摘要
随着社会压力的增加和生活节奏的加快,大学生的心理健康问题日益突出,严重影响了大学生的学习和生活。因此,本研究旨在引入信息化技术设计并实现一套高效简便且功能齐全的大学生心理健康智能测评预警系统,通过智能科学的测评与预警机制,及时识别和干预学生心理健康风险,提升心理健康测评及预警的效率和可靠性。该系统采用Spring Boot框架结合Java语言进行后端开发,利用Vue.js技术构建前端界面,以MySQL数据库作为数据存储核心,并运用RESTful API实现前后端分离的架构。系统主要面向学生、辅导员、心理咨询师和管理员不同角色,实现了包括心理健康测评管理、测评信息管理、测评结果管理、心理咨询管理、咨询信息管理、心理科普管理、电子档案管理以及数据统计等核心功能,基本满足整个心理健康测评、预警、咨询及科普等业务流程,有效提升管理效率和服务质量。最终经过功能验证和性能测试,确保系统在实际应用中的可行性和高效性。本系统的实施不仅能够帮助学生和学校相关人员及时发现心理健康问题,以及时给予干预,还为大学生心理健康管理提供了有力支持和管理工具。同时可以为今后类似心理健康测评系统的开发提供了宝贵参考,具有良好的实践意义和推广价值。
关键词:大学生心理健康管理;智能心理测评预警;Spring Boot框架;Vue框架
Abstract
With the increase of social pressure and the acceleration of the pace of life, the mental health problems of college students are becoming increasingly prominent, seriously affecting their learning and life. Therefore, this study aims to introduce information technology to design and implement an efficient, simple, and fully functional intelligent assessment and warning system for college students' mental health. Through an intelligent and scientific assessment and warning mechanism, it can timely identify and intervene in students' mental health risks, and improve the efficiency and reliability of mental health assessment and warning. The system adopts the Spring Boot framework combined with Java language for backend development, uses Vue.js technology to build the front-end interface, uses MySQL database as the data storage core, and implements a front-end and back-end separation architecture using RESTful API. The system mainly targets different roles such as students, counselors, psychological counselors, and administrators, and implements core functions including psychological health assessment management, assessment information management, assessment result management, psychological counseling management, counseling information management, psychological science popularization management, electronic file management, and data statistics. It basically meets the entire business process of psychological health assessment, early warning, counseling, and science popularization, effectively improving management efficiency and service quality. After functional verification and performance testing, the feasibility and efficiency of the system in practical applications are ensured. The implementation of this system not only helps students and relevant personnel in the school to timely detect mental health problems and provide timely intervention, but also provides strong support and management tools for college students' mental health management. At the same time, it can provide valuable reference for the development of similar mental health assessment systems in the future, with good practical significance and promotion value.
Keywords:Psychological Health Management for College Students; Intelligent psychological assessment warning; Spring Boot framework; Vue Framework
1绪论
1.1开发背景
近年来,大学生的心理健康问题日益引起社会的广泛关注。调查数据显示,许多大学生在面对学业压力、就业前景、家庭关系和人际交往等方面,常常感到焦虑和压力,甚至出现抑郁等心理问题。这些心理健康问题不仅影响着学生的学习效果和生活质量,甚至可能导致更为严重的后果,成为社会不可忽视的隐患。然而,许多高校在心理健康教育和服务体系方面仍存在不足,普遍存在重视不足、资源分配不均、干预机制滞后等问题。传统的心理测评手段主要依赖人工干预和问卷调查,通常缺乏数据的实时性和系统性;同时辅导员和心理咨询师在资源和时间上的有限性,往往使得他们无法对每个学生进行及时有效的心理信息收集与分析。这些问题导致了大学生心理健康信息的滞后与不准确,阻碍了对潜在心理问题的早期发现和干预。随着信息技术的发展,利用新的技术工具有效识别、评估和干预大学生的心理健康问题,提升心理健康管理的效率与效果,成为了高校亟需解决的任务。
1.2开发意义
基于Spring Boot和Vue技术框架的大学生心理健康智能测评预警系统的研发,可以借助信息化手段实现对学生心理状态的高效监测和适时干预,提升大学生心理健康测评预警的效率与质量,为大学生心理健康管理提供新的解决方案,具有重要的实践价值和应用前景。通过构建智能化的心理健康测评与预警系统,实现对学生心理状态的准确评估与预警,可以有效提高心理健康教育的科学性和针对性,帮助高校建立更为健全的心理健康管理机制,提高高校的心理健康管理服务效率,促使高校心理健康教育的数字化转型。通过智能预警机制和数据统计分析功能,可以帮助学生、心理咨询师及辅导员有效识别心理健康风险,以进行及时干预,减少潜在的心理问题对学生的影响,尽量降低抑郁、焦虑等心理障碍的发生率,提高学生的心理素质。同时实现数据驱动干预决策,为心理干预及决策提供数据支持,提升干预的及时性和有效性。该系统为大学生提供了便捷心理评估和咨询的手段,以及心理健康意识的宣传与教育的渠道,能够让学生更好地了解自身心理状态,提升自我认知和心理健康素养,增强心理自我调节能力,使其能更好地应对心理挑战。此外,本研究的成功实现不仅可以为高校心理健康测评与预警提供新的实践方法,也为相关研究领域和类似心理测评系统的进一步探索提供了理论基础和应用实例,有助于推动整个心理服务行业和教育行业的信息化发展与建设。
1.3国内外研究现状
1.3.1国内研究现状
在我国,大学生心理健康问题逐渐引起了社会和学术界的广泛关注。近年来,多项研究显示,大学生群体中存在较高比例的心理健康问题,如焦虑、抑郁等。根据2019年中国青年调查报告,约有30%的大学生存在不同程度的心理健康问题。国内学者开始采用多种量表和工具对学生心理健康进行测评,常用的有抑郁自评量表(SDS)、焦虑自评量表(SAS)等。各大高校也尝试使用大数据分析和机器学习技术,开发心理健康预警系统。例如,北京高校通过数据挖掘分析学生的学习情况、行为习惯等,建立了实时监测和预警机制。国内研究在心理健康教育和干预措施上,也逐渐从被动应对转向主动预防,开展了多种形式的心理健康活动,如心理健康知识讲座、心理辅导工作坊等。国内高校还建立了心理危机干预小组,以应对突发的心理危机事件。例如,上海大学设立了心理咨询中心,针对新生开展心理适应培训,提高他们的心理抗压能力。随着国家对心理健康重视程度的提升,相关政策也不断出台,如《国家心理健康工作规划(2015-2020年)》等,为高校心理健康工作提供了指导。同时,越来越多的高校开始实施心理健康档案制度,系统记录学生的心理健康状况。
1.3.2国外研究现状
较之国内,国外在大学生心理健康研究方面起步较早,已有较为成熟的理论和实践经验,尤其在心理健康评估和干预技术上。在国外,心理健康教育被视为高等教育的重要组成部分,尤其注重学生的身心健康。例如,美国的心理健康政策强调心理健康服务的可及性和及时性,致力于为所有大学生提供必要的支持。国外的各大高校侧重于运用大数据技术和机器学习,开发心理健康监测系统,以实时监测学生的心理状态。如哈佛大学“Student Mental Health Survey Tool”平台能够实时收集学生的心理健康数据,通过数据分析技术评估学生的心理健康状况,为学校心理咨询师提供决策支持,并为有心理困扰的学生提供个性化支持。还有康奈尔大学开发了名为“Cornell Health”的心理健康服务平台。该平台除了提供在线心理健康测评和咨询预约外,还有一个强大的数据分析系统,用于实时监测学生的心理健康趋势以及时发现学生心理问题并进行干预。另外斯坦福大学开展的“心理健康第一回应者”项目,则通过培训学生志愿者,在同伴之间提供初步心理支持,有效提高了学生心理健康的干预水平。同时,国外高校普遍建立了多元化的心理健康服务体系,包括心理咨询、在线支持、团体辅导等,提供多样化的服务。例如,英国大学的心理健康服务中心不仅提供面对面的辅导,还设立了在线咨询平台,方便学生随时寻求帮助。
1.4主要研究内容
本研究主要围绕如何引入信息化技术研发一套高效智能的大学生心理健康智能测评预警系统展开。在设计与实现大学生心理健康智能测评预警系统时,通过调研与访谈,收集用户及管理员的需求,以明确系统功能模块,设计出符合用户需求的系统架构和界面。该系统后端采用了Java作为编程语言,并利用了SpringBoot框架,使得复杂的业务逻辑和数据操作得以高效完成。与此同时,系统的数据存储和管理通过MySQL数据库实现。结合Vue.js技术作为前端框架,具有响应式数据绑定和组件化的特点,能够有效地提升用户体验和开发效率。在开发工具的选取上,使用了IDEA,它的强大功能和易用性使得编程工作更为高效;而Navicat作为数据库管理工具,使得数据库操作更为方便和快捷。这样的技术选择,确保了管理系统的开发流程既高效又稳定。本系统主要面对学生用户、辅导员、心理咨询师和管理员四大对象,实现了包括注册登录、后台首页(数据统计)、系统用户、心理健康测评管理、测评信息管理、测评结果管理、心理咨询管理、咨询信息管理、心理科普管理、电子档案管理、系统管理、公告信息管理、资源管理、权限管理、操作日志等多个关键功能,基本满足整个心理健康测评、预警、咨询及科普等业务流程,能够有效支大学生心理健康管理,提升管理效率和用户体验。最终通过功能测试和用户反馈,进行系统性能和用户体验的优化,确保系统的稳定性和可用性。
2 相关技术介绍
2.1SpringBoot框架
SpringBoot是Spring家族中的一个重要成员,它简化了Spring应用的初始搭建和开发过程[1]。通过提供一系列默认配置和自动装配机制,SpringBoot使得开发者能够更快地构建出生产级别的Spring应用。它支持多种开发工具和框架,如Maven、Gradle等,并且可以与多种数据库和缓存技术无缝集成[2]。SpringBoot的简洁性和高效性使其成为开发企业级应用的首选框架之一。在本次毕业设计中,SpringBoot框架为大学生心理健康智能测评预警系统的后端开发提供了强大的支持。
2.2MySQL数据库
MySQL是一款开源的关系型数据库管理系统,它以其高性能、高可靠性和易用性而著称。MySQL支持多种存储引擎,如InnoDB、MyISAM等,能够满足不同应用场景的需求[3]。它提供了丰富的SQL语法和函数,使得开发者能够方便地进行数据查询、更新和删除操作。MySQL还支持事务处理、索引优化和复制等高级功能,为数据的完整性和安全性提供了有力保障。在本次毕业设计中,MySQL数据库作为大学生心理健康智能测评预警系统的数据存储核心,承担着存储和管理各类系统重要数据的任务。而且通过合理的数据库设计和优化,确保了系统的数据访问效率和数据安全性[4]。
2.3Java语言
JAVA是一种广泛使用的编程语言,具有跨平台、面向对象、安全性高等特点。JAVA语言提供了丰富的类库和API,使得开发者能够轻松地进行网络编程、数据库操作、图形界面开发等任务[5]。JAVA还支持多线程编程和分布式计算,为开发高性能和可扩展的应用提供了有力支持[6]。所以本次毕设选择了JAVA作为大学生心理健康智能测评预警系统的开发语言。通过利用JAVA的面向对象特性和丰富的类库资源,成功实现了系统的各个功能模块,并保证了系统的稳定性和可扩展性。而且JAVA的跨平台特性也使得此次毕业设计能够在不同的操作系统和硬件平台上运行,为用户提供了更加便捷的使用体验。
2.4Vue.js框架
Vue.js是一套构建用户界面的渐进式 JavaScript 框架,专注于构建用户界面和单页应用(SPA),具有易于上手的特点,简洁易用,适合新手和快速开发。支持组件化开发,提高代码的可复用性与可维护性[7]。大学生心理健康智能测评预警系统采用Vue.js构建前端用户界面,负责展示信息,并实现和处理用户交互。
3 系统分析
3.1可行性分析
3.1.1技术可行性
基于Spring Boot框架开发大学生心理健康智能测评预警系统具有显著优势。Spring Boot以其简洁的配置、高效的性能以及强大的集成能力,为快速构建稳定、可扩展的Web应用提供了坚实基础,结合MySQL数据库的高效存储与检索能力,以及Java语言的广泛应用与成熟生态,系统能够实现复杂的数据处理与业务逻辑[8]。此外,前端采用Vue.js技术,可确保用户界面的流畅与互动性,技术实现路径清晰可行。
3.1.2经济可行性
该系统开发成本相对较低,主要投入在于人力与硬件资源。Spring Boot及MySQL均为开源技术,无需额外购买软件许可,降低了开发成本。如果系统上线可通过提供便捷、高效的心理测评及资讯服务,可吸引大量用户,进而通过广告、增值服务等方式实现盈利,具有良好的经济回报预期。此外,系统维护成本适中,便于长期运营与迭代升级。
3.1.3操作可行性
系统界面简洁友好,操作流程简单,用户无需复杂培训即可上手。系统功能模块化设计操作简便,便于用户快速完成操作。且系统支持多角色协同操作,管理员和用户登录系统后均可根据权限进行相应操作,有效提升管理效率和用户体验。
3.2系统功能需求
本大学生心理健康智能测评预警系统根据使用者划分,主要包含学生用户、辅导员、心理咨询师和管理员四大角色,每个角色对应的主要功能说明如下所示:
3.2.1学生用户主要功能
- 注册登录:提供注册和登录系统的功能,学生用户可以通过注册拥有系统账户,注册成功后可使用账号+密码登录系统前台。
- 首页:提供系统搜索功能和系统功能导航栏,展示平台的轮播图、最新动态、热门信息、推荐信息等内容。
- 公告信息:提供系统相关的公告信息信息,保证学生用户及时了解平台动态。
- 学校资讯:提供学校资讯的相关新闻、文章展示和热门资讯推荐,让学生用户快速获取最新资讯,支持点赞、收藏、评论学校资讯。
- 心理健康测评:提供心理健康测评信息展示,支持关键字、排序搜索,学生用户可以浏览心理健康测评,并点赞、收藏和评论心理健康测评,实现测评功能。
- 心理咨询:提供心理咨询信息展示,支持关键字、排序搜索,学生用户可以浏览心理咨询师信息,并点赞、收藏和评论心理咨询,实现咨询功能。
- 心理科普:提供心理科普信息展示,支持关键字、排序搜索,学生用户可以浏览心理科普,并点赞、收藏和评论心理科普。
- 我的账户:提供管理个人资料功能,学生用户可修改自己的账户信息和密码信息。
- 个人中心:提供个人首页、测评信息、测评结果、咨询信息、收藏、评论管理等子菜单功能链接,学生用户可根据需求对其进行管理。具体包括,学生用户可查询自己的测评信息,查阅心理咨询师给出测评结果(实现预警提醒);支持查询和查看心理咨询师回复的咨询内容;可查看和删除已收藏的系统信息;可跟踪和查看已发表的评论内容。
3.2.2辅导员主要功能
- 登录:辅导员账户由管理员在后台添加,支持使用账号密码登录系统后台,实现权限内的功能操作,允许更新个人资料和修改密码。
- 后台首页:辅导员登录系统后台的初始界面,该界面主要展示系统重要信息概览。
- 测评结果管理:辅导员可管理自己学生的测评结果信息,包括查询和查阅测评结果,支持批量导出测评结果报表,实现心理指数阈值预警提醒。
3.2.3心理咨询师主要功能
- 登录:心理咨询师账户由管理员在后台添加,支持使用账号密码登录系统后台,实现权限内的功能操作,允许更新个人资料和修改密码。
- 后台首页:心理咨询师登录系统后台的初始界面,该界面主要展示系统重要信息概览。
- 心理健康测评管理:心理咨询师可管理自己的心理健康测评的发布、下架、更新等操作,提供搜索功能,支持查看和管控其评论内容。
- 测评信息管理:心理咨询师可管理提交给自己的测评信息,支持查询、删除测评信息,提供结果分析操作。
- 测评结果管理:心理咨询师可管理自己的测评结果信息,包括查询、更新及删除测评结果,负责根据学生的测评信息进行评估及分析,实现心理指数阈值预警提醒。
- 心理咨询管理:心理咨询师可管理自己的心理咨询信息的发布、下架、更新等操作,提供搜索功能,支持查看和管控其评论内容。
- 咨询信息管理:心理咨询师可管理提交给自己的咨询信息,支持查询、删除咨询信息,负责回复学生发送给自己的心理咨询。
- 电子档案管理:心理咨询师可管理自己的电子档案信息,包括创建、编辑、删除和查询电子档案。
3.2.4管理员主要功能
- 登录:管理员可直接使用账号密码登录系统后台,进行管理,允许更新个人资料和修改密码。
- 后台首页:管理员登录系统后台的初始界面,该界面主要展示系统重要信息概览和提供系统数据统计分析信息(如测评结果统计图)。
- 系统用户:管理员可管理包括学生用户、辅导员、心理咨询师和管理员等所有系统用户信息,支持用户权限管理和角色设置,可增改删查和审核封禁系统用户信息。
- 心理健康测评管理:管理员可管理所有心理健康测评的发布、下架、更新等操作,提供搜索功能,支持查看和管控其评论内容。
- 测评信息管理:管理员可管理所有测评信息,支持查询、删除测评信息,提供结果分析操作。
- 测评结果管理:管理员可管理所有测评结果信息,包括查询、删除测评结果,支持批量导出测评结果报表,实现心理指数阈值预警提醒(当测评分数大于0小于80时自动弹出预警提醒)。
- 心理咨询管理:管理员可管理所有心理咨询信息的发布、下架、更新等操作,提供搜索功能,支持查看和管控其评论内容。
- 咨询信息管理:管理员可管理所有咨询信息,支持查询、删除咨询信息。
- 心理科普管理:管理员可管理所有心理科普信息的发布、下架、更新等操作,提供搜索功能,支持查看和管控其评论内容。
- 电子档案管理:管理员可管理所有电子档案信息,包括创建、编辑、删除和查询电子档案。
- 系统管理:管理员可管理系统的轮播图信息,包括上传、更新、删除轮播图,提供搜索功能,支持图片附带链接。
- 公告信息管理:管理员可管理平台发布的公告信息信息,支持发布、编辑、删除公告信息,提供搜索功能。
- 资源管理:管理员可管理学校资讯和资讯分类的新增、编辑、删除等操作,提供搜索功能,支持对学校资讯的评论管控和查看。
- 权限管理:管理员可管理系统用户组的权限信息,支持设置和修改用户的的增改删查权限内容。
- 操作日志:管理员可管理所有操作日志信息,允许查询、删除操作日志。
3.3非功能性需求分析
在基于SpringBoot的大学生心理健康智能测评预警系统的设计中,非功能性需求分析是也是很重要的。它主要关注系统除了基本功能外的其他特性,如性能、安全性、易用性、可维护性等,这些特性对于确保系统的稳定运行和用户满意度至关重要。
性能:系统需要能够处理高并发请求,确保在多个用户同时操作时仍能保持稳定运行。
安全性:系统必须采取严格的措施来保护敏感数据,如用户信息、心理数据等,防止数据泄露和非法访问。
易用性:系界面友好直观,操作流程简化,提升用户体验。
可维护性:代码结构清晰,文档完备,便于后续开发与问题排查。
3.4系统用户用例分析
3.4.1学生用户用例图
在大学生心理健康智能测评预警系统中学生用户包含注册登录、首页、公告信息、学校资讯、心理健康测评、心理咨询、心理科普、我的账户、个人中心等功能。学生用户用例图如下所示:

图3-1 学生用户用例图
3.4.2辅导员用例图
大学生心理健康智能测评预警系统中辅导员拥有登录、后台首页、测评信息管理等功能。辅导员用例图如下所示:

图3-2 辅导员用例图
3.4.3心理咨询师用例图
大学生心理健康智能测评预警系统中心理咨询师涵盖了登录、后台首页、心理健康测评管理、测评信息管理、测评结果管理、心理咨询管理、咨询信息管理、电子档案管理等功能。心理咨询师用例图如下所示:

图3-3 心理咨询师用例图
3.4.4管理员用例图
大学生心理健康智能测评预警系统中管理员则集成了登录、后台首页、系统用户、心理健康测评管理、测评信息管理、测评结果管理、心理咨询管理、咨询信息管理、心理科普管理、电子档案管理、系统管理、公告信息管理、资源管理、权限管理、操作日志等功能。管理员用例图如下所示:

图3-4 管理员用例图
3.5系统流程分析
3.5.1系统操作流程图
用户打开浏览器,输入系统的网址,访问应用程序的系统界面。用户在首页可选择进行注册或登录。如果用户已注册,可直接进入登录页面;如果未注册,则可选择注册。登录后,用户可进入系统功能界面,根据提示可实现各项操作。系统操作流程图如下图所示。
图3-5 系统操作流程图
3.5.2系统登录流程图
当用户进入登录页面,输入用户名和密码等信息,此时系统将进行基本的输入验证,确认用户名和密码不为空,点击“登录”按钮提交登录请求后,系统将进一步研究用户名和密码是否匹配,验证成功则可成功登录,跳转至用户主界面;反之,提示错误返回登录界面。登录流程图如下图所示。

图3-6 登录流程图
3.5.3用户注册流程图
用户点击“注册”按钮,系统跳转至注册页面,用户需填写并提交必要的注册信息(如用户名、密码、邮箱、电话号码等),系统将对注册信息验证,确保必填字段不为空,密码符合复杂度要求等,并检查用户名和邮箱是否已被使用,系统验证无误后,将提示用户注册成功。用户注册流程图如下图所示。

图3-7 注册流程图
4 系统设计
4.1功能模块设计
整个大学生心理健康智能测评预警系统是由多个功能模块组合而成的,根据用户需求分析,本系统主要可以划分为学生用户模块、辅导员模块、心理咨询师模块和管理员模块四大部分。各模块又可细分为不同的子功能设计,实现多角色协作,负责不同的职能,每个角色对应的功能模块如图所示。
图4-1 系统功能结构图
4.2数据库设计
4.2.1概念设计
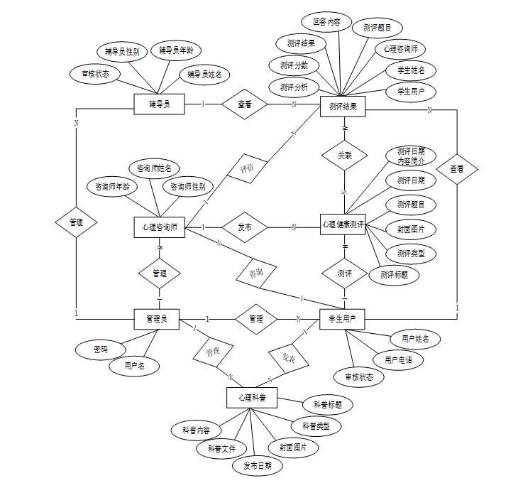
借助系统总体E-R图可以使其他用户快速轻松地了解系统的功能以及他们之间的关系。根据大学生心理健康智能测评预警系统各个实体和属性的分析结果,本大学生心理健康智能测评预警系统总体E-R实体关系图如下所示。
图4-2 系统总体ER图
4.2.2逻辑设计
通过上一小节大学生心理健康智能测评预警系统中总E-R关系图上得出一共需要创建很多个数据表。在此主要罗列几个主要的数据库表结构设计。下面介绍了一些根据各类别主要数据库表的设计结构以及基本功能建立数据库表。
表4-1 student_users(学生用户)
| 编号 | 字段名 | 类型 | 长度 | 是否非空 | 是否主键 | 注释 |
| 1 | student_users_id | int | 是 | 是 | 学生用户ID | |
| 2 | student_name | varchar | 64 | 否 | 否 | 学生姓名 |
| 3 | student_age | varchar | 64 | 否 | 否 | 学生年龄 |
| 4 | student_gender | varchar | 64 | 否 | 否 | 学生性别 |
| 5 | examine_state | varchar | 16 | 是 | 否 | 审核状态 |
| 6 | user_id | int | 是 | 否 | 用户ID | |
| 7 | create_time | datetime | 是 | 否 | 创建时间 | |
| 8 | update_time | timestamp | 是 | 否 | 更新时间 |
表4-2 psychological_counselor(心理咨询师)
| 编号 | 字段名 | 类型 | 长度 | 是否非空 | 是否主键 | 注释 |
| 1 | psychological_counselor_id | int | 是 | 是 | 心理咨询师ID | |
| 2 | name_of_consultant | varchar | 64 | 否 | 否 | 咨询师姓名 |
| 3 | counselors_age | varchar | 64 | 否 | 否 | 咨询师年龄 |
| 4 | gender_consultant | varchar | 64 | 否 | 否 | 咨询师性别 |
| 5 | examine_state | varchar | 16 | 是 | 否 | 审核状态 |
| 6 | user_id | int | 是 | 否 | 用户ID | |
| 7 | create_time | datetime | 是 | 否 | 创建时间 | |
| 8 | update_time | timestamp | 是 | 否 | 更新时间 |
表4-3 advisory_information(咨询信息)
| 编号 | 字段名 | 类型 | 长度 | 是否非空 | 是否主键 | 注释 |
| 1 | advisory_information_id | int | 是 | 是 | 咨询信息ID | |
| 2 | student_users | int | 否 | 否 | 学生用户 | |
| 3 | psychological_counselor | int | 否 | 否 | 心理咨询师 | |
| 4 | name_of_consultant | varchar | 64 | 否 | 否 | 咨询师姓名 |
| 5 | consulting_content | text | 65535 | 否 | 否 | 咨询内容 |
| 6 | reply_content | text | 65535 | 否 | 否 | 回复内容 |
| 7 | create_time | datetime | 是 | 否 | 创建时间 | |
| 8 | update_time | timestamp | 是 | 否 | 更新时间 | |
| 9 | source_table | varchar | 255 | 否 | 否 | 来源表 |
| 10 | source_id | int | 否 | 否 | 来源ID | |
| 11 | source_user_id | int | 否 | 否 | 来源用户 |
表4-4 counselor(辅导员)
| 编号 | 字段名 | 类型 | 长度 | 是否非空 | 是否主键 | 注释 |
| 1 | counselor_id | int | 是 | 是 | 辅导员ID | |
| 2 | counselors_name | varchar | 64 | 否 | 否 | 辅导员姓名 |
| 3 | counselor_age | varchar | 64 | 否 | 否 | 辅导员年龄 |
| 4 | gender_of_counselors | varchar | 64 | 否 | 否 | 辅导员性别 |
| 5 | examine_state | varchar | 16 | 是 | 否 | 审核状态 |
| 6 | user_id | int | 是 | 否 | 用户ID | |
| 7 | create_time | datetime | 是 | 否 | 创建时间 | |
| 8 | update_time | timestamp | 是 | 否 | 更新时间 |
表4-5 evaluation_information(测评信息)
| 编号 | 字段名 | 类型 | 长度 | 是否非空 | 是否主键 | 注释 |
| 1 | evaluation_information_id | int | 是 | 是 | 测评信息ID | |
| 2 | student_users | int | 否 | 否 | 学生用户 | |
| 3 | student_name | varchar | 64 | 否 | 否 | 学生姓名 |
| 4 | psychological_counselor | int | 否 | 否 | 心理咨询师 | |
| 5 | evaluation_title | varchar | 64 | 否 | 否 | 测评标题 |
| 6 | evaluation_type | varchar | 64 | 否 | 否 | 测评类型 |
| 7 | evaluation_topic | varchar | 64 | 否 | 否 | 测评题目 |
| 8 | evaluation_time | datetime | 否 | 否 | 测评时间 | |
| 9 | answer_content | text | 65535 | 否 | 否 | 回答内容 |
| 10 | evaluation_results_limit_times | int | 是 | 否 | 结果分析限制次数 | |
| 11 | create_time | datetime | 是 | 否 | 创建时间 | |
| 12 | update_time | timestamp | 是 | 否 | 更新时间 | |
| 13 | source_table | varchar | 255 | 否 | 否 | 来源表 |
| 14 | source_id | int | 否 | 否 | 来源ID | |
| 15 | source_user_id | int | 否 | 否 | 来源用户 |
表4-6 evaluation_results(测评结果)
| 编号 | 字段名 | 类型 | 长度 | 是否非空 | 是否主键 | 注释 |
| 1 | evaluation_results_id | int | 是 | 是 | 测评结果ID | |
| 2 | student_users | int | 否 | 否 | 学生用户 | |
| 3 | student_name | varchar | 64 | 否 | 否 | 学生姓名 |
| 4 | psychological_counselor | int | 否 | 否 | 心理咨询师 | |
| 5 | evaluation_topic | varchar | 64 | 否 | 否 | 测评题目 |
| 6 | answer_content | varchar | 64 | 否 | 否 | 回答内容 |
| 7 | evaluation_results | varchar | 64 | 否 | 否 | 测评结果 |
| 8 | evaluation_score | double | 否 | 否 | 测评分数 | |
| 9 | evaluation_and_analysis | text | 65535 | 否 | 否 | 测评分析 |
| 10 | create_time | datetime | 是 | 否 | 创建时间 | |
| 11 | update_time | timestamp | 是 | 否 | 更新时间 | |
| 12 | source_table | varchar | 255 | 否 | 否 | 来源表 |
| 13 | source_id | int | 否 | 否 | 来源ID | |
| 14 | source_user_id | int | 否 | 否 | 来源用户 |
表4-7 mental_health_assessment(心理健康测评)
| 编号 | 字段名 | 类型 | 长度 | 是否非空 | 是否主键 | 注释 |
| 1 | mental_health_assessment_id | int | 是 | 是 | 心理健康测评ID | |
| 2 | psychological_counselor | int | 否 | 否 | 心理咨询师 | |
| 3 | evaluation_title | varchar | 64 | 否 | 否 | 测评标题 |
| 4 | evaluation_type | varchar | 64 | 否 | 否 | 测评类型 |
| 5 | cover_image | varchar | 255 | 否 | 否 | 封面图片 |
| 6 | evaluation_topic | varchar | 64 | 否 | 否 | 测评题目 |
| 7 | evaluation_date | datetime | 否 | 否 | 测评日期 | |
| 8 | content_introduction | longtext | 4294967295 | 否 | 否 | 内容简介 |
| 9 | hits | int | 是 | 否 | 点击数 | |
| 10 | praise_len | int | 是 | 否 | 点赞数 | |
| 11 | collect_len | int | 是 | 否 | 收藏数 | |
| 12 | comment_len | int | 是 | 否 | 评论数 | |
| 13 | evaluation_information_limit_times | int | 是 | 否 | 测评限制次数 | |
| 14 | create_time | datetime | 是 | 否 | 创建时间 | |
| 15 | update_time | timestamp | 是 | 否 | 更新时间 |
表4-8 psychological_counseling(心理咨询)
| 编号 | 字段名 | 类型 | 长度 | 是否非空 | 是否主键 | 注释 |
| 1 | psychological_counseling_id | int | 是 | 是 | 心理咨询ID | |
| 2 | psychological_counselor | int | 否 | 否 | 心理咨询师 | |
| 3 | name_of_consultant | varchar | 64 | 否 | 否 | 咨询师姓名 |
| 4 | cover_image | varchar | 255 | 否 | 否 | 封面图片 |
| 5 | consultant_qualification | varchar | 64 | 否 | 否 | 咨询师资质 |
| 6 | online_time | varchar | 64 | 否 | 否 | 在线时间 |
| 7 | consultant_profile | longtext | 4294967295 | 否 | 否 | 咨询师简介 |
| 8 | hits | int | 是 | 否 | 点击数 | |
| 9 | praise_len | int | 是 | 否 | 点赞数 | |
| 10 | collect_len | int | 是 | 否 | 收藏数 | |
| 11 | comment_len | int | 是 | 否 | 评论数 | |
| 12 | advisory_information_limit_times | int | 是 | 否 | 咨询限制次数 | |
| 13 | create_time | datetime | 是 | 否 | 创建时间 | |
| 14 | update_time | timestamp | 是 | 否 | 更新时间 |
表4-9 psychological_science_popularization(心理科普)
| 编号 | 字段名 | 类型 | 长度 | 是否非空 | 是否主键 | 注释 |
| 1 | psychological_science_popularization_id | int | 是 | 是 | 心理科普ID | |
| 2 | popular_science_title | varchar | 64 | 否 | 否 | 科普标题 |
| 3 | popular_science_type | varchar | 64 | 否 | 否 | 科普类型 |
| 4 | cover_image | varchar | 255 | 否 | 否 | 封面图片 |
| 5 | release_date | date | 否 | 否 | 发布日期 | |
| 6 | popular_science_document | varchar | 255 | 否 | 否 | 科普文件 |
| 7 | popular_science_content | longtext | 4294967295 | 否 | 否 | 科普内容 |
| 8 | hits | int | 是 | 否 | 点击数 | |
| 9 | praise_len | int | 是 | 否 | 点赞数 | |
| 10 | collect_len | int | 是 | 否 | 收藏数 | |
| 11 | comment_len | int | 是 | 否 | 评论数 | |
| 12 | create_time | datetime | 是 | 否 | 创建时间 | |
| 13 | update_time | timestamp | 是 | 否 | 更新时间 |
5 系统实现
5.1学生用户主要功能实现
5.1.1用户注册模块
学生用户点击注册,进入注册页面,填写好账号、密码、确认密码、昵称、邮箱、身份:学生用户、用户姓名、用户性别、用户电话等字段值,点击下方注册按钮,提示注册成功后,系统将自动跳转回到登录页面。注册界面如下图所示。
图5-1 注册界面
5.1.2用户登录模块
用户点击“登录”按钮,输入用户名、密码、验证码登录系统,登录时前端会自动校验用户名与密码以及该用户是否审核通过,审核通过的用户输入正确登录成功,输入错误会有提示信息。登录界面如下图所示。
图5-2 登录界面
5.1.3首页模块
首页模块主要提供系统搜索功能和系统功能导航栏,展示平台的轮播图、最新动态、热门信息、推荐信息等内容。界面如下图所示。
图5-3 首页界面
5.1.4心理健康测评模块
心理健康测评模块主要为用户提供心理健康测评信息展示,支持关键字、排序搜索,学生用户可以浏览心理健康测评,并点赞、收藏和评论心理健康测评,实现测评功能。界面如下图所示。
图5-4 心理健康测评界面
5.1.5心理咨询模块
心理咨询模块主要为用户提供心理咨询信息展示,支持关键字、排序搜索,学生用户可以浏览心理咨询师信息,并点赞、收藏和评论心理咨询,实现咨询功能。界面如下图所示。
图5-5 心理咨询界面
5.1.6心理科普模块
心理科普模块主要为用户提供心理科普信息展示,支持关键字、排序搜索,学生用户可以浏览心理科普,并点赞、收藏和评论心理科普。界面如下图所示。
图5-6 心理科普界面
5.1.7个人中心模块
个人中心模块主要为用户提供个人首页、测评信息、测评结果、咨询信息、收藏、评论管理等子菜单功能链接,学生用户可根据需求对其进行管理。具体包括,学生用户可查询自己的测评信息,查阅心理咨询师给出测评结果(实现预警提醒);支持查询和查看心理咨询师回复的咨询内容;可查看和删除已收藏的系统信息;可跟踪和查看已发表的评论内容。界面如下图所示。
图5-7 个人中心界面
5.2辅导员主要功能实现
5.2.1测评结果管理模块
辅导员可管理自己学生的测评结果信息,包括查询和查阅测评结果,支持批量导出测评结果报表,实现心理指数阈值预警提醒。界面如下图所示。
图5-8 测评结果管理界面
5.2.2个人信息管理模块
辅导员可管理自己的个人信息,支持修改更新自己的个人基本资料内容。界面如下图所示。
图5-9 个人信息管理界面
5.3心理咨询师主要功能实现
5.3.1心理健康测评管理模块
心理咨询师可管理自己的心理健康测评的发布、下架、更新等操作,提供搜索功能,支持查看和管控其评论内容。界面如下图所示。
图5-10 心理健康测评添加界面
5.3.2测评信息管理模块
心理咨询师可管理提交给自己的测评信息,支持查询、删除测评信息,提供结果分析操作。界面如下图所示。
图5-11 测评信息管理界面
5.3.3测评结果管理模块
心理咨询师可管理自己的测评结果信息,包括查询、更新及删除测评结果,负责根据学生的测评信息进行评估及分析,实现心理指数阈值预警提醒。界面如下图所示。
图5-12 测评结果添加界面图
5.3.4咨询信息管理模块
心理咨询师可管理提交给自己的咨询信息,支持查询、删除咨询信息,负责回复学生发送给自己的心理咨询。界面如下图所示。
图5-13 咨询信息回复界面图
5.3.5电子档案管理模块
心理咨询师可管理自己的电子档案信息,包括创建、编辑、删除和查询电子档案。界面如下图所示。
图5-14 电子档案创建界面图
5.4管理员主要功能实现
5.4.1后台首页模块
后台首页是管理员登录系统后台的初始界面,该界面主要展示系统重要信息概览和提供系统数据统计分析信息(如测评结果统计图)。界面如下图所示。
图5-15 后台首页界面
5.4.2心理咨询管理模块
管理员可管理所有心理咨询信息的发布、下架、更新等操作,提供搜索功能,支持查看和管控其评论内容。界面如下图所示。
图5-16 心理咨询管理界面
5.4.3心理科普管理模块
管理员可管理所有心理科普信息的发布、下架、更新等操作,提供搜索功能,支持查看和管控其评论内容。界面如下图所示。
图5-17 心理科普管理界面
6 系统测试
6.1测试目的
在这个产品被投入使用前,首先需要进行试用,这是重要的环节。考虑到某个部分的开发没有缺陷情况下,把各种模块拼接,也有一定概率就存在矛盾。这就好比每个人都很独特,但聚在一起就显得杂乱无章,需要保证有默契的配合。对于测试,要看它的各项内容是否契合的原则[10]。若与最初定下的标准有一定程度上的出入,那么就需要做出一些调整,让最终的大方向朝着目标前进。
测试是为了发现在开发的程序中所存在的问题,测试这一工作是非常艰巨的,而又是非常困难的,这一部分在程序的设计中占有很大比例,可以说一个程序的开发工作量要是占据了百分至六十,那么剩下的百分之四十必然是测试这一部分,甚至更高。
6.2测试用例
用户注册功能测试用例如下表所示。
表6-1 用户注册功能测试表
| 测试编号 | 测试描述 | 预期结果 | 测试方法 | 测试结果 |
| TC_01 | 正常用户注册 | 用户注册成功,跳转至登录页面 | 输入所有必填项并提交 | 符合预期 |
| TC_02 | 注册时用户名已存在 | 提示“用户名已被注册” | 输入已存在的用户名 | 符合预期 |
| TC_03 | 注册时邮箱格式错误 | 提示“邮箱格式不正确” | 输入错误格式的邮箱 | 符合预期 |
| TC_04 | 必填项未填写 | 提示“请填写所有必填信息” | 不填写必要信息 | 符合预期 |
- 用户登录功能测试
用户登录功能测试用例如下表所示。
表6-2 用户登录功能测试表
| 测试编号 | 测试描述 | 预期结果 | 测试方法 | 测试结果 |
| TC_01 | 正常用户登录 | 用户成功登录,进入用户首页 | 输入有效的用户名和密码 | 符合预期 |
| TC_02 | 输入错误密码进行登录 | 提示“用户名或密码错误” | 输入有效用户名,错误密码 | 符合预期 |
| TC_03 | 输入未注册的用户名登录 | 提示“用户不存在” | 输入未注册的用户名 | 符合预期 |
| TC_04 | 密码为空时登录 | 提示“请填写密码” | 仅输入用户名 | 符合预期 |
- 心理健康测评管理功能测试
心理健康测评管理功能测试用例如下表所示。
表6-3 心理健康测评管理功能测试表
| 测试编号 | 测试描述 | 预期结果 | 测试方法 | 测试结果 |
| TC_01 | 查看心理健康测评列表 | 成功显示所有心理健康测评内容 | 进入心理健康测评管理页面 | 符合预期 |
| TC_02 | 心理咨询师添加新心理健康测评内容 | 成功添加心理健康测评内容并提示“信息已添加” | 进入心理健康测评添加界面,输入心理健康测评并提交 | 符合预期 |
| TC_03 | 搜索特定心理健康测评内容 | 成功显示符合条件的心理健康测评内容 | 输入心理健康测评名称进行搜索 | 符合预期 |
| TC_04 | 删除心理健康测评内容 | 成功删除心理健康测评,并提示“信息已删除” | 选择心理健康测评内容并执行删除操作 | 符合预期 |
| TC_05 | 编辑心理健康测评内容 | 成功编辑心理健康测评内容并提示“修改成功” | 进入详情页界面,修改某一心理健康测评内容并提交 | 符合预期 |
- 测评信息管理功能测试
测评信息管理功能测试用例如下表所示。
表6-4 测评信息管理功能测试表
| 测试编号 | 测试描述 | 预期结果 | 测试方法 | 测试结果 |
| TC_01 | 查看测评信息列表 | 成功显示所有测评信息信息 | 进入测评信息管理页面 | 符合预期 |
| TC_02 | 学生用户添加新测评信息信息 | 成功添加测评信息信息并提示“信息已添加” | 进入测评信息添加界面,输入测评信息信息并提交 | 符合预期 |
| TC_03 | 搜索特定测评信息信息 | 成功显示符合条件的测评信息信息 | 输入测评信息名称进行搜索 | 符合预期 |
| TC_04 | 删除测评信息信息 | 成功删除测评信息信息,并提示“信息已删除” | 选择测评信息并执行删除操作 | 符合预期 |
| TC_05 | 编辑测评信息信息 | 成功编辑测评信息并提示“修改成功” | 进入详情页界面,修改某一测评信息信息并提交 | 符合预期 |
- 测评结果功能测试
测评结果功能测试用例如下表所示。
表6-5 测评结果功能测试表
| 测试编号 | 测试描述 | 预期结果 | 测试方法 | 测试结果 |
| TC_01 | 查看测评结果列表 | 成功显示所有测评结果信息 | 进入测评结果页面 | 符合预期 |
| TC_02 | 心理咨询师添加新测评结果 | 成功添加测评结果信息并提示“信息已添加” | 进入测评结果添加界面,输入测评结果信息并提交 | 符合预期 |
| TC_03 | 搜索特定测评结果 | 成功显示符合条件的测评结果信息 | 输入测评结果名称进行搜索 | 符合预期 |
| TC_04 | 删除测评结果 | 成功删除测评结果信息,并提示“信息已删除” | 选择测评结果并执行删除操作 | 符合预期 |
| TC_05 | 编辑测评结果 | 成功编辑测评结果并提示“修改成功” | 进入详情页界面,修改某一测评结果信息并提交 | 符合预期 |
| TC_06 | 辅导员导出测评结果 | 成功导出测评结果信息并提示“测评结果成功” | 选择测评结果,点击“导出” | 符合预期 |
- 咨询信息管理功能测试
咨询信息管理功能测试用例如下表所示。
表6-6 咨询信息管理功能测试表
| 测试编号 | 测试描述 | 预期结果 | 测试方法 | 测试结果 |
| TC_01 | 查看咨询信息列表 | 成功显示所有咨询信息内容 | 进入咨询信息管理页面 | 符合预期 |
| TC_02 | 学生用户添加新咨询信息内容 | 成功添加咨询信息并提示“信息已添加” | 进入咨询信息添加界面,输入咨询信息内容并提交 | 符合预期 |
| TC_03 | 搜索特定咨询信息内容 | 成功显示符合条件的咨询信息内容 | 输入咨询信息名称进行搜索 | 符合预期 |
| TC_04 | 删除咨询信息内容 | 成功删除咨询信息内容,并提示“信息已删除” | 选择咨询信息并执行删除操作 | 符合预期 |
| TC_05 | 编辑咨询信息内容 | 成功编辑咨询信息并提示“修改成功” | 进入详情页界面,修改某一咨询信息内容并提交 | 符合预期 |
| TC_06 | 心理咨询师回复咨询信息 | 成功回复咨询信息并提示“提交成功” | 进入详情页界面,更新回复内容并提交 | 符合预期 |
- 心理科普管理功能测试
心理科普管理功能测试用例如下表所示。
表6-7 心理科普管理功能测试表
| 测试编号 | 测试描述 | 预期结果 | 测试方法 | 测试结果 |
| TC_01 | 查看心理科普列表 | 成功显示所有心理科普信息 | 进入心理科普管理页面 | 符合预期 |
| TC_02 | 管理员添加新心理科普信息 | 成功添加心理科普信息并提示“信息已添加” | 进入心理科普添加界面,输入心理科普信息并提交 | 符合预期 |
| TC_03 | 搜索特定心理科普信息 | 成功显示符合条件的心理科普信息 | 输入心理科普名称进行搜索 | 符合预期 |
| TC_04 | 删除心理科普信息 | 成功删除心理科普信息,并提示“信息已删除” | 选择心理科普并执行删除操作 | 符合预期 |
| TC_05 | 编辑心理科普信息 | 成功编辑心理科普并提示“修改成功” | 进入详情页界面,修改某一心理科普信息并提交 | 符合预期 |
- 电子档案管理功能测试
电子档案管理功能测试用例如下表所示。
表6-8 电子档案管理功能测试表
| 测试编号 | 测试描述 | 预期结果 | 测试方法 | 测试结果 |
| TC_01 | 查看电子档案列表 | 成功显示所有电子档案信息 | 进入电子档案管理页面 | 符合预期 |
| TC_02 | 心理咨询师添加新电子档案信息 | 成功添加电子档案并提示“信息已添加” | 进入电子档案添加界面,输入电子档案信息并提交 | 符合预期 |
| TC_03 | 搜索特定电子档案信息 | 成功显示符合条件的电子档案信息 | 输入电子档案名称进行搜索 | 符合预期 |
| TC_04 | 删除电子档案信息 | 成功删除电子档案信息,并提示“信息已删除” | 选择电子档案并执行删除操作 | 符合预期 |
| TC_05 | 编辑电子档案信息 | 成功编辑电子档案并提示“修改成功” | 进入详情页界面,修改某一电子档案信息并提交 | 符合预期 |
6.3测试结果
在本次测试中主要对用户注册、用户登录、心理健康测评管理、测评信息管理、测评结果、咨询信息管理、心理科普管理及电子档案管理等模块业务流程操作,进行测试分析并编写测试用例。经过严格的测试,各测试用例都已通过,能够保证本次设计且已实现的功能能够正常运行,操作简单流畅,性能良好,能够满足管理业务需求,同时确保相关数据库的信息也同样正确无误,实现了本论文开始时所作要求和期望。
7结 论
本大学生心理健康智能测评预警系统毕业设计项目已成功落下帷幕,这一成果不仅是对开发者技术实力与业务理解能力的全面展现,也是对传统心理健康服务及教育行业数字化转型的一次积极探索。
本次毕业设计充分利用了Spring Boot框架的灵活性与高效性,通过模块化设计与微服务架构,实现了心理健康信息的全面管理、精准搜索与便捷心理测评、测评评估预警及心理咨询等功能。系统界面友好直观,操作流程简洁明了,为用户提供了极佳的使用体验。同时,通过深入挖掘用户需求与市场趋势,系统不仅满足了用户的实际需求,还通过数据分析与可视化展示等功能,为管理者的心理健康情况洞察与决策支持提供了有力工具。通过对数据库索引、缓存机制等精心优化,系统性能得到了显著提升,确保了高并发场景下的稳定运行。而且通过实施严格的数据加密策略、访问控制机制及日志审计功能,系统有效防范了数据泄露与非法访问等安全风险。
总的来说,通过本次研究,成功基于Spring Boot搭建了一套功能齐全且操作简便的大学生心理健康智能测评预警系统,实现了丰富的功能并取得了一定的成果。在未来的发展中,将继续优化系统功能和用户体验,不断提升系统的性能和稳定性,为大学生心理健康智能测评预警系统的长期发展和用户需求提供更好的服务和支持。
参考文献
- 韦珍娜,陈宇佳. 基于SpringBoot的服装租赁系统设计 [J]. 电脑编程技巧与维护, 2025, (01): 35-38. DOI:10.16184/j.cnki.comprg.2025.01.005.
- 姚佰允,张豪,杜瑞庆. 基于SpringBoot与Vue的学院人员管理系统设计与实现 [J]. 无线互联科技, 2025, 22 (02): 78-83.
- 谢海明,张佐中,林顺福.基于自动化技术的MySQL故障处理系统的设计与实现[J].电脑知识与技术,2024,20(33):73-75.DOI:10.14004/j.cnki.ckt.2024. 1721.
- 陈芳.基于MySQL数据库的数据录入系统设计研究[J].科技资讯,2024,22(20):35-37.DOI:10.16661/j.cnki.1672-3791.2405-5042-7194.
- 谢帅虎.基于Java语言的翻页功能接口程序设计与实现[J].数字通信世界,2024,(11):92-94.
- 贾琴.Java编程语言的应用策略分析[J].集成电路应用,2024,41(10):84-85.DOI:10.19339/j.issn.1674-2583.2024.10.034.
- 戴亚哲,李尤,赵利宏,等. 基于SpringBoot+Vue的文旅平台设计与研究 [J]. 无线互联科技, 2024, 21 (21): 70-72.
- 张靖旭,曾晓晶,郭玉坤. 基于SpringBoot的校园植物信息网建设研究 [J]. 信息与电脑(理论版), 2024, 36 (22): 119-121.
- 赵彩霞,张栽培,杨璇.基于Java编程导航学习平台开发设计的研究[J].家电维修,2024,(03):62-64.
- 王鹏,吴凯,周静.基于Web的心理测评系统设计与实现[J].医疗卫生装备,2021,42(10):30-34.DOI:10.19745/j.1003-8868.2021207.
- 谢梦磊.新时代背景下高校心理健康教育工作开展策略探析[J].吉林省教育学院学报,2025,41(04):116-120.DOI:10.16083/j.cnki.1671-1580.2025.04.022.
- Quan Y .The management of mental health in a smart medical dialogue system based on a two-stage attention speech enhancement module[J].Computer Speech & Language,2025,92101778-101778.
- Zheng F .Development of a Big Data Analysis and Management Decision Support System for Student Mental Health in Higher Education[J].Applied Mathematics and Nonlinear Sciences,2024,9(1):
- 赵英丽.全国高校心理健康管理平台“互联网+”建设探索[J].北京教育(德育),2023,(12):79-82.
- 何畅,谯炜骅,马跃.在校大学生在线心理咨询系统设计[J].现代信息科技,2023,7(21):36-39+43.DOI:10.19850/j.cnki.2096-4706.2023.21.009.
- Chen W .Application of MPP database and artificial intelligence system in online evaluation of college students' mental health.[J].Preventive medicine,2023,173107580-107580.
- 王丽丽.基于移动终端的大学生心理健康教育测评系统设计[J].自动化技术与应用,2023,42(01):159-162.DOI:10.20033/j.1003-7241.(2023)01-0159-04.
- 邱彩云.在线心理健康评测数据分析系统的设计与实现[D].北京邮电大学,2021.DOI:10.26969/d.cnki.gbydu.2021.000867.
- 张彤,姜攀.基于行为特征识别的大学生心理测试微信小程序设计与实现[J].电脑编程技巧与维护,2021,(08):50-54.DOI:10.16184/j.cnki.comprg.2021.08.019.
- 刘红红.基于区块链技术的高校学生心理健康管理系统设计[J].自动化技术与应用,2021,40(03):62-64+73.
致 谢
在完成本次 Spring Boot 大学生心理健康智能测评预警系统毕业设计的过程中,我收获了诸多宝贵的经验,也感受到了成长的喜悦,也深刻体会到理论与实践相结合的重要性。在这里我特别感谢我毕设的导师。在整个毕设过程中老师不但给我指明方向也给予我专业的指导,给了我很大的帮助也让我在探索中不断突破自我不断提升我的专业能力,更让我学会了如何以科学的方法解决问题。
我也感谢学校为我提供了一个良好的学习环境和丰富的资源支持。让我得以接触到前沿的技术知识和开发工具,为毕业设计的顺利开展奠定了坚实基础。在开发过程中,我遇到了许多技术难题,但通过查阅大量文献资料和反复实践,我逐渐找到了解决方法。这一过程不仅锻炼了我的自主学习能力,也让我深刻体会到知识的力量。
最后我要感谢我的家人和亲朋们。在我为毕业设计忙碌的日子里,他们始终给予我无条件的支持和鼓励。他们的理解让我能够在紧张的学习中保持良好的心态,专注于项目的每一个细节。这份毕业设计是我大学生用户活的完美收官,也是我人生旅程中的一个重要里程碑。我将带着这份成长和感恩,继续在未来的道路上努力前行。
附 录
系统核心代码设计
注册页UserController.java,传入user对象,并将"user_id"、 "state"、 "user_group"、"login_time"、"phone"、"phone_state"、 "username"、"nickname"、"password"、"email"、"email_state"、"avatar"、"create_time"输入,重点是 "username"、"nickname"、"password"必须输入,通过获取username,数据库查询是否有该用户,如果存在,则提示“用户已存在”,否则执行将UserId置为空(数据库表中该字段已设置自动递增),代码如图所示。

注册核心代码图
登录页,首先传入"username"、"email"、"phone"、"password",用户可通过用户名、邮箱、手机号进行登陆,通过判断resultList来确定查询结果,然后执行查询用户组UserGroup,用户组里面不存在,依然报“用户不存在”,执行完以上代码,最后涉及到用户带有“审核”的,会查询examine_state(用户的审核状态),数据库表user_group中含有source_table和source_field进行查询,以上步骤完成,对输入的密码进行存储Token到数据库,匹对账号和密码,数据库中的AccessToken为令牌,用于身份认证,代码如图所示。

用户登录核心代码图
修改密码,通过请求data,获取旧密码,并将新密码重新赋值,期间都是需要通过加密,代码如图所示。

修改密码核心代码图
添加数据
新增一条数据,通过post传入一个json对象,然后经过request.getReader(),最后经过readBody()转成一个Map,含有String和Object,key用的是字段名,Object存放数据,最终得到Map,insert用拼装sql,读取body,组装成一个insert对象,runCountSql()语句,代码如图所示。

添加数据核心代码图
修改一个数据,原理与add基本一致,不同点在于通过readConfig()读取关键字,以及通过readQuery()获取URL后面?指定位置的标识,转成Map对象后,执行update操作,同样通过拼接的sql语句执行,执行过程读取query,toWhereSql()语句完成数据库操作,body为修改对象的值,代码如图所示。

修改数据核心代码图
删除一条数据,通过readQuery(),获取URL后面的对象地址,删除FROM具体的table,query删除查询FindConfig语句,代码如图示。

删除数据核心代码图
通过请求的参数获取列表数据,代码如图所示。

获取列表核心代码图
通过请求的参数获取列表数据,代码如图所示。

图片上传核心代码图
请关注点赞+私信博主,免费领取项目源码
基于SpringBoot的心理健康预警系统
956

被折叠的 条评论
为什么被折叠?



