前言
先解释一些相关名词:
a)图像的基本属性:包括像素、分辨率、大小、颜色、位深、色调、饱和度、亮度、色彩通道、图像的层次等,在图像分割里指在灰度、纹理和颜色上处于同一个模式。
b)区域:具有共同属性的像素的连通集合。
而图像分割是将图像划分为若干互不相交的小区域。
那什么要做图像分割处理呢?
这是由于在做视觉信息处理的时候,可能只对图像中的部分区域(如目标、前景等)感兴趣,所以为了辨识及分析这些目标,就需要对其进行分割或提取处理。
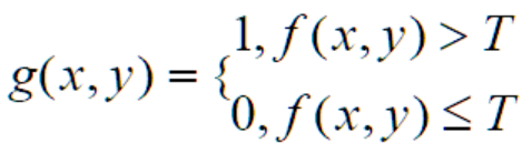
基于阈值
设原图像为
而分割后的图像为
具体分割方法如下:
这里的T为二值化图像的阈值。阈值大致可分为全局阈值、局部阈值和动态阈值三种。
阈值的选取方法有多种常见的有直方图技术、最小误差或最大方差法,下面对其进行详细描述。
基于直方图技术
若前景和背景的灰度分布值差别很大(即目标和背景的对比度高),且前景的灰度分布比较均匀时,可以采用直方图技术,此时直方图呈双峰特点,峰谷可取为阈值。
而对于复杂图像,则需要采用全局阈值的方法,这时可以将刚刚确定的指作为初始阈值,并设置一个允许误差范围,以这个值为界限将图像像素分为两组并计算每组的平均灰度,这两组的平均灰度的平均值即为新的阈值,重

本文介绍了图像分割的重要性和不同方法。基于阈值的分割包括全局阈值、最小误差法和最大方差法;基于边缘的分割讨论了点检测、线检测和霍夫变换;基于区域的分割则涵盖了区域生长法和分裂合并法。这些技术在计算机视觉领域中用于目标识别和分析。
最低0.47元/天 解锁文章
2503

被折叠的 条评论
为什么被折叠?



