目录
摘 要
本文介绍了一个基于Python和Django框架开发的商品库存管理系统的设计与实现。该系统旨在提升仓库管理和采购流程的效率,通过提供一个直观易用的界面来简化日常操作。系统主要分为三个用户角色:管理员、仓管用户和采购用户,每个角色根据其职责被赋予不同的权限。管理员负责整个系统的管理,包括用户权限设置、操作日志审查等,仓管用户专注于库存的出入库操作及库存报告生成;采购用户则主要负责供应厂商管理和采购订单处理。
系保证了数据的一致性和完整性。系统还集成了图表功能以可视化库存统设计采用了模块化的方法,确保了良好的扩展性和维护性。具体功能模块包括供应厂商管理、商品库存管理、出库信息管理、入库信息管理、库存报告管理和采购订单管理。这些模块共同作用,实现了对商品从采购到存储直至最终销售的全过程跟踪。
技术上,系统后端使用Python语言结合Django框架进行开发,利用Django提供的ORM功能方便地与数据库交互,状态和趋势,增强了数据分析能力。
关键词:商品库存管理系统;Django框架
This paper introduces the design and implementation of a commodity inventory management system developed based on the Python and Django framework. The system is designed to improve the efficiency of warehouse management and procurement processes, simplifying daily operations by providing an intuitive and easy-to-use interface. The system is divided into three user roles: administrator, warehouse user and purchasing user, and each role is given different permissions according to its responsibilities. The administrator is responsible for the management of the whole system, including user permission setting, operation log review, etc. Warehouse users focus on inventory entry and exit operation and inventory report generation; purchasing users are mainly responsible for supplier management and purchase order processing.
System to ensure the consistency and integrity of the data. The system also integrates chart functions to visualize the inventory system design using a modular approach to ensure good scalability and maintainability. The specific functional modules include supplier management, commodity inventory management, warehouse information management, warehousing information management, inventory report management and purchase order management. Together, these modules track the whole process of goods from procurement to storage to final sales.
Technically, the back end of the system is developed using Python language combined with Django framework, using the ORM function provided by Django to easily interact with the database, status and trend, and enhance the data analysis ability.
Keywords: commodity inventory management system; Django framework
- 绪 论
- 研究背景及意义
随着电子商务和现代物流行业的迅速发展,企业对高效库存管理的需求日益增长。传统的手工记录和管理方式已难以满足现代企业对于速度、准确性和实时性的要求,导致效率低下和错误频发[1]。基于此背景,开发一个集成化、自动化且易于操作的商品库存管理系统显得尤为必要。通过采用Python和Django框架构建的系统,不仅可以显著提升库存管理的精确度和效率,还能为企业提供强大的数据分析支持,助力决策制定[2]。该系统的研究与实现不仅有助于解决当前企业管理中的实际问题,还为相关技术在物流、供应链管理等领域的应用提供了宝贵的实践经验和技术参考,具有重要的现实意义和广阔的应用前景[3]。
在全球范围内,库存管理系统的发展已经历了从传统手工操作到高度自动化、智能化的转变[4]。在国外,特别是在欧美发达国家,企业广泛应用先进的ERP系统进行库存管理,这些系统集成了供应链管理、财务管理等多个模块,实现了全流程的高度自动化和数据驱动决策[5]。典型的企业如SAP、Oracle等提供了功能强大且灵活的解决方案,能够满足不同规模企业的多样化需求。
在国内,随着电子商务的迅猛发展和制造业的转型升级,对高效库存管理系统的需求也日益增加[6]。国内企业在引进国外先进技术的基础上,结合本地化需求进行了大量创新,涌现出一批优秀的库存管理系统供应商和服务商,如用友、金蝶等。同时,政府对信息化建设的支持力度不断加大,促进了信息技术在物流和供应链管理中的应用与发展[7]。相较于国际先进水平,国内企业在系统集成度、智能化程度以及数据分析能力方面仍有提升空间,尤其是在中小型企业中,普及率和技术应用深度尚待加强[8]。开发适合中国国情的高效库存管理系统具有重要的现实意义和广阔的市场前景。
本论文共分为七个主要章节,具体结构如下:
1. 绪论:介绍研究背景与意义,回顾国内外研究现状,并概述论文的组织结构。
2. 相关技术介绍:详细介绍与本研究相关的技术,包括Python语言、B/S框架、Django框架和MySQL数据库。
3. 需求分析:对系统的功能需求和非功能需求进行分析,明确用户和管理员的需求,并进行可行性分析,包括技术、操作和经济可行性。
4. 系统设计:涵盖系统架构设计、系统模块设计,并进行数据库的概念设计与表设计。
5. 系统实现:具体描述各个功能模块的实现过程,展示系统如何根据需求进行开发。
6. 系统测试:阐述测试的目的,分析测试结果并得出结论,以验证系统的稳定性和功能完整性。
7. 总结:总结研究的主要成果和贡献,指出存在的不足及未来的研究方向。
MySQL是一个关系型数据库管理系统(RDBMS),由瑞典的MySQL AB公司开发,现在属于Oracle公司旗下产品。它使用结构化查询语言(SQL)进行数据库管理。MySQL是最流行的关系型数据库管理系统之一,尤其在WEB应用方面表现出色。
MySQL的主要特点包括:
1.关系型数据库:它使用表格来存储数据,每个表格都有行和列,行代表记录,列代表字段。这种结构使得数据的管理和查询变得非常高效。
2.SQL语言:MySQL使用SQL语言进行数据操作,这是一种非常强大且通用的语言,可以用于创建、修改、查询和删除数据库中的数据。
3.开源和免费:MySQL是开源的,意味着任何人都可以查看、修改和分发其源代码。此外,社区版是免费的,适合中小型网站的开发。
4.高效和稳定:MySQL的设计注重性能和稳定性,即使在处理大量数据时也能保持高效的性能。
5.支持多种平台:MySQL可以在多种操作系统上运行,包括Windows、Linux、Mac OS等。
6.可扩展性:MySQL支持各种扩展功能,如复制、分区、集群等,使得数据库可以适应不同的应用场景。
总的来说,MySQL是一个功能强大、易于使用且高度灵活的数据库管理系统,广泛应用于各种类型的网站和应用中。
Python是一种相对于编译型语言存在的、一种独立于机器,面向过程或对象的语言,Python表达方式简练、明了,没有冗余或多余的内容,容易理解。在通过使用统计分析方法来提取有用信息并形成结论,以支持决策制定的过程中Python都展现出了其特别的优势。Python有一个规模很大的数据处理库,这些库提供了功能性很强的数据元素的集合和数据分析手段,可以方便地对平台产生的海量数据进行处理、清洗和转换。Python具有多种相对前卫的推演和计算方式,这些方式提供了很多的图表类型和可视化效果,让用户可以简单易懂的了解数据信息。Python可以结合无界数据集设计的数据处理引擎,实现对直播平台数据的实时采集、处理和分析,从而为用户提供及时、准确的数据支持。
Django是一个使用Python编写的开源Web应用框架,可以快速开发安全和可维护的网站。它遵循MVC设计模式,并内置了许多功能,如认证、URL路由、模板引擎、对象关系映射(ORM)等,使得开发者能够更专注于业务逻辑的实现,而无需花费大量时间在底层代码的开发上。
在开发基于Python的商品库存管理系统时,Django框架的优势尤为明显。首先,Django的ORM系统可以方便地处理数据库相关的操作,使得开发者无需关心底层的SQL语句编写,提高了开发效率。其次,Django的模板引擎可以实现快速的页面渲染,使得前端页面能够实时展示数据处理的结果。此外,Django还提供了丰富的第三方插件和库,如Django Rest Framework、Django Channels等,可以方便地扩展系统的功能。
PyCharm是由JetBrains公司开发的专业Python集成开发环境(IDE),旨在提供全面的开发支持和工具,以提高Python项目的开发效率。它拥有强大的代码编辑器、调试器、测试框架支持和项目管理功能,可以帮助开发人员更快地编写正确的代码、进行代码调试和问题排查,并方便地进行单元测试和集成测试。此外,PyCharm还集成了常用的版本控制系统,支持团队协作和代码版本管理。总之,PyCharm是一款功能丰富、用户友好的Python开发工具,无论是初学者还是经验丰富的开发人员都能从中受益。
B/S模式,全称为Browser/Server(浏览器/服务器模式),也被称为B/S结构,是WEB兴起后的一种网络结构模式。
B/S模式统一了客户端,将系统功能实现的核心部分集中到服务器上,简化了系统的开发、维护和使用。在这种模式中,客户机上只需要安装一个浏览器,如Chrome、Safari、Microsoft Edge、Netscape Navigator或Internet Explorer等,而服务器则安装SQL Server、Oracle、MYSQL等数据库。浏览器通过Web Server同数据库进行数据交互。
此外,B/S模式是一种基于浏览器和服务器的应用程序架构,也被称为Web应用程序开发模式。该模式将应用程序的业务逻辑和数据处理都放在服务器端完成,而客户端只需要通过浏览器来访问服务器。这种模式实现了跨平台、跨操作系统和分布式计算等特点,主要依赖于Web技术,如HTML、CSS、PythonScript等,以及Web服务器、数据库等后端技术。
与传统的C/S(Client/Server)开发模式相比,B/S开发模式可以减少客户端的安装和维护工作,提高了应用程序的可移植性和易用性,适合于大规模企业级应用的开发。
现代软件开发技术已经相当成熟,提供了丰富的工具和框架,可以应对各种复杂的业务需求。采用Python等成熟、稳定的语言进行开发,利用其面向对象、跨平台等特性,实现系统的模块化、可扩展性和可维护性。利用Django等现代框架,简化开发过程,提高开发效率。对于数据库的选择,使用MySQL等关系型数据库,以满足数据存储和查询的需求。因此,从技术层面来看,开发商品库存管理系统是完全可行的。
系统的开发成本相对较低,可以利用开源框架和工具,降低开发成本。其次,系统的运行和维护成本也相对较低,可以采用Python等技术,实现系统的自动化部署和维护。因此,从经济层面来看,开发商品库存管理系统也是可行的。
系统开发符合当前社会发展的趋势,能够满足企业对于库存管理的需求,提高管理效率,降低运营成本。系统的开发和使用也有助于推动信息化技术的发展和应用,对于促进社会进步和发展具有积极意义。因此,从社会层面来看,开发商品库存管理系统同样是可行的。
系统的操作界面设计简洁明了,易于用户理解和操作。系统提供了详尽的操作指南和帮助文档,使得用户能够快速上手并熟练使用系统。系统还具备良好的容错性和错误提示功能,当用户操作失误时,能够及时给出提示信息,引导用户进行正确的操作。因此,从操作层面来看,商品库存管理系统同样具备可行性。
商品库存管理系统划管理端和用户端合为一端。
仓管用户模块:
- 登录:该模块需要管理员权限进行用户添加,确保只有授权的人员能够访问系统。
- 后台首页:这是系统的主要界面,用户可以在此快速导航至各个管理模块,查看概览信息和执行日常操作。
- 供应厂商管理:用户可以在此模块进行供应厂商的查询和查看详细信息,以便于管理与供应商的关系和交易记录。
- 商品库存管理:此模块允许用户添加新商品、删除或查询现有库存,查看商品详情,以及处理商品的出库和入库操作,创建库存报告以监控库存状态。
- 出库信息管理:用户可以在此模块删除或查询出库记录,查看出库详情,确保出库流程的准确性和高效性。
- 入库信息管理:该模块提供了删除和查询入库记录的功能,用户可以查看入库详情,管理商品的接收和存储过程。
- 库存报告管理:用户可以在此模块生成和管理库存报告,删除或查询历史报告,以分析库存趋势和做出相应的库存调整。
- 采购订单管理:用户可以删除或查询采购订单,查看订单详情,确保采购流程的透明度和及时性。
采购用户模块:
- 登录:该模块需要管理员进行用户添加操作,确保只有授权的采购用户能够登录系统。用户在登录时需要输入正确的用户名和密码,系统将验证其权限,以确保数据安全和操作的合规性。
- 后台首页:这是系统管理员或采购用户的主界面,提供了一个概览和快速入口,可以方便地访问系统中的各个模块。
- 供应厂商管理:在这个模块中,采购用户可以添加新的供应厂商信息,包括厂商的基本资料、联系方式等。同时,采购用户可以对已有的供应厂商记录进行删除和查询操作,以及查看厂商的详细信息,以便进行更深入的了解和管理。
- 商品库存管理:该模块允许用户查询当前库存状态,包括商品的种类、数量、存放位置等信息。用户可以查看商品的详细信息。系统还支持添加采购信息功能,以补充库存。
- 采购订单管理:在这个模块中,用户可以对采购订单进行管理,包括删除不再需要的订单和查询历史订单记录。用户还可以查看订单的详细信息,确保采购流程的透明和高效。
管理员模块:
- 登录:管理员通过输入用户名和密码进行身份验证,以访问后端管理界面。系统提供安全措施,如验证码或二次验证,以防止未授权访问。
- 后台首页:提供直观的仪表板,展示关键数据如出库信息统计和入库信息统计,帮助管理员快速把握库存和物流状态。
- 系统用户:定义不同角色的用户,包括管理员、采购用户和仓管用户,各自拥有不同的权限和职责,以确保工作流程的顺畅和数据安全。
- 供应厂商管理:允许管理员添加、删除和查询供应商信息,以及查看供应商的详细资料,便于跟踪供应商表现和管理合作关系。
- 商品库存管理:提供商品的添加、删除、查询功能,以及查看商品详情。管理员可以处理出库、入库操作,并生成库存报告,同时管理采购订单,确保库存水平符合需求。
- 出库信息管理:允许管理员对出库记录进行删除和查询操作,并查看每笔出库交易的详细信息,以监控商品流向和客户订单履行情况。
- 入库信息管理:提供对入库记录的删除和查询功能,管理员可以查看每笔入库交易的详细信息,以确保库存的准确性和及时更新。
- 库存报告管理:允许管理员生成和管理库存报告,包括删除和查询历史报告,帮助分析库存趋势和做出补货决策。
- 采购订单管理:管理员可以对采购订单进行删除和查询操作,并查看订单详情,以跟踪采购进度和管理供应链关系。
- 权限管理:管理员可以设置和调整不同用户角色的权限,确保每个用户只能访问其职责范围内的信息和功能,从而维护系统的安全性和数据的完整性。
- 操作日志:记录所有管理员的操作活动,包括登录、修改、删除等操作,便于追踪和审计,确保系统的透明度和责任追溯。
商品库存管理系统的非功能性需求比如商品库存管理系统的安全性怎么样,可靠性怎么样,性能怎么样,可拓展性怎么样等,具体可以表示在如下3-1表格中:
表3-1商品库存管理系统非功能需求表
| 安全性 | 主要指商品库存管理系统数据库的安装,数据库的使用和密码的设定必须合乎规范。 |
| 可靠性 | 可靠性是指商品库存管理系统能够安装用户的指示进行操作,经过测试,可靠性90%以上。 |
| 性能 | 性能是影响商品库存管理系统占据市场的必要条件,所以性能最好要佳才好。 |
| 可扩展性 | 比如数据库预留多个属性,比如接口的使用等确保了系统的非功能性需求。 |
| 易用性 | 用户只要跟着商品库存管理系统的页面展示内容进行操作,就可以了。 |
| 可维护性 | 商品库存管理系统开发的可维护性是非常重要的,经过测试,可维护性没有问题 |
商品库存管理系统的完整UML用例图分别是图3-1、3-2、3-3。
仓管用户角色用例如图3-1所示。

图 3-1商品库存管理系统仓管用户角色用例图
管理员角色用例如图3-2所示。

图 3-2商品库存管理系统管理员角色用例图
采购用户角色用例如图3-3所示。

图 3-3商品库存管理系统采购用户角色用例图
系统开发流程的主要步骤,从需求分析到系统完成的全过程。流程包括需求分析、总体设计(结构、功能、数据)、详细设计(模块、编码)、模块整合与调用,以及测试、扩展和完善,最终完成系统的开发。本系统的开发流程如图3-4所示

图 3-4系统开发流程图
用户输入用户名和密码后,系统先检查输入是否为空,再验证用户名是否存在,若存在则通过用户名获取密码并校验。若密码正确则登录成功,否则提示密码错误。若用户名不存在或无法登录,提示用户操作无效。如图3-5所示。

图 3-5登录流程图
用户首先进入系统登录界面,输入用户名和密码后,系统验证信息是否正确。若验证失败,返回登录界面重新输入,若验证成功,则进入功能界面,执行相应功能处理后结束操作流程。操作流程如图3-6所示。

图 3-6 系统操作流程图
管理员可以添加信息,用户添加可以自己权限内的信息,输入信息后,要想利用这个软件来进行系统的安全管理,首先需要登录到该软件中。添加信息流程如图3-7所示。

图 3-7 添加信息流程图
用户首先选择需要修改的记录,输入修改后的数据,系统判断输入数据是否合法。若数据不合法,提示重新输入,若数据合法,则将修改后的数据写入数据库,完成操作后流程结束。修改信息流程图如图3-8所示。

图 3-8 修改信息流程图
用户选择需要删除的记录后,系统判断是否确认删除。若未确认,返回选择环节,若确认删除,则更新数据库,删除对应记录,完成操作后流程结束。删除信息流程图如图3-9所示。

图 3-9删除信息流程图
- 商品库存管理系统 总体设计
本章主要讨论的内容包括商品库存管理系统的功能模块设计、数据库系统设计。
本商品库存管理系统从架构上分为三层:表现层(UI)、业务逻辑层(BLL)以及数据层(DL)。

图 4-1商品库存管理系统架构设计图
表现层(UI):也称为用户界面层,它负责与用户进行直接的交互。一个优秀的UI设计能够显著提升用户的体验,确保用户在使用商品库存管理系统时感到舒适和便捷。为了确保良好的兼容性,UI界面设计需要适应不同版本的平台和各种屏幕尺寸的分辨率。此外,UI交互功能必须合理设计,确保用户的操作能够得到相应的反馈和结果,这要求表现层与业务逻辑层之间保持良好的通信和协同工作。
业务逻辑层(BLL):这一层主要处理商品库存管理系统的数据和业务逻辑。当用户通过表现层提交数据时,业务逻辑层会接收这些数据,进行处理,并将结果传递给数据层进行存储或查询。同时,当系统需要从数据层读取数据时,业务逻辑层会处理这些数据,并将其传递给表现层进行展示。
数据层(DL):虽然本商品库存管理系统的数据存储在服务端的MySQL数据库中,但数据层仍然作为一个独立的部分存在。它的主要功能是存储和管理商品库存管理系统的数据。数据层与MySQL数据库进行交互,执行数据的增、删、改、查等操作,确保数据的完整性和安全性。
这三个层次相互独立但又紧密协作,共同构成了商品库存管理系统的完整架构。通过合理的分层设计,可以提高系统的可维护性、可扩展性和可重用性,为用户提供更好的服务和体验。
在上一章节中主要对系统的功能性需求和非功能性需求进行分析,并且根据需求分析了本商品库存管理系统中的用例。那么接下来就要开始对本商品库存管理系统的架构、主要功能和数据库开始进行设计。商品库存管理系统根据前面章节的需求分析得出,商品库存管理系统的功能模块图如下图所示。

图 4-2商品库存管理系统功能模块图
数据库设计一般包括需求分析、概念模型设计、数据库表建立三大过程,其中需求分析前面章节已经阐述,概念模型设计有概念模型和逻辑结构设计两部分。
-
-
- 数据库概念结构设计
-
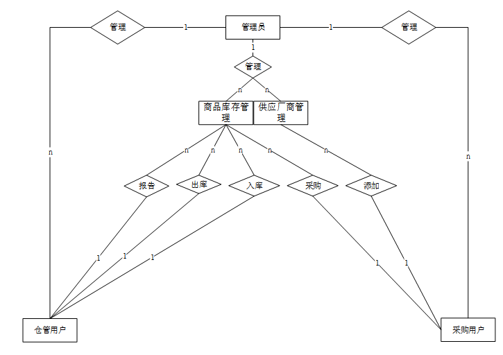
下面是整个商品库存管理系统中主要的数据库表总E-R实体关系图。

图 4-3商品库存管理系统总E-R关系图
通过上一小节中商品库存管理系统中总E-R关系图上得出一共需要创建多个数据表。在此主要罗列几个主要的数据库表结构设计。
| 编号 | 字段名 | 类型 | 长度 | 是否非空 | 是否主键 | 注释 |
| 1 | token_id | int | 是 | 是 | 临时访问牌ID | |
| 2 | token | varchar | 64 | 否 | 否 | 临时访问牌 |
| 3 | info | text | 65535 | 否 | 否 | 信息 |
| 4 | maxage | int | 是 | 否 | 最大寿命:默认2小时 | |
| 5 | create_time | timestamp | 是 | 否 | 创建时间 | |
| 6 | update_time | timestamp | 是 | 否 | 更新时间 | |
| 7 | user_id | int | 是 | 否 | 用户编号 |
表 4-2-auth(用户权限管理)
| 编号 | 字段名 | 类型 | 长度 | 是否非空 | 是否主键 | 注释 |
| 1 | auth_id | int | 是 | 是 | 授权ID | |
| 2 | user_group | varchar | 64 | 否 | 否 | 用户组 |
| 3 | mod_name | varchar | 64 | 否 | 否 | 模块名 |
| 4 | table_name | varchar | 64 | 否 | 否 | 表名 |
| 5 | page_title | varchar | 255 | 否 | 否 | 页面标题 |
| 6 | path | varchar | 255 | 否 | 否 | 路由路径 |
| 7 | parent | varchar | 64 | 否 | 否 | 父级菜单 |
| 8 | parent_sort | int | 是 | 否 | 父级菜单排序 | |
| 9 | position | varchar | 32 | 否 | 否 | 位置 |
| 10 | mode | varchar | 32 | 是 | 否 | 跳转方式 |
| 11 | add | tinyint | 是 | 否 | 是否可增加 | |
| 12 | del | tinyint | 是 | 否 | 是否可删除 | |
| 13 | set | tinyint | 是 | 否 | 是否可修改 | |
| 14 | get | tinyint | 是 | 否 | 是否可查看 | |
| 15 | field_add | text | 65535 | 否 | 否 | 添加字段 |
| 16 | field_set | text | 65535 | 否 | 否 | 修改字段 |
| 17 | field_get | text | 65535 | 否 | 否 | 查询字段 |
| 18 | table_nav_name | varchar | 500 | 否 | 否 | 跨表导航名称 |
| 19 | table_nav | varchar | 500 | 否 | 否 | 跨表导航 |
| 20 | option | text | 65535 | 否 | 否 | 配置 |
| 21 | create_time | timestamp | 是 | 否 | 创建时间 | |
| 22 | update_time | timestamp | 是 | 否 | 更新时间 |
表 4-3-code_token(验证码)
| 编号 | 字段名 | 类型 | 长度 | 是否非空 | 是否主键 | 注释 |
| 1 | code_token_id | int | 是 | 是 | 验证码ID | |
| 2 | token | varchar | 255 | 否 | 否 | 令牌 |
| 3 | code | varchar | 255 | 否 | 否 | 验证码 |
| 4 | expire_time | timestamp | 是 | 否 | 失效时间 | |
| 5 | create_time | timestamp | 是 | 否 | 创建时间 | |
| 6 | update_time | timestamp | 是 | 否 | 更新时间 |
表 4-4-commodity_inventory(商品库存)
| 编号 | 字段名 | 类型 | 长度 | 是否非空 | 是否主键 | 注释 |
| 1 | commodity_inventory_id | int | 是 | 是 | 商品库存ID | |
| 2 | warehouse_management_users | int | 否 | 否 | 仓管用户 | |
| 3 | warehouse_keepers_name | varchar | 64 | 否 | 否 | 仓管姓名 |
| 4 | product_code | varchar | 64 | 是 | 否 | 商品编码 |
| 5 | product_name | varchar | 64 | 是 | 否 | 商品名称 |
| 6 | category | varchar | 64 | 否 | 否 | 商品分类 |
| 7 | commodity_price | double | 是 | 否 | 商品价格 | |
| 8 | product_inventory | double | 是 | 否 | 商品库存 | |
| 9 | supplier | varchar | 64 | 否 | 否 | 供应厂商 |
| 10 | storage_location | text | 65535 | 否 | 否 | 存储位置 |
| 11 | outbound_information_limit_times | int | 是 | 否 | 出库限制次数 | |
| 12 | inventory_information_limit_times | int | 是 | 否 | 入库限制次数 | |
| 13 | inventory_report_limit_times | int | 是 | 否 | 报告限制次数 | |
| 14 | purchase_order_limit_times | int | 是 | 否 | 采购限制次数 | |
| 15 | create_time | datetime | 是 | 否 | 创建时间 | |
| 16 | update_time | timestamp | 是 | 否 | 更新时间 |
表 4-5-hits(用户点击)
| 编号 | 字段名 | 类型 | 长度 | 是否非空 | 是否主键 | 注释 |
| 1 | hits_id | int | 是 | 是 | 点赞ID | |
| 2 | user_id | int | 是 | 否 | 点赞人 | |
| 3 | create_time | timestamp | 是 | 否 | 创建时间 | |
| 4 | update_time | timestamp | 是 | 否 | 更新时间 | |
| 5 | source_table | varchar | 255 | 否 | 否 | 来源表 |
| 6 | source_field | varchar | 255 | 否 | 否 | 来源字段 |
| 7 | source_id | int | 是 | 否 | 来源ID |
表 4-6-inventory_information(入库信息)
| 编号 | 字段名 | 类型 | 长度 | 是否非空 | 是否主键 | 注释 |
| 1 | inventory_information_id | int | 是 | 是 | 入库信息ID | |
| 2 | warehouse_management_users | int | 否 | 否 | 仓管用户 | |
| 3 | warehouse_keepers_name | varchar | 64 | 否 | 否 | 仓管姓名 |
| 4 | product_code | varchar | 64 | 否 | 否 | 商品编码 |
| 5 | product_name | varchar | 64 | 否 | 否 | 商品名称 |
| 6 | category | varchar | 64 | 否 | 否 | 商品分类 |
| 7 | product_inventory | varchar | 64 | 否 | 否 | 商品库存 |
| 8 | inventory_quantity | double | 是 | 否 | 入库数量 | |
| 9 | storage_date | date | 是 | 否 | 入库日期 | |
| 10 | manufacturer_information | text | 65535 | 否 | 否 | 厂商信息 |
| 11 | storage_remarks | text | 65535 | 否 | 否 | 入库备注 |
| 12 | create_time | datetime | 是 | 否 | 创建时间 | |
| 13 | update_time | timestamp | 是 | 否 | 更新时间 | |
| 14 | source_table | varchar | 255 | 否 | 否 | 来源表 |
| 15 | source_id | int | 否 | 否 | 来源ID | |
| 16 | source_user_id | int | 否 | 否 | 来源用户 |
表 4-7-inventory_report(库存报告)
| 编号 | 字段名 | 类型 | 长度 | 是否非空 | 是否主键 | 注释 |
| 1 | inventory_report_id | int | 是 | 是 | 库存报告ID | |
| 2 | warehouse_management_users | int | 否 | 否 | 仓管用户 | |
| 3 | warehouse_keepers_name | varchar | 64 | 否 | 否 | 仓管姓名 |
| 4 | product_code | varchar | 64 | 否 | 否 | 商品编码 |
| 5 | product_name | varchar | 64 | 否 | 否 | 商品名称 |
| 6 | category | varchar | 64 | 否 | 否 | 商品分类 |
| 7 | commodity_inventory | varchar | 64 | 否 | 否 | 商品库存 |
| 8 | report_title | varchar | 64 | 是 | 否 | 报告标题 |
| 9 | inventory_information | text | 65535 | 否 | 否 | 入库信息 |
| 10 | outbound_information | text | 65535 | 否 | 否 | 出库信息 |
| 11 | report_details | text | 65535 | 否 | 否 | 报告详情 |
| 12 | create_time | datetime | 是 | 否 | 创建时间 | |
| 13 | update_time | timestamp | 是 | 否 | 更新时间 | |
| 14 | source_table | varchar | 255 | 否 | 否 | 来源表 |
| 15 | source_id | int | 否 | 否 | 来源ID | |
| 16 | source_user_id | int | 否 | 否 | 来源用户 |
表 4-8-operation_log(操作日志表)
| 编号 | 字段名 | 类型 | 长度 | 是否非空 | 是否主键 | 注释 |
| 1 | operation_log_id | int | 是 | 是 | 操作日志ID | |
| 2 | user_group | varchar | 64 | 否 | 否 | 用户角色 |
| 3 | user_name | varchar | 64 | 否 | 否 | 用户账号 |
| 4 | routes | varchar | 64 | 否 | 否 | 模块名称 |
| 5 | create_time | datetime | 是 | 否 | 创建时间 | |
| 6 | update_time | timestamp | 是 | 否 | 更新时间 |
表 4-9-outbound_information(出库信息)
| 编号 | 字段名 | 类型 | 长度 | 是否非空 | 是否主键 | 注释 |
| 1 | outbound_information_id | int | 是 | 是 | 出库信息ID | |
| 2 | warehouse_management_users | int | 否 | 否 | 仓管用户 | |
| 3 | warehouse_keepers_name | varchar | 64 | 否 | 否 | 仓管姓名 |
| 4 | product_code | varchar | 64 | 否 | 否 | 商品编码 |
| 5 | product_name | varchar | 64 | 否 | 否 | 商品名称 |
| 6 | category | varchar | 64 | 否 | 否 | 商品分类 |
| 7 | product_inventory | varchar | 64 | 否 | 否 | 商品库存 |
| 8 | sales_unit_price | double | 是 | 否 | 销售单价 | |
| 9 | sales_volumes | double | 是 | 否 | 销售数量 | |
| 10 | total_sales | double | 否 | 否 | 销售总额 | |
| 11 | outdate | date | 是 | 否 | 出库日期 | |
| 12 | customer_information | text | 65535 | 否 | 否 | 客户信息 |
| 13 | outbound_remarks | text | 65535 | 否 | 否 | 出库备注 |
| 14 | create_time | datetime | 是 | 否 | 创建时间 | |
| 15 | update_time | timestamp | 是 | 否 | 更新时间 | |
| 16 | source_table | varchar | 255 | 否 | 否 | 来源表 |
| 17 | source_id | int | 否 | 否 | 来源ID | |
| 18 | source_user_id | int | 否 | 否 | 来源用户 |
表 4-10-purchase_order(采购订单)
| 编号 | 字段名 | 类型 | 长度 | 是否非空 | 是否主键 | 注释 |
| 1 | purchase_order_id | int | 是 | 是 | 采购订单ID | |
| 2 | purchasing_users | int | 否 | 否 | 采购用户 | |
| 3 | purchase_name | varchar | 64 | 否 | 否 | 采购姓名 |
| 4 | product_code | varchar | 64 | 否 | 否 | 商品编码 |
| 5 | product_name | varchar | 64 | 否 | 否 | 商品名称 |
| 6 | category | varchar | 64 | 否 | 否 | 商品分类 |
| 7 | purchase_quantity | double | 是 | 否 | 采购数量 | |
| 8 | item_pricing | double | 是 | 否 | 商品单价 | |
| 9 | purchase_amount | double | 否 | 否 | 采购金额 | |
| 10 | procurement_time | date | 否 | 否 | 采购时间 | |
| 11 | order_status | varchar | 64 | 否 | 否 | 订单状态 |
| 12 | order_remarks | text | 65535 | 否 | 否 | 订单备注 |
| 13 | create_time | datetime | 是 | 否 | 创建时间 | |
| 14 | update_time | timestamp | 是 | 否 | 更新时间 | |
| 15 | source_table | varchar | 255 | 否 | 否 | 来源表 |
| 16 | source_id | int | 否 | 否 | 来源ID | |
| 17 | source_user_id | int | 否 | 否 | 来源用户 |
表 4-11-purchasing_users(采购用户)
| 编号 | 字段名 | 类型 | 长度 | 是否非空 | 是否主键 | 注释 |
| 1 | purchasing_users_id | int | 是 | 是 | 采购用户ID | |
| 2 | purchase_name | varchar | 64 | 是 | 否 | 采购姓名 |
| 3 | user_gender | varchar | 64 | 否 | 否 | 用户性别 |
| 4 | phone_number | varchar | 16 | 是 | 是 | 手机号码 |
| 5 | examine_state | varchar | 16 | 是 | 否 | 审核状态 |
| 6 | user_id | int | 是 | 否 | 用户ID | |
| 7 | create_time | datetime | 是 | 否 | 创建时间 | |
| 8 | update_time | timestamp | 是 | 否 | 更新时间 |
表 4-12-schedule(日程管理)
| 编号 | 字段名 | 类型 | 长度 | 是否非空 | 是否主键 | 注释 |
| 1 | schedule_id | smallint | 是 | 是 | 日程ID | |
| 2 | content | varchar | 255 | 否 | 否 | 日程内容 |
| 3 | scheduled_time | datetime | 否 | 否 | 计划时间 | |
| 4 | user_id | int | 是 | 否 | 用户ID | |
| 5 | create_time | datetime | 否 | 否 | 创建时间 | |
| 6 | update_time | datetime | 否 | 否 | 更新时间 |
表 4-13-score(评分)
| 编号 | 字段名 | 类型 | 长度 | 是否非空 | 是否主键 | 注释 |
| 1 | score_id | int | 是 | 是 | 评分ID | |
| 2 | user_id | int | 是 | 否 | 评分人 | |
| 3 | nickname | varchar | 64 | 否 | 否 | 昵称 |
| 4 | score_num | double | 是 | 否 | 评分 | |
| 5 | create_time | timestamp | 是 | 否 | 创建时间 | |
| 6 | update_time | timestamp | 是 | 否 | 更新时间 | |
| 7 | source_table | varchar | 255 | 否 | 否 | 来源表 |
| 8 | source_field | varchar | 255 | 否 | 否 | 来源字段 |
| 9 | source_id | int | 是 | 否 | 来源ID |
表 4-14-supplier(供应厂商)
| 编号 | 字段名 | 类型 | 长度 | 是否非空 | 是否主键 | 注释 |
| 1 | supplier_id | int | 是 | 是 | 供应厂商ID | |
| 2 | purchasing_users | int | 否 | 否 | 采购用户 | |
| 3 | purchase_name | varchar | 64 | 是 | 否 | 采购姓名 |
| 4 | manufacturer_name | varchar | 64 | 是 | 否 | 厂商名称 |
| 5 | contact_no | varchar | 16 | 是 | 否 | 联系号码 |
| 6 | supply_of_goods | text | 65535 | 否 | 否 | 供应商品 |
| 7 | manufacturers_address | text | 65535 | 否 | 否 | 厂商地址 |
| 8 | manufacturer_introduction | text | 65535 | 否 | 否 | 厂商简介 |
| 9 | create_time | datetime | 是 | 否 | 创建时间 | |
| 10 | update_time | timestamp | 是 | 否 | 更新时间 |
表 4-15-upload(文件上传)
| 编号 | 字段名 | 类型 | 长度 | 是否非空 | 是否主键 | 注释 |
| 1 | upload_id | int | 是 | 是 | 上传ID | |
| 2 | name | varchar | 64 | 否 | 否 | 文件名 |
| 3 | path | varchar | 255 | 否 | 否 | 访问路径 |
| 4 | file | varchar | 255 | 否 | 否 | 文件路径 |
| 5 | display | varchar | 255 | 否 | 否 | 显示顺序 |
| 6 | father_id | int | 否 | 否 | 父级ID | |
| 7 | dir | varchar | 255 | 否 | 否 | 文件夹 |
| 8 | type | varchar | 32 | 否 | 否 | 文件类型 |
表 4-16-user(用户账户)
| 编号 | 字段名 | 类型 | 长度 | 是否非空 | 是否主键 | 注释 |
| 1 | user_id | int | 是 | 是 | 用户ID | |
| 2 | state | smallint | 是 | 否 | 账户状态:(1可用|2异常|3已冻结|4已注销) | |
| 3 | user_group | varchar | 32 | 否 | 否 | 所在用户组 |
| 4 | login_time | timestamp | 是 | 否 | 上次登录时间 | |
| 5 | phone | varchar | 11 | 否 | 否 | 手机号码 |
| 6 | phone_state | smallint | 是 | 否 | 手机认证:(0未认证|1审核中|2已认证) | |
| 7 | username | varchar | 16 | 是 | 否 | 用户名 |
| 8 | nickname | varchar | 16 | 否 | 否 | 昵称 |
| 9 | password | varchar | 64 | 是 | 否 | 密码 |
| 10 | | varchar | 64 | 否 | 否 | 邮箱 |
| 11 | email_state | smallint | 是 | 否 | 邮箱认证:(0未认证|1审核中|2已认证) | |
| 12 | avatar | varchar | 255 | 否 | 否 | 头像地址 |
| 13 | open_id | varchar | 255 | 否 | 否 | 针对获取用户信息字段 |
| 14 | create_time | timestamp | 是 | 否 | 创建时间 |
表 4-17-user_group(用户组)
| 编号 | 字段名 | 类型 | 长度 | 是否非空 | 是否主键 | 注释 |
| 1 | group_id | mediumint | 是 | 是 | 用户组ID | |
| 2 | display | smallint | 是 | 否 | 显示顺序 | |
| 3 | name | varchar | 16 | 是 | 否 | 名称 |
| 4 | description | varchar | 255 | 否 | 否 | 描述 |
| 5 | source_table | varchar | 255 | 否 | 否 | 来源表 |
| 6 | source_field | varchar | 255 | 否 | 否 | 来源字段 |
| 7 | source_id | int | 是 | 否 | 来源ID | |
| 8 | register | smallint | 否 | 否 | 注册位置 | |
| 9 | create_time | timestamp | 是 | 否 | 创建时间 | |
| 10 | update_time | timestamp | 是 | 否 | 更新时间 |
表 4-18-warehouse_management_users(仓管用户)
| 编号 | 字段名 | 类型 | 长度 | 是否非空 | 是否主键 | 注释 |
| 1 | warehouse_management_users_id | int | 是 | 是 | 仓管用户ID | |
| 2 | warehouse_keepers_name | varchar | 64 | 是 | 否 | 仓管姓名 |
| 3 | user_gender | varchar | 64 | 否 | 否 | 用户性别 |
| 4 | phone_number | varchar | 16 | 是 | 是 | 手机号码 |
| 5 | examine_state | varchar | 16 | 是 | 否 | 审核状态 |
| 6 | user_id | int | 是 | 否 | 用户ID | |
| 7 | create_time | datetime | 是 | 否 | 创建时间 | |
| 8 | update_time | timestamp | 是 | 否 | 更新时间 |
商品库存管理系统的详细设计与实现主要是根据前面的商品库存管理系统的需求分析和商品库存管理系统的总体设计来设计页面并实现业务逻辑。主要从商品库存管理系统界面实现、业务逻辑实现这两部分进行介绍。
-
- 登录模块
该模块需要管理员权限进行用户添加,确保只有授权的人员能够访问系统。登录模块如下图所示。

图 5-1登录模块图
-
- 仓管用户功能模块
此模块允许用户添加新商品、删除或查询现有库存,查看商品详情,以及处理商品的出库和入库操作,创建库存报告以监控库存状态。商品库存管理添加模块如下图所示:

图 5-2商品库存管理添加模块图
用户可以在此模块删除或查询出库记录,查看出库详情,确保出库流程的准确性和高效性。出库信息管理模块如下图所示。

图 5-3出库信息管理模块图
用户可以在此模块生成和管理库存报告,删除或查询历史报告,以分析库存趋势和做出相应的库存调整。库存报告管理模块如下图所示。

图 5-4库存报告管理模块图
该模块允许用户查询当前库存状态,包括商品的种类、数量等信息。用户可以查看商品的详细信息。系统还支持添加采购信息功能,以补充库存。商品库存管理采购模块如下图所示。

图 5-5商品库存管理采购模块图
在这个模块中,采购用户可以添加新的供应厂商信息,包括厂商的基本资料、联系方式等。同时,采购用户可以对已有的供应厂商记录进行删除和查询操作,以及查看厂商的详细信息,以便进行更深入的了解和管理。供应厂商管理添加模块如下图所示。

图 5-6供应厂商管理添加模块图
-
- 管理员功能模块
提供直观的仪表板,展示关键数据如出库信息统计和入库信息统计,帮助管理员快速把握库存和物流状态。后台首页模块如下图所示。

图 5-7后台首页模块图
系统用户管理功能允许管理员对系统中的用户进行全面管理。管理员可以添加用户、修改用户信息、设定用户角色以及处理用户账号的停用或删除。这一功能确保了系统用户信息的准确性和安全性,也方便管理员根据实际需要调整用户权限。系统用户管理流程图如下所示。

图 5-8系统用户管理流程图
系统用户模块如下图所示。

图 5-9系统用户模块图
管理员可以设置和调整不同用户角色的权限,确保每个用户只能访问其职责范围内的信息和功能,从而维护系统的安全性和数据的完整性。权限管理模块如下图所示。

图 5-10权限管理模块图
记录所有管理员的操作活动,包括登录、修改、删除等操作,便于追踪和审计,确保系统的透明度和责任追溯。操作日志模块如下图所示。

图 5-11操作日志模块图
在系统开发的流程中,以及数据库的建设只是整个项目的基础构建部分,完成了这些仅仅意味着系统框架的搭建告一段落。然而,一个系统的真正成熟与稳定,关键在于其是否能经受住严格的测试。测试是系统开发流程中不可或缺的一环,它对于确保系统质量至关重要。
一个系统测试的目的就是检验系统在真正的工作环境和条件下是不是能够正常运行,各种功能能不能符合设计的要求,通过测试发现系统当中存在的一些潜在的错误,然后对系统进行改进,使得系统最终以完美的形式展现给用户,提高用户使用过程中的体验度,真正达到项目的实际使用目的。
表6-1 商品库存管理测试用例
| 测试用例编号 | YL_03 | |
| 测试用例名称 | 系统使用者进行商品库存管理出库 | |
| 测试用例描述 | 使用者输入出库信息 | |
| 系统入口 | 浏览器 | |
| 步骤 | 预期结果 | 实际结果 |
| 输入完整的出库内容 | 点击“提交”,并进入系统 | 预期结果 |
| 不输入出库内容 | 提示“请输入完整” | 预期结果 |
在系统中,创建功能也是基础功能之一,因此创建功能的测试很有代表性。在此章节主要列举在创建时各种情况下系统结果的测试。由于系统涉及创建功能操作过多,因此将多处统称创建功能。
创建数据用例如表6-2 所示。
表6-2 创建数据测试用例
| 测试用例编号 | YL_05 | |
| 测试用例名称 | 系统使用者进行创建数据 | |
| 测试用例描述 | 使用者输入要创建的数据 | |
| 系统入口 | 浏览器 | |
| 步骤 | 预期结果 | 实际结果 |
| 输入完整并且格式正确的数据 | 提示“创建成功”,并显示所有数据 | 预期结果 |
| 核心位置数据但非必要位置不输入数据 | 提示“创建成功”,并显示所有数据 | 预期结果 |
| 核心数据位置不输入数据 | 提示“创建失败” | 预期结果 |
-
-
- 修改数据测试
-
在系统中,修改功能是系统主要实现功能,因此修改功能的测试很有代表性。在此章节主要列举在修改时各种情况下系统结果的测试。由于系统涉及修改功能操作过多,因此将多处数据表记录修改和状态修改统称修改功能。
修改数据用例如表6-3所示。
表6-3 修改数据测试用例
| 测试用例编号 | YL_06 | |
| 测试用例名称 | 系统使用者进行修改数据 | |
| 测试用例描述 | 使用者对可修改的数据项进行修改 | |
| 系统入口 | 浏览器 | |
| 步骤 | 预期结果 | 实际结果 |
| 将现有数据修改成正确的数据 | 提示“修改成功”,并显示所有数据 | 预期结果 |
| 将现有数据修改成错误的数据 | 提示“修改失败” | 预期结果 |
-
-
- 查询数据测试
-
在系统中,查询功能是使用系统使用最多也是最基础的功能,因此查询功能的测试很有代表性。在此章节主要列举在查询时各种情况下系统结果的测试。
查询数据用例如表6-4所示。
表6-4 查询数据测试用例
| 测试用例编号 | YL_05 | |
| 测试用例名称 | 系统使用者进行查询数据 | |
| 测试用例描述 | 全部查询以及输入关键词查询 | |
| 系统入口 | 浏览器 | |
| 步骤 | 预期结果 | 实际结果 |
| 界面自动查询全部 | 显示对应所有记录 | 预期结果 |
| 输入已存在且能匹配成功的关键字 | 显示所查询到的数据 | 预期结果 |
| 输入不存在的关键字 | 显示数据界面为空 | 预期结果 |
在本次测试的过程主要针对所有功能下的添加操作,修改操作和删除操作,并以真实数据一一进行相关功能项目的输入,最终能够保证每个项目涉及的功能都能够正常运行,因此能够保证本次设计的,已实现的功能能够正常运行并且相关数据库的信息也同样保证正确。
在系统测试的过程中,我们不仅关注了各个模块的功能实现,还着重测试了系统的稳定性、兼容性和安全性。稳定性测试确保了系统在高并发、大数据量等极端情况下仍能平稳运行;兼容性测试则验证了系统在不同浏览器、操作系统上的表现,确保用户无论使用何种设备都能获得一致且良好的体验;安全性测试则通过模拟各种攻击场景,检验了系统的防御能力,有效防止了数据泄露、恶意攻击等风险。
我们还对用户界面进行了细致的测试,确保每个按钮、链接、输入框都能正常工作,且布局合理、美观易用。对于用户可能遇到的各种异常情况,如网络中断、数据异常等,系统也设计了相应的错误处理机制,能够给予用户明确的提示和引导,大大降低了用户的使用难度和出错率。
综上所述,通过本次系统测试,我们充分验证了系统的各项功能和性能,确保了系统的成熟度和稳定性。未来,我们将继续对系统进行优化和完善,不断提升用户体验和系统价值。
- 金逸.制造业企业库存管理主要问题与解决对策[J].上海企业,2025,(02):136-138.
- 雷丽丽.制造业企业库存管理存在的问题及对策研究[J].商展经济,2025,(03):189-192.
- 王辰,郭天欣,田琦.库存管理的信息化赋能之路[J].招标采购管理,2024,(12):59-61.
- 马珂,卢文平,田波,等.数字化时代供应链智慧物流与库存管理研究[J].中国商论,2024,33(23):89-92.
- 蔡秀缘.制造企业库存管理问题和对策[J].今日财富,2024,(33):125-127.
- 蒲俊霞.基于大数据的电厂物资需求预测与库存管理探析[J].中国科技投资,2024,(31):134-136.
- 卢崇哲.建筑企业中库存管理的特殊性和优化策略分析[J].经济师,2024,(11):292-293+295.
- 钟思颖,李婷婷.制造企业库存管理问题分析及优化研究[J].中国物流与采购,2024,(21):113-114.
- 陈文彪.制鞋企业库存管理优化研究[J].活力,2024,(16):142-144.
- 翁明珠.新能源汽车制造企业库存管理问题和对策研究[J].现代营销(上旬刊),2024,(08):154-156.
- 靳超,师昊煜,贾祥宇,等.基于微服务架构的零售企业门店商品库存管理系统设计[J].数字通信世界,2024,(07):37-39.
- 邵思淇,钟远光,陈植,等.基于需求不确定性的数据驱动库存管理研究综述[J].工业工程,2024,27(03):1-11.
- 许春莲.电子商务环境下L公司进口商品库存管理研究[D].大连海事大学,2020.
- 徐李霞.基于C/S结构的棉花商品库存管理系统设计与开发[D].浙江工业大学,2016.
- 成英姿.商品库存管理信息系统设计与实现技术[J].中国市场,2014,(22):32-33.
- 胡朕.分销网点商品库存信息管理系统的设计与实现[J].信息安全与技术,2013,4(06):58-61.
- 叶红.锦华商城商品库存管理系统的设计与实现[D].电子科技大学,2013.
- Python Sunrise Coffee: Better Beans, and Better Coffee [J]. M2 Presswire, 2025,
- Salunke V S ,Ouda A . A Performance Benchmark for the PostgreSQL and MySQL Databases [J]. Future Internet, 2024, 16 (10): 382-382.
- Shao W ,Liu K . Design and Implementation of Online Ordering System Based on Django [J]. Journal of Big Data and Computing, 2024, 2 (3):
商品库存管理系统设计与实现工作已结束,虽然过程中充满挑战,但内心充满自豪和满足。感谢大学四年间教导我的所有老师,他们的专业知识与人生智慧让我成长为能独立完成系统的学生。特别感谢指导老师,他耐心解答疑惑,引导我解决问题,提升自主解决能力。室友和同学们的宝贵建议和支持也让我取得长足进步。未来,我将继续努力追求卓越,不辜负所学所悟和老师期望。坚信坚定信念和不懈努力,未来定能取得更辉煌成就。期待更美好未来!
此外,商品库存管理系统设计与实现不仅是技术挑战,挫折和困难是成长的垫脚石,让我更深入理解问题,精确找到解决方案。每次解决问题,都感到满足和自豪。
对于未来,我充满期待和信心。无论道路多崎岖,只要保持坚定信念,持续努力,定能取得更大成就。期待将知识和技能运用到实际中,为社会做出更大贡献。
最后,感谢所有帮助和支持我的人。你们的教诲、鼓励和支持让我有今天的成就。我会继续努力,不辜负期望,为实现更美好的未来而奋斗。
登录代码如下:
def Login(self, ctx):
print("===================登录=====================")
ret = {
"error": {
"code": 70000,
"message": "账户不存在",
}
}
body = ctx.body
password = md5hash(body["password"]) or ""
obj = service_select("user").Get_obj(
{"username": body["username"]}, {"like": False}
)
if obj:
user_group = service_select("user_group").Get_obj({'name': obj['user_group']}, {"like": False})
if user_group and user_group['source_table'] != '':
user_obj = service_select(user_group['source_table']).Get_obj({"user_id": obj['user_id']}, {"like": False})
if user_obj['examine_state'] == '未通过':
ret = {
"error": {
"code": 70000,
"message": "账户未通过审核",
}
}
return ret
if user_obj['examine_state'] == '未审核':
ret = {
"error": {
"code": 70000,
"message": "账户未审核",
}
}
return ret
if obj["state"] == 1:
if obj["password"] == password:
timeout = timezone.now()
timestamp = int(time.mktime(timeout.timetuple())) * 1000
token = md5hash(str(obj["user_id"]) + "_" + str(timestamp))
ctx.request.session[token] = obj["user_id"]
service_select("access_token").Add(
{"token": token, "user_id": obj["user_id"]}
)
obj["token"] = token
ret = {
"result": {"obj": obj}
}
else:
ret = {
"error": {
"code": 70000,
"message": "密码错误",
}
}
else:
ret = {
"error": {
"code": 70000,
"message": "用户账户不可用,请联系管理员",
}
}
return ctx.response(json.dumps(ret, ensure_ascii=False))
注册代码如下:
def Register(self, ctx):
print("===================注册=====================")
userService = service_select("user")
body = ctx.body
if "username" not in body and body["username"] == '':
return ctx.response(json.dumps({
"error": {
"code": 70000,
"message": "用户名不能为空",
}
}, ensure_ascii=False))
if "user_group" not in body and body["user_group"] == '':
return ctx.response(json.dumps({
"error": {
"code": 70000,
"message": "用户组不能为空",
}
}, ensure_ascii=False))
if "password" not in body and body["password"] == '':
return ctx.response(json.dumps({
"error": {
"code": 70000,
"message": "密码不能为空",
}
}, ensure_ascii=False))
post_param = body
post_param['nickname'] = body["nickname"] or ""
post_param['password'] = md5hash(body["password"])
obj = userService.Get_obj({"username": post_param['username']}, {"like": False})
if obj:
return ctx.response(json.dumps({
"error": {
"code": 70000,
"message": "用户名已存在",
}
}, ensure_ascii=False))
ret = {
"error": {
"code": 70000,
"message": "注册失败",
}
}
bl = userService.Add(post_param)
if bl:
ret = {
"result": {
"bl": True,
"message": "注册成功"
}
}
return ctx.response(json.dumps(ret, ensure_ascii=False))
找回密码代码如下:
def Forget_password(self, ctx):
print("===================修改密码=====================")
ret = {
"error": {
"code": 70000,
"message": "用户信息不能没有"
}
}
body = ctx.body
if not body["code"]:
return {
"error": {
"code": 70000,
"message": "验证码不存在或者错误"
}
}
obj = service_select("user").Get_obj(
{"username": body["username"]}, {"like": False}
)
if not obj:
return {
"error": {
"code": 70000,
"message": "用户名不存在或者错误"
}
}
password = md5hash(body["password"])
if not password:
return {
"error": {
"code": 70000,
"message": "密码不存在或者错误"
}
}
bl = service_select("user").Set({"user_id": obj["user_id"]}, {"password": password})
if bl:
ret = {"result": {"bl": True, "message": "修改成功"}}
else:
ret = {
"error": {
"code": 70000,
"message": "修改失败",
}
}
return ctx.response(json.dumps(ret, ensure_ascii=False))
修改密码代码如下:
def Change_password(self, ctx):
print("===================修改密码=====================")
ret = {
"error": {
"code": 70000,
"message": "账号未登录",
}
}
request = ctx.request
headers = request.headers
if ("x-auth-token" in headers) and headers["x-auth-token"]:
token = headers["x-auth-token"]
user_id = tokenGetUserId(token, request)
userService = service_select("user")
body = ctx.body
password = md5hash(body["o_password"])
obj = userService.Get_obj({"user_id": user_id, "password": password}, {"like": False})
if obj:
password = md5hash(body["password"])
bl = userService.Set({"user_id": user_id}, {"password": password})
if bl:
ret = {"result": {"bl": True, "message": "修改成功"}}
else:
ret = {
"error": {
"code": 70000,
"message": "修改失败",
}
}
else:
ret = {
"error": {
"code": 70000,
"message": "密码错误",
}
}
else:
ret = {
"error": {
"code": 70000,
"message": "账户未登录",
}
}
return ctx.response(json.dumps(ret, ensure_ascii=False))
增删查改代码如下:
增
def Add(self, ctx):
body = ctx.body
unique = self.config.get("unique")
obj = None
if unique:
qy = {}
for i in range(len(unique)):
key = unique[i]
qy[key] = body.get(key)
obj = self.service.Get_obj(qy)
if not obj:
error = self.Add_before(ctx)
if error["code"]:
return {"error": error}
error = self.Events("add_before", ctx, None)
if error["code"]:
return {"error": error}
result = self.service.Add(body, self.config)
if self.service.error:
return {"error": self.service.error}
res = self.Add_after(ctx, result)
if res:
result = res
res = self.Events("add_after", ctx, result)
if res:
result = res
return {"result": result}
else:
return {"error": {"code": 10000, "message": "已存在"}}
删
def Del(self, ctx):
if len(ctx.query) == 0:
errorMsg = {"code": 30000, "message": "删除条件不能为空!"}
return errorMsg
result = self.service.Del(ctx.query, self.config)
if self.service.error:
return {"error": self.service.error}
return {"result": result}
改
def Set(self, ctx):
error = self.Set_before(ctx)
if error["code"]:
return {"error": error}
error = self.Events("set_before", ctx, None)
if error["code"]:
return {"error": error}
query = ctx.query
if 'page' in query.keys():
del ctx.query['page']
if 'size' in query.keys():
del ctx.query['size']
if 'orderby' in query.keys():
del ctx.query['orderby']
result = self.service.Set(ctx.query, ctx.body, self.config)
if self.service.error:
return {"error": self.service.error}
res = self.Set_after(ctx, result)
if res:
result = res
res = self.Events("set_after", ctx, result)
if res:
result = res
return {"result": result}
查多条数据:
def Get_list(self, ctx):
query = dict(ctx.query)
config_plus = {}
if "field" in query:
field = query.pop("field")
config_plus["field"] = field
if "page" in query:
config_plus["page"] = query.pop("page")
if "size" in query:
config_plus["size"] = query.pop("size")
if "orderby" in query:
config_plus["orderby"] = query.pop("orderby")
if "like" in query:
config_plus["like"] = query.pop("like")
if "groupby" in query:
config_plus["groupby"] = query.pop("groupby")
count = self.service.Count(query)
lst = []
if self.service.error:
return {"error": self.service.error}
elif count:
lst = self.service.Get_list(query,
obj_update(self.config, config_plus))
if self.service.error:
return {"error": self.service.error}
self.interact_list(ctx, lst)
return {"result": {"list": lst, "count": count}}
查一条数据:
def Get_obj(self, ctx):
query = dict(ctx.query)
config_plus = {}
if "field" in query:
field = query.pop("field")
config_plus["field"] = field
obj = self.service.Get_obj(query, obj_update(self.config, config_plus))
if self.service.error:
return {"error": self.service.error}
if obj:
self.interact_obj(ctx, obj)
return {"result": {"obj": obj}}
免费领取项目源码,请关注❥点赞收藏并私信博主,谢谢~
1116

被折叠的 条评论
为什么被折叠?



