | 测试系统在不同操作系统上的运行情况 | 在不同操作系统上访问系统并记录表现 | 系统能够在常用操作系统上正常运行和显示 |
- 性能测试
表6-8 性能测试用例
| 用例编号 | 测试类型 | 测试目标 | 操作过程 | 预期结果 |
| 性能_01 | 负载测试 | 测试系统在正常负载下的性能 | 逐步增加用户数来模拟不同的负载情况 | 系统能够稳定处理并响应不同数量的用户请求 |
| 性能_02 | 压力测试 | 测试系统在极端负载下的性能 | 以超过系统承受极限的用户数来测试系统 | 系统能够在高负载情况下仍然保持正常运行 |
| 性能_03 | 并发测试 | 测试系统能同时处理多少并发用户请求 | 同时发送多个并发用户请求来测试系统性能 | 系统能够有效地处理多个并发请求 |
| 性能_04 | 数据量测试 | 测试系统在大数据量下的性能 | 向系统添加大量数据并测试系统响应时间 | 系统能够在大数据量情况下保持较快的响应时间 |
6.4 测试结果
全部测试用例都已通过,且不存在漏洞,实现了本论文开始时所作要求和期望。本系统运行稳定,使用流畅,可以满足客户需求。试运行后进行系统评估,可以认为该系统达到预定的目标要求,可以满足用户的需求,也满足了系统开发前所作目标。系统在经过大量重复测试后运行十分稳定,安全实用,功能模块已经达到预定目标所需。在规定的时间内实现系统的大部分功能,且满足要求,节省开发成本,有助于提高科学管理水平,符合本人经济情况。
简而言之,经过严格的测试,可以发现该系统的功能和性能非常出色,它的精度、可靠性、稳健性都达到了极高的水平,而且它还支持快速、精细的点击操作,使用者的使用感受更加良好。此外,它还支持各种主流浏览器,满足不同的使用要求。
第7章总结与展望
在基于Spring Boot框架下的高校自习室管理系统设计与实现中,我们通过用户、管理员等角色的划分,实现了多层次的用户管理和权限控制。通过自习室信息管理、自习室预约等功能模块,提供了便捷高效的交易体验,进一步增强了平台的交互性和用户满意度,。资源管理和交流管理的实施,不仅丰富了平台的内容,也促进了用户之间的信息交流与互动。
在未来的发展中,可以进一步优化系统的响应速度和用户体验,加强对用户行为的分析与挖掘,以实现个性化推荐和精准营销。同时,结合大数据和人工智能技术,提升平台的智能化水平,为用户提供更加智能化、便捷化的服务。此外,加强对安全性的防护和隐私保护,是平台未来发展的重要方向之一,保障用户信息的安全与私密性,维护良好的用户口碑和品牌形象。
通过不断优化和创新,基于Spring Boot的高校自习室管理系统将更好地满足用户的多样化需求,成为用户信赖和选择的首要平台之一。通过本次项目,我不仅深入理解了Spring Boot框架的应用和高校自习室管理系统的设计思路,也积累了丰富的实际开发经验。未来,我将进一步优化系统的稳定性和安全性,引入更多智能化和个性化的功能,以更好地满足用户需求和市场变化。
参考文献
- 王方,齐毅.高校图书馆座位预约系统管理情况分析——以湖北文理学院图书馆为例[J].作家天地,2024,(23):55-57.
- 姚佰允,张豪,杜瑞庆. 基于SpringBoot与Vue的学院人员管理系统设计与实现 [J]. 无线互联科技, 2025, 22 (02): 78-83.
- 李金忠,胡志明,陈建钢,等.基于SpringBoot和Uni-App框架的自习室平台的设计与实现[J].河北水利电力学院学报,2024,34(02):77-82.DOI:10.16046/j.cnki.issn2096-5680.2024.02.014..
- Hossain M ,Salhi A ,Zekri A , et al.Studying room temperature RF magnetron-sputtered indium tin oxide (ITO) thin films for large scale applications[J].Results in Surfaces and Interfaces,2025,18100383-100383.
- 贾琴.Java编程语言的应用策略分析[J].集成电路应用,2024,41(10):84-85.DOI:10.19339/j.issn.1674-2583.2024.10.034.
- 朴明,邱翠花,苗子. 基于SpringBoot+小程序的信息采集系统设计与实现 [J]. 电子技术, 2024, 53 (10): 47-49.
- 陈芳.基于MySQL数据库的数据录入系统设计研究[J].科技资讯,2024,22(20):35-37.DOI:10.16661/j.cnki.1672-3791.2405-5042-7194.
- 潘涛,王柳,董冉冉.基于Vue.js框架的网上商城管理系统的设计与实现[J].科技与创新,2023,(13):8-10.DOI:10.15913/j.cnki.kjycx.2023.13.003.
- 朱启方,黄彩霞,范旭,等.基于SpringBoot和Vue的多功能时间管理系统的设计与实现[J].电脑知识与技术,2022,18(18):31-32+41.DOI:10.14004/j.cnki.ckt.2022.1024.
- 何佳,张越,魏梓汭,等.基于图书馆空间资源的开发利用研讨共享自习室创建与未来展望——以内江师范学院为例[J].产业与科技论坛,2024,23(11):43-45.
- 柏锦诗琪,邹俊,刘敏娜.共享经济模式下的共享自习室系统设计与实现[J].办公自动化,2024,29(09):1-3.
- 尹才荣.基于人工智能的高校座位管理系统的设计[J].数字技术与应用,2024,42(02):35-38.
- Rani M G ,Ranjith S K ,Ghoreishian M S , et al.Fabrication of MoS2 Petals-Decorated PAN Fibers-Based Triboelectric Nanogenerator for Energy Harvesting and Smart Study Room Touch Sensor Applications[J].Advanced Fiber Materials,2024,6(6):1-14.
- Gkolompia I E .Uniform vs. uneven lighting: Accommodation of multiple users’ preferences in study rooms[J].IOP Conference Series: Earth and Environmental Science,2024,1320(1):
- 苑静玮.呼和浩特市R付费自习室服务营销策略优化研究[D].浙江工商大学,2023.DOI:10.27462/d.cnki.ghzhc.2023.001127.
- 王思宁.吉林省研途教育有限公司研上自习室项目服务营销策略研究[D].吉林大学,2023.DOI:10.27162/d.cnki.gjlin.2023.005708.
- 赵亚洲,银隽彬.图书馆自习室管理系统的设计与实现[J].现代信息科技,2022,6(17):24-28.DOI:10.19850/j.cnki.2096-4706.2022.17.006.
- 高其武.K共享自习室的商业模式研究[D].华南理工大学,2022.DOI:10.27151/d.cnki.ghnlu.2022.002550.
- 张磊.AI自习室:是噱头还是新风潮?[N].山西晚报,2025-03-04(006).DOI:10.48929/n.cnki.nsxwa.2025.000269.
- 何佳,张越,魏梓汭,等.基于图书馆空间资源的开发利用研讨共享自习室创建与未来展望——以内江师范学院为例[J].产业与科技论坛,2024,23(11):43-45.
致 谢
在完成本论文的研究与写作过程中,我深切感受到了来自各方的帮助和支持。在此,我衷心地向所有给予我帮助的人表示最诚挚的感谢。
首先,我要特别感谢我的导师,不仅在学术上给予我无私的指导,而且在生活上给予我关怀和支持。是您严谨的学术态度和勤奋的工作精神将永远激励我不断前进。
其次,我要感谢所有教导过我的老师们,是你们精彩课堂和深入的指导为我的研究工作提供了宝贵的知识和灵感。
我还要感谢我的家人,他们的理解和支持是我完成学业的坚强后盾。在我遇到困难和挑战时,他们总是给予我鼓励和力量。
此外,我也要感谢我的朋友和同学们,你们的陪伴和帮助使我的研究生活更加丰富多彩。我们共同度过的时光将成为我一生中宝贵的回忆。
最后,我要感谢所有支持本项目,为本项目提供建设性意见的人员,没有他们的协助,本论文无法顺利完成。
再次感谢所有帮助和支持我的人,是你们的帮助使我的研究之路不再孤单
请关注点赞+私信博主,免费领取项目源码
1266

被折叠的 条评论
为什么被折叠?



