光电容积脉搏波技术(PPG)作为一种经济实惠且非侵入性的光学检测手段,能够在皮肤表层实现生理参数的测量。这项技术最为人熟知的应用场景,就是被嵌入到市面上常见的智能手表和健身手环中的心率监测模块,使得用户在日常活动中能够便捷地获得持续性的脉搏数据。本研究展示了在OAS平台上构建人体皮肤模型的具体方法。
简介
PPG装置的核心组件包括发光二极管(LED)和光电传感器,这些元件能够在红外线或可见光波段工作。该技术利用光学原理监测组织中血液容量的波动,这是由于血液对光线的吸收和散射能力远超周围组织。当血液随心跳脉动时,会引起传感器接收到的光信号产生规律性的相位波动。
PPG 技术的基础构成与原理
PPG传感器能够以反射或透射两种方式工作。不同波长的光具有不同的穿透能力,其中绿色和黄色LED光因其较浅的穿透特性,主要用于监测表层血流,通常采用反射式设计。而对于深层组织的血流监测,红外和近红外波长则更为适用,因此这类传感器多采用透射模式。

生物组织通常表现出显著的光散射特性,这使得它们被归类为散射介质或混浊介质。借助光学模拟软件构建的散射模型,能够有效模拟人体皮肤组织。这一模拟技术在无创诊断设备和皮肤病学设计中发挥着重要作用,成为一种高效的辅助手段。OAS(光学分析软件)内置了Henyey-Greenstein体散射模型,该模型在生物医学领域被公认为人体组织光散射的典型代表。用户可以通过OAS中的材料定义功能来配置体散射模型。完成材料定义后,即可将其应用于模型中的实体,从而实现对光散射特性的精准仿真。
PPG 传感器的模式设计与人体皮肤模拟
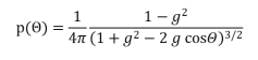
Henyey-Greenstein分布函数可以准确描述混浊介质(例如生物组织)中小颗粒的光线散射。Henyey-Greenstein模型只有一个自由参数,即各向异性因子g。该参数的域区间为[-1,1],其中g=-1对应反向散射,g=0表示各向同性散射,g=1表示正向散射。散射光的角度分布定义为:

Henyey-Greenstein 模型在人体组织散射中的应用
步骤一:
利用多个矩形体模拟人体皮肤,创建简单材料并设置材料,设置波长和折射率模拟光线进入皮肤不同皮层的光线情况。
分别创建表皮、真皮、真皮与神经层和神经层四种简单材料,波长均为0.5875618微米,在表皮中,设置折射率为1.5,其余三种材料的折射率为1.4。





步骤二:
点击光学特性—体散射,创建henyey-greenstein体散射材料,选择步骤一中所创建的相对应的材料,波长均设为0.6328微米。
创建表皮1,散射10.7,吸收0.43,各向异性0.79。

创建真皮1,散射18.7,吸收0.27,各向异性0.82。

创建真皮与神经层1,散射19.2,吸收0.33,各向异性0.82。

创建神经层1,散射19.4,吸收0.34,各向异性0.82。

步骤三:
创建几何体模拟皮肤组织,禁用重点采样、将模型材料改为对应的体散射材料。创建一个分析平面。
步骤四:
设置朗伯光源模拟红光进入皮肤膜层,在分析平面上设置一个探测器。
模型的3D视图如下:

追迹结果
进行追迹,其追迹结果如下:



通过结果可以看出这是一个正确的皮肤体散射建模。
(本文含有部分AI生成内容,请知悉)
6590

被折叠的 条评论
为什么被折叠?



