简介
在自然界中存在众多的由相同结构单元组成的物体,这类结构物体的衍射表现出许多独特的衍射特点,其中有序排列的相同结构单元物体的衍射是最为重要的一类。这种有序结构物体对入射光的振幅或相位,或二者同时产生一个周期性的空间调制,称之为衍射光栅。相同结构单元物体或光栅的夫琅禾费衍射,应用相同结构单元衍射的位移-相移定理,使得讨论方便简单。
位移-相移定理
在夫琅禾费衍射系统中,当衍射单元位移时,其衍射场与原单元衍射场只产生一相位因子相差,反之,衍射单元附加倾斜相移,其衍射场与原单元衍射场只产生位移,此即夫琅禾费衍射的位移-相移定理。由于夫琅禾费衍射实际上是一个傅里叶变换,位移-相移定理本质是傅里叶变换的位移定理。

在衍射场应用中的OAS模拟
A 倾斜相位光束远场衍射光斑产生位置改变
为了方便显示,将两平行光源中的一束光附加上倾斜相位,根据位移相移定理,该束光的远场衍射光斑产生相应的位移。模拟这一物理过程的模型如图3(a)所示,模型包括平行光,倾斜,合束器,透镜,以及显示,其中一平行光通过倾斜附加上倾斜相位。附加上倾斜相位的光束相对水平光束在远场衍射光斑产生了位移,如图3(b)所示。

B 光束位置改变使光束远场衍射光斑产生倾斜相位
当光束位置改变时,光束远场衍射光斑产生倾斜相位,通过两束光远场的叠加,显示相对相位的变化。
计算模型如图4(a)所示,模型包括激光,激光合束器,透镜,以及显示,其中一激光相对另一束存在位移,该束光的远场衍射光场相应另一束激光产生了一倾斜相位。这两束激光的远场衍射场,相干叠加时,产生等间距的干涉条纹,如图(b)所示。

多相同结构单元衍射模拟
以5路相干光束的远场衍射为算例,模拟多光束衍射场的相干叠加。模拟这一物理过程的模型如图5(a)所示,模型包括7路激光束,激光合束器,透镜,以及显示。模拟中假设5路激光是相干的,它们产生的远场衍射光斑分布如图5(b)所示。

光栅衍射与光谱仪


五个一维周期圆孔单元衍射强度模拟
五个圆孔周期排列和OAS计算模型如图7(a)所示。计算模型包括5路激光束,激光合束器,透镜,以及显示。模拟中假设5路平行光束是相干的,它们产生的远场衍射光斑分布如图7(b)所示,为比较单孔的衍射如图(c)。从图(b)可以看到,每一级衍射主极大受单元衍射因子调制,在相邻主主极大之间,有4个零值(满足N-1的规律)。


2.一维光栅衍射场
一维光栅结构与解析分析
对入射光的振幅或相位,或二者只在空间某一方向产生一个周期性的调制,构成一维衍射光栅。其中最简单、最早被制成的是一维狭缝光栅,一维光栅的狭缝平行于x方向,N个狭缝沿y方向周期性排列,如图8(a)所示,其狭缝宽度(透光部分)为a,挡光部分的宽度为b,光栅的空间周期为d=a+b。描述光栅特征的参数还有:单元(狭缝)密度1/d;光栅有效宽度D;单元总数N=D/d。光栅衍射通过图8(b)所示的方法观测,一维光栅衍射场的分析方法与N个周期排列单元衍射场相同。

一维光栅衍射强度分布的主要特征
一维光栅的主衍射级光栅方程/两个主衍射峰之间零点数即暗条纹/,以及两个主衍射峰之间的次级亮条纹数,与一维周期单元衍射相同。
衍射主峰角宽度只与波长和光栅有效宽度有关,与光栅细节如光栅常数d等参数无关。
强度单元因子具有调制作用,在某些情况下可能出现某些主峰消失,即缺级,当光栅衍射第m个主峰位置恰好位于单缝第m’个零点位置时,有
![]()
第m级主衍射峰消失。
3.光栅光谱仪
由公式:
![]()
若入射光含有不同波长光,则它们的同级衍射主峰值在不同的方位角形θₘ成衍射强线排列,即光谱。人们利用光栅这一分光特性制成多种光栅光谱仪,图9给出光栅光谱仪的原理图。光通过狭缝S1,经透镜形成平行光,入射到光栅上,再通过透镜将衍射光束聚焦在焦平面上,记录光谱有两种方法,可以采用摄谱方法同时记录入射到焦平面上的全部光谱;或在焦平面采用狭缝S2,通过转动光栅,使不同波长的衍射主极强依次通过狭缝进行记录。光栅光谱仪的基本性能,一般通过色散本领、色分辨本领和色散范围描述。

(1)光栅的色散本领
角色散本领是在某一波长附近,单位波长差在m主衍射级产生的衍射角间隔。角色散本领与衍射级成正比,与光栅常数成反比。
在光谱测量中,若用焦距为f透镜进行观测光谱,不同波长的光谱在观测面上分开的线度为fδfθ人们用线色散本领Dl描述光谱的线分开程度。在某波长附近,单位波长差在观测面上光谱的线分开距离。光栅的线分辨本领为

表明观测透镜的焦距越长,线色散越大。
(2)光栅的色分辨本领
每一波长的主衍射峰都有一定的角宽度,因此只有当两个相邻波长的光通过光栅后衍射角间隔达到一定值时,才可能被分辨,即为光栅光谱仪的色分辨本领。如图10所示,按瑞利判据,当相邻两谱线的分开的角宽度,刚好与谱线的半角宽度Δθm相等时,刚好能分辨出这两谱线。在波长λ光谱附近,第m级衍射能分辨的最小波长差。光栅的色分辨本领与衍射级和光栅的单元总数N有关,N越大色分辨本领越大,能分辨的波长差越小。

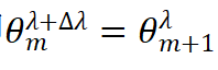
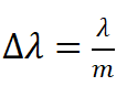
(3)光栅的色散范围
光栅的色散范围是描述不同衍射级光谱间的交叠。设入射光波长范围为λ至λ + Δλ如图11所示,从某一衍射级以后,可能出现较大波长的第m+1衍射级与较小波长的第m衍射级的谱线发生交叠。当最大波长λ + Δλ的第m级谱线与最小波长λ的m+1级,刚好重叠时,即

这时的波长差Δλ为该光栅的最大色散范围。应用光栅公式,可得光栅色散范围

因此光栅色散范围只与波长和衍射级有关。

光栅多波长衍射的OAS模拟仿真,图12(a)为结构图,模型中采用一维光栅,模拟三个波长分别为473、532和635nm,衍射光斑分布如图(b)所示。


结论
在本篇文章中,讲解了位移-相移定理、一维N个周期单元衍射强度分布特征、一维光栅结构与分析解析、一维光栅衍射强度分布的主要特征以及光栅光谱仪,并在OAS中进行了相关的模拟仿真。
304

被折叠的 条评论
为什么被折叠?



