链表的分类:
链表一共有8种(2 * 2 * 2)链表结构
1. 带头/不带头链表
带头:指的是链表中有哨兵位节点,该哨兵位节点也叫头节点
在前面的链表的实现中,我们口头上说的头节点其实是第一个有效的节点,这不是正确的称呼
为了好理解我们才这样称呼,实际在链表中指的是哨兵位!

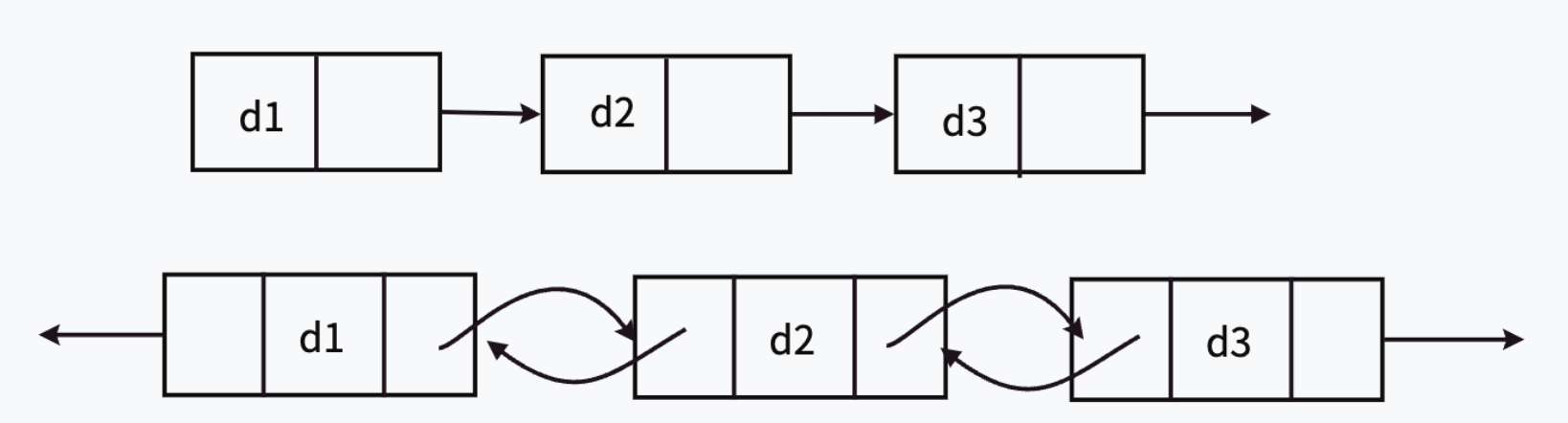
2. 单向/双向
单向:指的是只能从一个地方遍历链表
双向:可以从两个方向遍历链表

3. 循环或不循环
循环:指的是链表尾节点的next的指针指向的为NULL;
不循环:指的是链表尾节点的next指针指向的是第一个节点;成了一个环

判断循环还是不循环:尾节点的next指针指向的是否为NULL
我们前面的实现的链表是 不带头单向不循环链表(简称:单链表);只有后置指针(next)
前面代码中的 SList 的S 表示 single 单的
带头双向循环链表(简称:双向链表);它既有前置指针(prve),也有后置指针(next)
双向链表示意图:

我们最常用的就是以上的两种,当我们将以上的实现后,其余的也可以自行实现
双向链表结构定义
链表是节点组成的,双向链表的节点是由 数据 + 指向下一个节点的指针 + 指向前一个节点的指针 组成的;
//双向链表的结构初步实现:
struct ListNode
{
int data;
struct ListNode* next;
struct ListNode* prve;
}
双向链表的初始化
单链表和双向链表为空时的情况不一样,单链表为空时,为NULL
在双向链表中,phead == NULL 表示:它不是双向链表
双向链表为空时,链表中有一个哨兵位在,我们初始化时需要创建一个哨兵位
,由于双向链表为循环链表:在初始化时需要达到自循环

List.h
#include<stdio.h>
#include<assert.h>
#include<stdlib.h>
//双向链表定义:
typedef int LDatatype;
typedef struct ListNode
{
LDatatype data;
struct ListNode* next;
struct ListNode* prve;
}LTNode;
//初始化
void LTInit(LTNode** pphead);
List.c
LTNode* LTBuyNode(LDatatype x)//易错点:函数要有返回值类型; 传参时只有值x
{
LTNode* node = (LTNode*)malloc(sizeof(LTNode*));
if (node == NULL)
{
perror("malloc fail");
exit(1);//或return 1;
}
node->data = x;
node->next = node->prve = node; //双向链表为循环链表:在初始化时需要达到自循环
}
//再来一遍:
void LTInit(LTNode** pphead)
{
*pphead = LTBuyNode(-1);
}
Test.c
#include"List.h"
void LTest01()
{
LTNode* plist = NULL;
LTInit(&plist);
}
int main()
{
LTest01();
return 0;
}
除销毁以外,传一级还是二级指针问题?
规定:哨兵位节点不能被删除,该节点的地址也不能被删除
建议:传一级即可,二级也可以(但需要做到不能修改哨兵位)
对双向链表进行插入时:需要先将newnode的next和prve的指向改变,再改变原链表中的指向。这样做的好处是先改变newnode,它不会影响原链表
头插
头插是在头节点之后插入(要是再头节点之前插入相当于尾插)
示意图:

核心代码:
void LTPushFrant(LTNode* phead, LDatatype x)
{
assert(phead);
LTNode* newnode = LTBuyNode(x);
newnode->next = phead->next;
newnode->prve = phead;
////解法1:
//phead->next->prve = newnode;
//phead->next = newnode;
//解法2:
phead->next = newnode;
newnode->next->prve = newnode;
}
尾插
为空时:在哨兵位的后面尾插
不为空:在最后一个有效的节点后面进行尾插

核心代码:
void LTPushBack(LTNode* phead, LDatatype x)
{
assert(phead);//头节点必须要有,满足双向链表的要求后才可以插入
LTNode* newnode = LTBuyNode(x);
//开始尾插
newnode->next = phead;
newnode->prve = phead->prve;
////解法1:
//phead->prve->next = newnode;
//phead->prve = newnode;
//解法2:
phead->prve = newnode;
newnode->prve->next = newnode;
}
链表打印:
打印不止一个,需要用到循环,由于链表为循环链表,也不打印head,所以循环的结束条件是 当pcur != head进入循环打印(pcur 为指向第一个有效节点的指针)
核心代码:
void LPrint(LTNode* phead)
{
LTNode* pcur = phead->next;
while (pcur != phead)
{
printf("%d->", pcur->data);
pcur = pcur->next;
}
printf("NULL\n");
}
在进行删除操作时,要保证双向链表是有效的,并且保证双向链表不为空
删除时需要注意到:先将要删除的节点创建指针变量del进行保存,然后进行删除操作!
尾删

核心代码:
void LTPopBack(LTNode* phead)
{
assert(phead && phead->next != phead);//删除必须是有效的双向链表 和 双向链表不为空(不能只有一个哨兵位)
//找到尾删后会有影响的节点:phead phead->prve phead->prve->prve
//phead->prve->prve->next = phead;
//phead->prve = phead->prve->prve;
//这样做会导致到最后找不到要删除的节点了,因此要创建指针变量
LTNode* del = phead->prve;
del->prve->next = phead;
phead->prve = del->prve;
free(del);
del = NULL;
}
头删

核心代码:
void LTPopFrant(LTNode* phead)
{
assert(phead && phead->next != phead);
LTNode* del = phead->next;
phead->next = del->next;
del->next->prve = phead;
free(del);
del = NULL;
}
查找
核心代码:
LTNode* Find(LTNode* phead, LDatatype x)
{
LTNode* pcur = phead->next;//这里pcur指向的是phead->next 也就是有效的节点
while (pcur != phead)
{
if (pcur->data == x)
{
return pcur;
}
pcur = pcur->next;
}
return NULL;
}
在任意位置之后插入数据
在任意位置之前插入数据和这里是一样的,下面也会写出来的

核心代码:
void LTInsert(LTNode* pos, LDatatype x)
{
assert(pos);
LTNode* newnode = LTBuyNode(x);
newnode->prve = pos;
newnode->next = pos->next;
////解法1:
//pos->next->prve = newnode;
//pos->next = newnode;
//解法2:
pos->next = newnode;
newnode->prve = newnode;
}
LTInsert 包含了头插,但是头插不包含LTInsert
删除pos位置的节点

核心代码:
void LTErase(LTNode* pos)//这里为什么不传二级指针? 为了保持接口的一致性(也就是理论上是对的,但是会增加客户对在这里代码的理解,所以不传)
//传一级不会影响实参,所以我们调用完成后要手动释放掉实参
{
//pos理论上不能为phead,但是这里没有参数phead,无法使用断言pos != phead进行校验
assert(pos);
//pos->prve pos pos->next
pos->next->prve = pos->prve;
pos->prve->next = pos->next;
free(pos);
pos = NULL;
}
前面的初始化也可以为了保持接口的一致性,将哨兵位以返回值的形式初始化,注意这里的返回值类型是LTNode* ,而不是void
核心代码:
//方法2初始化定义:这里没有参数,我们需要自己定义一个哨兵位并作为返回值进行接收
LTNode* LTInit()
{
LTNode* phead = LTBuyNode(-1);
return phead;
}
上面的方法都是动态申请的,使用完成后需要进行销毁以下是销毁的的操作
销毁

核心代码:
void LTDestry(LTNode* phead)
{
assert(phead);//必须是有效的双向链表的节点
LTNode* pcur = phead->next;//这里的pcur一定要指向第一个有效的节点才可以进行销毁
while (pcur != phead)
{
LTNode* next = pcur->next;
free(pcur);
pcur = next;
}
//这里相当于只剩下哨兵位了 -- 最后要将哨兵位释放
free(phead);
phead = NULL;
}
LTErase和LTDestroy参数理论上要传二级,因为我们需要让形参的改变影响到实参,但是为了保持接口一致性才传的一级~
传一级存在的问题是,当形参phead置为NULL后,实参plist不会被修改为NULL,因此解决办法是:调用完方法后手动将实参置为NULL~
plist (保存的地址空间被释放掉了)(这里是指plist指向的空间形参已经被释放了,但没有置空,需要手动置空) 若后续不再使用plist就不会出现问题但是若还需要继续使用plist指针就会出现问题~
1164

被折叠的 条评论
为什么被折叠?



