
| 🚀 算法题 🚀 |
🌲 算法刷题专栏 | 面试必备算法 | 面试高频算法 🍀
🌲 越难的东西,越要努力坚持,因为它具有很高的价值,算法就是这样✨
🌲 作者简介:硕风和炜,优快云-Java领域优质创作者🏆,保研|国家奖学金|高中学习JAVA|大学完善JAVA开发技术栈|面试刷题|面经八股文|经验分享|好用的网站工具分享💎💎💎
🌲 恭喜你发现一枚宝藏博主,赶快收入囊中吧🌻
🌲 人生如棋,我愿为卒,行动虽慢,可谁曾见我后退一步?🎯🎯
| 🚀 算法题 🚀 |


🚩 题目链接
⛲ 题目描述
给定一个二叉树,判断它是否是 平衡二叉树,平衡二叉树 是指该树所有节点的左右子树的深度相差不超过 1。
示例 1:

输入:root = [3,9,20,null,null,15,7]
输出:true
示例 2:

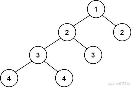
输入:root = [1,2,2,3,3,null,null,4,4]
输出:false
示例 3:
输入:root = []
输出:true
提示:
树中的节点数在范围 [0, 5000] 内
-104 <= Node.val <= 104
🌟 求解思路&实现代码&运行结果
⚡ 二叉树
🥦 求解思路
- 如果一棵二叉树是平衡二叉树,那么所有子树也都是平衡二叉树,可以使用递归的方式判断二叉树是不是平衡二叉树。
- 通过递归来判断判断当前左子树和右子树的高度是否小于1,并且左子树、右子树是否是平衡二叉树,如果满足,返回true,否则, 返回false。
- 有了基本的思路,接下来我们就来通过代码来实现一下。
🥦 实现代码
/**
* Definition for a binary tree node.
* public class TreeNode {
* int val;
* TreeNode left;
* TreeNode right;
* TreeNode() {}
* TreeNode(int val) { this.val = val; }
* TreeNode(int val, TreeNode left, TreeNode right) {
* this.val = val;
* this.left = left;
* this.right = right;
* }
* }
*/
class Solution {
public boolean isBalanced(TreeNode root) {
if (root == null) {
return true;
}
return Math.abs(process(root.left) - process(root.right)) <= 1 && isBalanced(root.left)
&& isBalanced(root.right);
}
public int process(TreeNode root) {
if (root == null)
return 0;
return Math.max(process(root.left), process(root.right)) + 1;
}
}
🥦 运行结果

💬 共勉
| 最后,我想和大家分享一句一直激励我的座右铭,希望可以与大家共勉! |



491

被折叠的 条评论
为什么被折叠?



