- 原理:给定一个样本集,样本集中不同标签的的集和拥有者相同的一些特征,通过对新的没有标签的数据的特征值与训练集中的不同标签的集合的特征值求距离,从而选中最近的那个。
暨赋予他同样的标签。 - 举个例子
比如现在有一个电影 我们需要判断他是喜剧片还是爱情片,我们就需要根据它的特征值进行比对,比如通过判断他们当中枪战的次数和大笑的两个特征值,对新有的电影对比原有训练集比对距离从而得到。

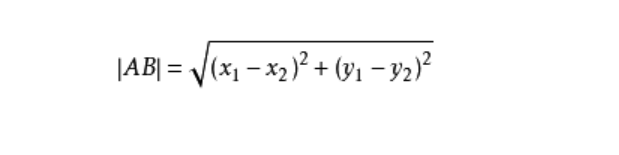
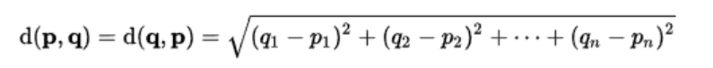
有多个特征值就用欧氏距离公式

扩展开来 字体识别的图片转化为数字也可以通过的比对这方面来判断。
机器学习-k-近邻算法
最新推荐文章于 2024-11-29 19:10:24 发布
本文深入探讨了K近邻算法的原理,通过实例说明如何利用该算法进行分类,如电影类型预测。阐述了如何通过计算待分类数据与已知类别数据集的距离,找到最接近的类别,特别提到了在多特征情况下使用欧氏距离公式。
1万+

被折叠的 条评论
为什么被折叠?



