自从计算机进入控制领域以来,用数字计算机代替模拟计算机调节器组成计算机控制系统,不仅可以用软件实现PID控制算法,而且可以利用计算机的逻辑功能,使PID控制更加灵活。数字PID控制在生产过程中是一种最普遍采用的控制方法,在机电、冶金、机械、化工等行业中获得了广泛的应用。将偏差的比例(P)、积分(I)和微分(D)通过线性组合构成控制量,对被控对象进行控制,故称PID控制器。
1.1 PID控制原理
在模拟控制系统中,控制器最常用的控制规律是PID控制。模拟PID控制系统原理框图如下。系统由模拟PID控制器和被控对象组成。

PID控制器是一种线性控制器,它根据给定值yd(t)与实际输出值y(t)构成控制篇差:
error(t) = yd(t) – y(t) (1.1)
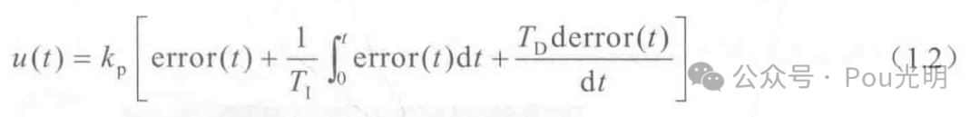
PID控制规律为:

或写成传递函数的形式:
式中,kp为比例系数;T1为积分时间常数;TD为微分时间常数。
简单来说,PID控制器各校正环节的作用如下:
(1)比例环节:成比例地反映控制系统的偏差信号error(t),偏差一旦产生,控制器立即产生控制作用,以减小偏差。
(2)积分环节:主要用于消除静差,提高系统的无差度。积分作用的强弱取决于积分时间常数T1,T1越大,积分作用越弱,反之则越强。
(3)微分环节:反映偏差信号的变化趋势(变化速率),并能在偏差信号变得太大之前,在系统中引入一个有效的早期修正信号,从而加快系统的动作速度,减少调节时间。
1.2 Matlab对阶跃信号的仿真
代码:
%设一被控对象G(s)=50/(0.125s^2+7s)<em id="__mceDel">%用增量式PID控制算法编写仿真程序
%输入分别为单位阶跃、正弦信号,采样时间为1ms
clear;
close all;
ts=0.001; %采样时间
sys=tf(50,[0.125,7,0]); %tf是传递函数 即被控对象函数G();
dsys=c2d(sys,ts,'z'); %把控制函数离散化
[num,den]=tfdata(dsys,'v');% 离散化后提取分子、分母
u_1=0;
u_2=0;
y_1=0;
y_2=0;
error_1=0;
error_2=0;
P=0;I=0;D=0;
n=1000;
time=zeros(1,n);
rin=zeros(1,n);
yout=zeros(1,n);
for k=1:n
time(k)=k*ts; %采样时间
S=1;
if S==1
kp=10;ki=100;kd=0.1; %初始化PID
rin(k)=1*(time(k)>0.1); %Step Signal
elseif S==2
kp=10;ki=100;kd=0.1;
rin(k)=0.5*sin(2*pi*k*ts); %Sine Signal即实际输入
end
du=kp*P+kd*I+ki*D; %PID Controller控制系数
u=u_1+du; %Restricting the output of controller
yout(k)=-den(2)*y_1-den(3)*y_2+num(2)*u_1+num(3)*u_2; %实际输出
error=rin(k)-yout(k); %Return of parameters 误差
u_2=u_1; %保存上上次输入
u_1=u; %保存上一次控制系数
y_2=y_1; %保存上上次输出
y_1=yout(k); %保存上一次输出
P=error-error_1; %Calculating P
D=error-2*error_1+error_2; %Calculating D
I=error; %Calculating I
error_2=error_1; %保存上上次误差
error_1=error; %保存上一次误差
end
figure;
plot(time,rin,'b',time,yout,'r'); %输入和实际控制输出
xlabel('time(s)'),ylabel('rin,yout');效果:

上面代码没研究,有兴趣的小伙伴可以研究修改测下。
Simulink PID仿真:

效果:

《先进PID控制MATLAB仿真》
https://www.cnblogs.com/dingdangsunny/p/17967886
https://blog.youkuaiyun.com/STM89C56/article/details/105666186
欢迎关注:

有需要交流的小伙伴可留言讨论。
5405

被折叠的 条评论
为什么被折叠?



