问:我们将建立一个逻辑回归模型来预测一个学生是否被大学录取。假设你是一个大学系的管理员,你想根据两次考试的结果来决定每个申请人的录取机会。你有以前的申请人的历史数据,你可以用它作为逻辑回归的训练集。对于每一个培训例子,你有两个考试的申请人的分数和录取决定。为了做到这一点,我们将建立一个分类模型,根据考试成绩估计入学概率。
import numpy as np
import pandas as pd
import matplotlib.pyplot as plt
%matplotlib inline
#导入数据
import os
os.chdir('C:/Users/Liu/Desktop')
path = 'LogiReg_data.txt' #我是把数据放到了桌面上
pdData = pd.read_csv(path, header=None, names=['Exam 1', 'Exam 2', 'Admitted'])
做题之前先进行数据可视化分析,先画个图看一下
positive = pdData[pdData['Admitted'] == 1] # returns the subset of rows such Admitted = 1, i.e. the set of *positive* examples
negative = pdData[pdData['Admitted'] == 0] # returns the subset of rows such Admitted = 0, i.e. the set of *negative* examples
fig, ax = plt.subplots(figsize=(10,5))
ax.scatter(positive['Exam 1'], positive['Exam 2'], s=30, c='b', marker='o', label='Admitted')
ax.scatter(negative['Exam 1'], negative['Exam 2'], s=30, c='r', marker='x', label='Not Admitted')
ax.legend()
ax.set_xlabel('Exam 1 Score')
ax.set_ylabel('Exam 2 Score')
输出结果:

目标:建立分类器
(求解出三个参数 θ0\theta0θ0 、 θ1\theta1θ1 、 θ2\theta2θ2,
分别表示为偏置项,第一个考试成绩,第二个考试成绩)
设定阈值,根据阈值判断录取结果
# 要完成的模块
sigmoid : 映射到概率的函数
•model : 返回预测结果值
•cost : 根据参数计算损失,对数似然函数的负值的平均值,用于评测算法,越小越好
•gradient : 计算每个参数的梯度方向
•descent : 进行参数更新
•accuracy: 计算精度'''
将数值运算转换成矩阵运算,需要添加一列x0,值全部为1,与 θ0\theta0θ0 进行矩阵组合运算

pdData.insert(0,'Ones',1)
#如果多次执行这项操作可能报错:
# 显示已经存在,说明你已经插入过了,如果想要多次插入,可执行pdData.insert(0,'Ones',1,allow_duplicates = True)
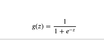
def sigmoid(z):
return 1 / (1 + np.exp(-z))
def model(X, theta): # 对应的是sigmoid函数里面的预测函数
return sigmoid(np.dot(X,theta.T))
#获取特征矩阵和标签矩阵
orig_data = pdData.as_matrix() # convert the Pandas representation of the data to an array useful for further computations
cols = orig_data.shape[1]
X = orig_data[:,0:cols-1]
y = orig_data[:,cols-1:cols]
theta = np.zeros([1, 3]) # 先占位,1行三列
def cost(X, y, theta): #定义损失函数(似然函数部分)
left = np.multiply(-y, np.log(model(X, theta)))
right = np.multiply(1 - y, np.log(1 - model(X, theta)))
return np.sum(left - right) / (len(X))
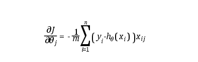
def gradient(X, y, theta): #计算梯度(求偏导部分)
grad = np.zeros(theta.shape)
error = (model(X, theta)- y).ravel()
for j in range(len(theta.ravel())): #for each parmeter
term = np.multiply(error, X[:,j])
grad[0, j] = np.sum(term) / len(X)
return grad
比较三种梯度下降的方法
STOP_ITER = 0 # 指定迭代次数
STOP_COST = 1 # 迭代前后目标函数的差异
STOP_GRAD = 2 # 根据梯度差异
def stopCriterion(type, value, threshold):
#设定三种不同的停止策略
if type == STOP_ITER: return value > threshold
elif type == STOP_COST: return abs(value[-1]-value[-2]) < threshold
elif type == STOP_GRAD: return np.linalg.norm(value) < threshold
import numpy.random
#洗牌
def shuffleData(data):
np.random.shuffle(data)
cols = data.shape[1]
X = data[:, 0:cols-1]
y = data[:, cols-1:]
return X, y
#比较不同下降策略所消耗的时间
import time
def descent(data, theta, batchSize, stopType, thresh, alpha):
#梯度下降求解
# batchSize:1:随机梯度下降
# 1-总的样本数:minibatch梯度下降
# 总的样本数:梯度下降
# stopType:停止策略
# thresh:策略对应的阈值
# alpha:学习率
init_time = time.time()
i = 0 # 迭代次数
k = 0 # batch
X, y = shuffleData(data)
grad = np.zeros(theta.shape) # 计算的梯度
costs = [cost(X, y, theta)] # 损失值
while True:
grad = gradient(X[k:k+batchSize], y[k:k+batchSize], theta)
k += batchSize #取batch数量个数据
if k >= n:
k = 0
X, y = shuffleData(data) #重新洗牌
theta = theta - alpha*grad # 参数更新
costs.append(cost(X, y, theta)) # 计算新的损失
i += 1
if stopType == STOP_ITER: value = i
elif stopType == STOP_COST: value = costs
elif stopType == STOP_GRAD: value = grad
if stopCriterion(stopType, value, thresh): break
return theta, i-1, costs, grad, time.time() - init_time
def runExpe(data, theta, batchSize, stopType, thresh, alpha):
#import pdb; pdb.set_trace();
theta, iter, costs, grad, dur = descent(data, theta, batchSize, stopType, thresh, alpha)
name = "Original" if (data[:,1]>2).sum() > 1 else "Scaled"
name += " data - learning rate: {} - ".format(alpha)
if batchSize==n: strDescType = "Gradient"
elif batchSize==1: strDescType = "Stochastic"
else: strDescType = "Mini-batch ({})".format(batchSize)
name += strDescType + " descent - Stop: "
if stopType == STOP_ITER: strStop = "{} iterations".format(thresh)
elif stopType == STOP_COST: strStop = "costs change < {}".format(thresh)
else: strStop = "gradient norm < {}".format(thresh)
name += strStop
# 画图与展示
print ("***{}\nTheta: {} - Iter: {} - Last cost: {:03.2f} - Duration: {:03.2f}s".format(
name, theta, iter, costs[-1], dur))
fig, ax = plt.subplots(figsize=(12,4))
ax.plot(np.arange(len(costs)), costs, 'r')
ax.set_xlabel('Iterations')
ax.set_ylabel('Cost')
ax.set_title(name.upper() + ' - Error vs. Iteration')
return theta
#选择的梯度下降方法是基于所有样本的
n=100
runExpe(orig_data, theta, n, STOP_ITER, thresh=5000, alpha=0.000001) # 迭代5000次
# 根据损失值停止。设定阈值 1E-6, 差不多需要110 000次迭代
runExpe(orig_data, theta, n, STOP_COST, thresh=0.000001, alpha=0.001) # 差异值为0.000001
# 根据梯度变化停止 设定阈值 0.05,差不多需要40 000次迭代
runExpe(orig_data, theta, n, STOP_GRAD, thresh=0.05, alpha=0.001) # 梯度值小于0.05
# 对比不同的梯度下降方法
runExpe(orig_data, theta, 1, STOP_ITER, thresh=5000, alpha=0.001) # 1表示当前只迭代这一个样本
runExpe(orig_data, theta, 1, STOP_ITER, thresh=15000, alpha=0.000002)
runExpe(orig_data, theta, 16, STOP_ITER, thresh=15000, alpha=0.001)
# 以上的浮动仍然比较大,我们来尝试下对数据进行标准化
# 将数据按其属性(按列进行)减去其均值,然后除以其方差。最后得到的结果是,对每个属性/每列来说所有数据都聚集在0附近,方差值为1
from sklearn import preprocessing as pp
scaled_data = orig_data.copy()
scaled_data[:, 1:3] = pp.scale(orig_data[:, 1:3])
runExpe(scaled_data, theta, n, STOP_ITER, thresh=5000, alpha=0.001)
runExpe(scaled_data, theta, n, STOP_GRAD, thresh=0.02, alpha=0.001)
theta = runExpe(scaled_data, theta, 1, STOP_GRAD, thresh=0.002/5, alpha=0.001)
# 随机梯度下降更快,但是我们需要迭代的次数也需要更多,所以还是用batch的比较合适!!!
runExpe(scaled_data, theta, 16, STOP_GRAD, thresh=0.002*2, alpha=0.001)
精度
#设定阈值
def predict(X, theta):
return [1 if x >= 0.5 else 0 for x in model(X, theta)]
scaled_X = scaled_data[:, :3]
y = scaled_data[:, 3]
predictions = predict(scaled_X, theta)
correct = [1 if ((a == 1 and b == 1) or (a == 0 and b == 0)) else 0 for (a, b) in zip(predictions, y)]
accuracy = (sum(map(int, correct)) % len(correct))
print ('accuracy = {0}%'.format(accuracy))
损失函数:
将对数似然函数去负号:

求平均损失:

计算梯度


sigmoid 函数

以上为代码笔记,稍微整理了一下
2195

被折叠的 条评论
为什么被折叠?



