在解决图的连通性、强连通分量、最近公共祖先等问题时,我们可以采用tarjan算法解决,且该算法效率也较高。
算法思路
该算法基于DFS,在算法过程中每个强连通分量为搜索树的一棵子树,搜索时把当前搜索树中未处理的节点加入一个栈,回溯时判断栈顶到栈中节点是否为强连通分量。
因此在DFS时每个点都需要记录两个数组:
DFN[u]:代表u点DFS到的时间,即时间戳(即是第几个被搜索到的),DFS树的子树中,DFN[u]越小,则其越浅。
Low[u]:代表DFS树中,u或u的子树能够追溯到的最早的栈中节点的时间戳。
算法过程
数组的初始化:对图采用深度优先搜索,在搜索过程中记录搜索的顺序,当首次搜索到点u时,DFN和Low数组的值都为到该点的时间。
堆栈:采用栈(记录已经搜索过的但是未删除的点),每搜索到一个点,将它压入栈顶。如果这个点有出度就继续往下找,直到底。
每次返回时都将子节点与该节点的Low值进行比较,谁小就去谁,保证最小的子树根。
当点u与点u'相连时,如果此时(时间为DFN[u]) u'不在栈中,u的Low值为两点Low值中较小的一个。
当点u与点u'相连时,如果此时u'在栈中,u的Low值为u的Low值和u’的DFN值中较小的一个。
每当搜索到一个点经过以上操作后(也就是子树已经全部遍历)的 Low值等于DFN值( DFN[u] == Low[u]),则将它以及在它之上的元素弹出栈。这些出栈的元素组成一个强连通分量。
原因:u点在DFS树中,子节点(后代)不能找到更浅的点,那么 u点及其后代构成一个SCC(强连通分量)。且 u点 是这个强连通分量的根节点(因为这个Low[] 值是这个强连通分量里最小的。)
继续搜索(或许会更换搜索的起点,因为整个有向图可能分为两个不连通的部分),直到所有点被遍历。
算法举例
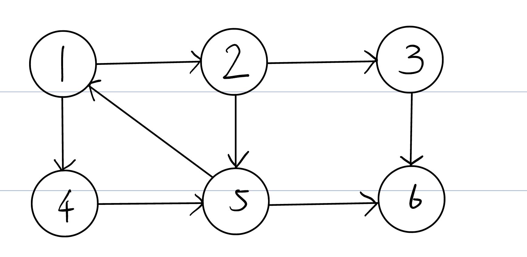
我们由这个有向图进行举例(大部分教程都用的图)

首先DFS进行第一次遍历,生成栈序列:1,2,3,6。

由于6号结点的DFN=LOW,因此6号结点弹出,3号结点同理。
回到2号结点的递归,将5号结点也放入栈中,因为5号结点存在一条指向1号结点的边,5号结点的LOW改为1,2号结点在随后操作中LOW也改为1。
之后回到1号结点的递归,将4号结点放入栈中,4与5相连,4号结点的LOW改为5,因为4号结点的DFN != LOW,因此4号结点不需要被弹出栈。
在1号结点递归的最后,由于1号结点的DFN和LOW都为1,因此将1号结点栈前的所有元素弹出栈,即剩下的所有元素,1,2,5,4。至此tarjan算法结束。

完整代码
static int num = 0;
stack<int> S;
void tarjan(int x) {
num++;
DFN[x] = Low[x] = num;
inS[x] = 1; //表示x节点目前在栈中
S.push(x);
for(auto [x, v] : E) { //枚举每一条与x相连的有向边
if(!DFN[v]) {
tarjan(v);
Low[x] = min(Low[x], Low[v]);
}
else if(inS[s]) {
Low[x] = min(Low[x], DFN[v]);
}
}
if(Low[x] == DFN[x]) {
int y;
do {
y = S.top();
inS[y] = 0;
S.pop();
}while(y != x);
}
return;
}第一次尝试写博客!!有意见麻烦多多指出!!
Tarjan算法是一种用于解决图的连通性问题的高效方法,尤其在找出强连通分量时。算法基于深度优先搜索,使用DFN和Low数组记录时间戳,并通过栈来处理未处理节点。当DFN值等于Low值时,表明找到了一个强连通分量。文章通过实例详细解释了算法过程并提供了伪代码。
6736

被折叠的 条评论
为什么被折叠?



