
学习Alevel高数的同学们一定有对vector感到头疼的经历,不仅公式繁多,而且有些公式还想不明白为什么是这样,虽然考试并不考公式证明,但不明白的东西就记不住或者用起来不踏实,学校和课本上又讲得不是很清楚,所以现在老师就把vector的一些公式证明一下。这些公式包括:
两个向量的向量积(俗称的叉乘)性质
两个向量夹角的sin
点到直线的距离
点到平面的距离
用向量表示的三角形面积
用向量表示的四面体体积
异面直线的最短距离
限于篇幅,这篇文章只证明1-4,剩余的5-7下次再写,请童鞋们关注正领睿学公众号以免错过哟
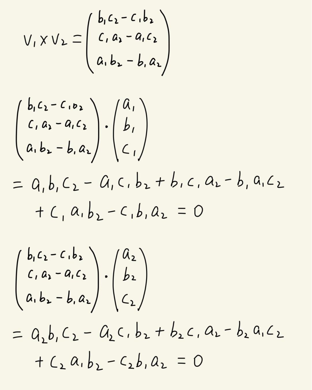
设两个向量是:

1.两个向量的向量积与这两个向量都垂直
要证明这个结论,只需要验证向量积与这两个向量点乘都等于0就行了。

2.两个向量夹角的sin是

本文针对A-level高数中的向量部分,详细证明了两个向量的向量积性质、夹角的正弦公式、点到直线及平面的距离公式。通过几何和代数方法,帮助学生理解并记忆这些关键概念。
最低0.47元/天 解锁文章
965

被折叠的 条评论
为什么被折叠?



