DAY9 热力图与子图绘制
最新推荐文章于 2025-12-19 16:26:43 发布
部署运行你感兴趣的模型镜像
您可能感兴趣的与本文相关的镜像
Python3.8
Conda
Python
Python 是一种高级、解释型、通用的编程语言,以其简洁易读的语法而闻名,适用于广泛的应用,包括Web开发、数据分析、人工智能和自动化脚本
连续变量单特征分布
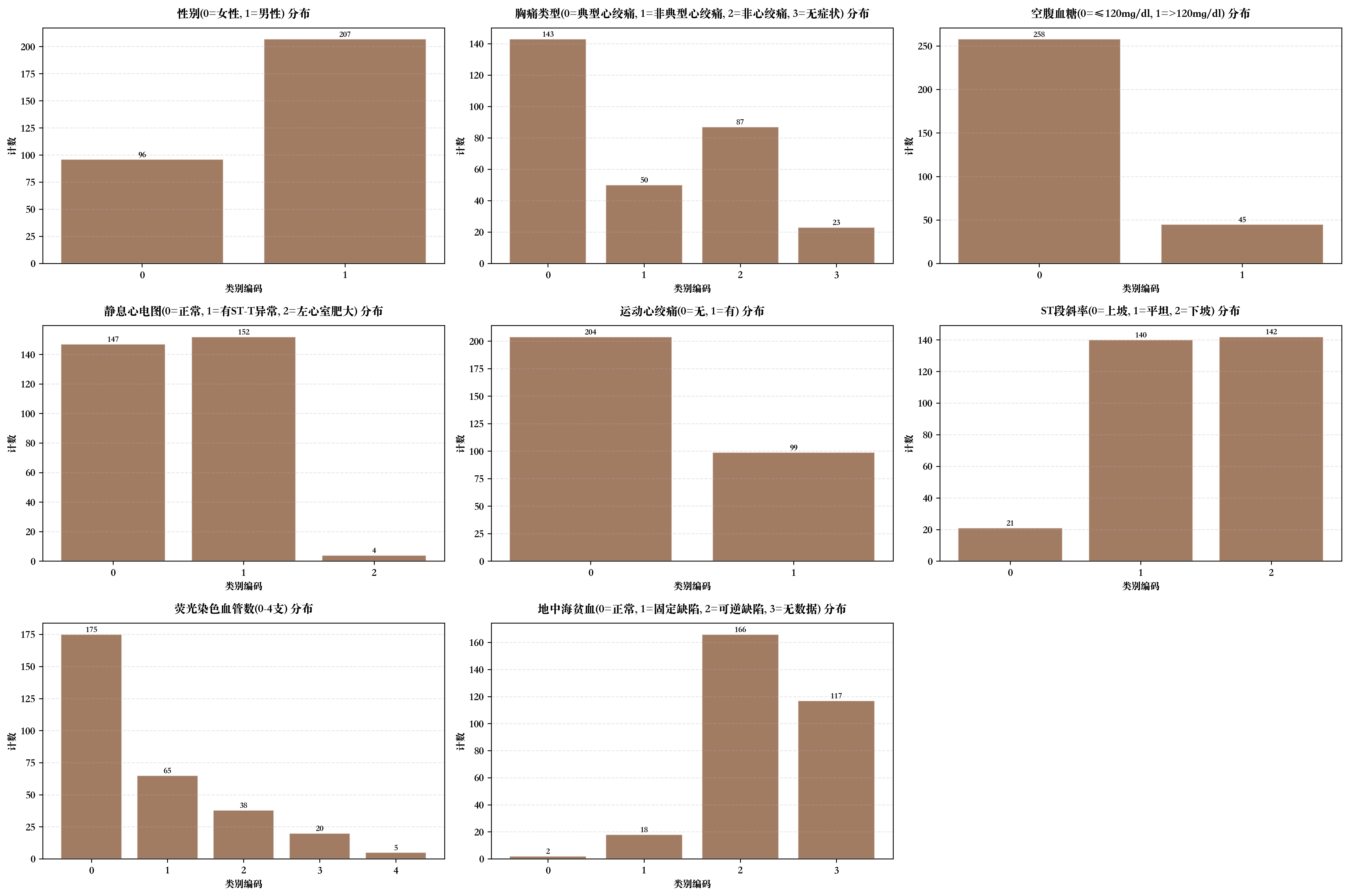
离散变量单特征分布
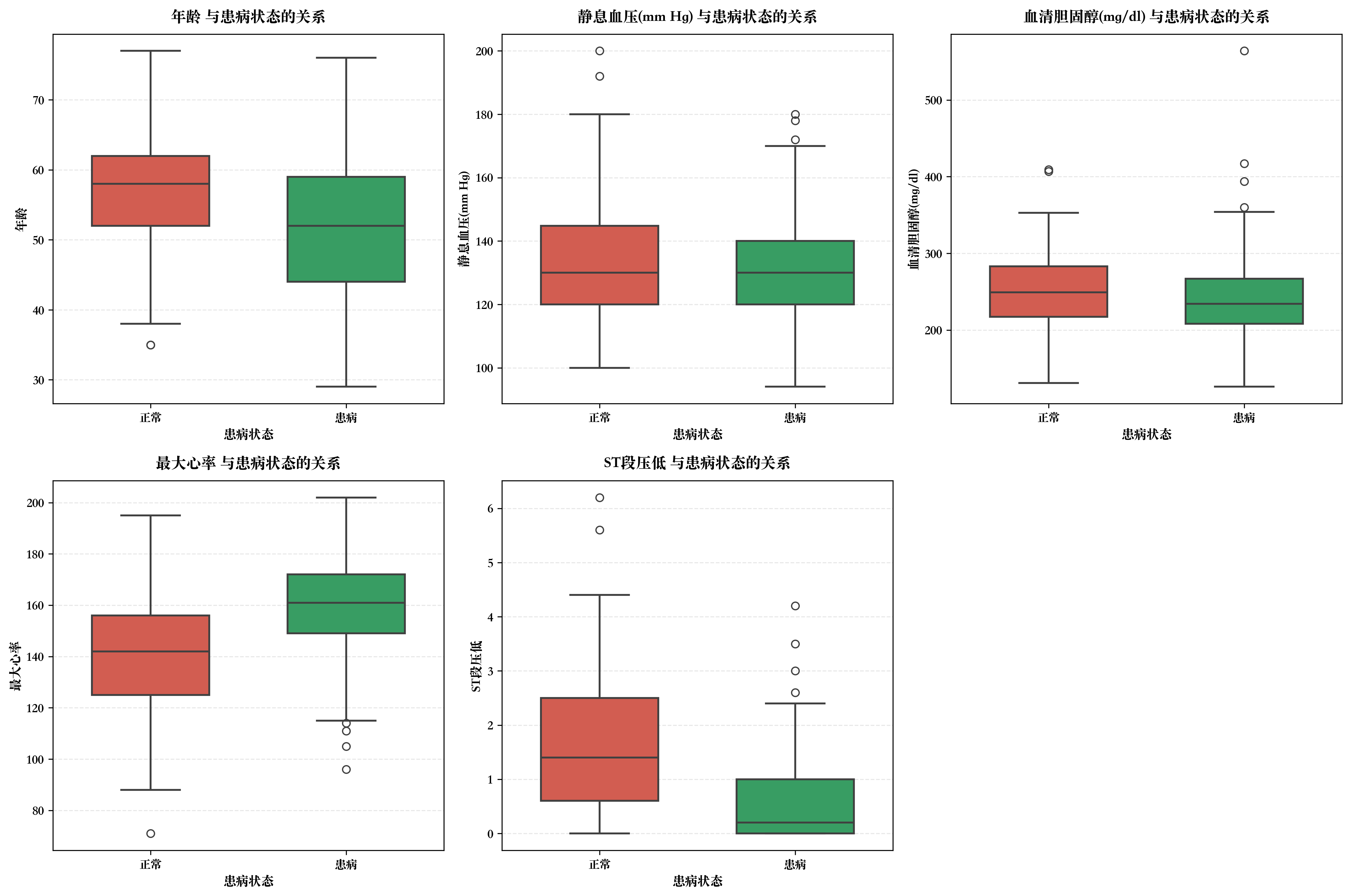
连续特征与标签关系
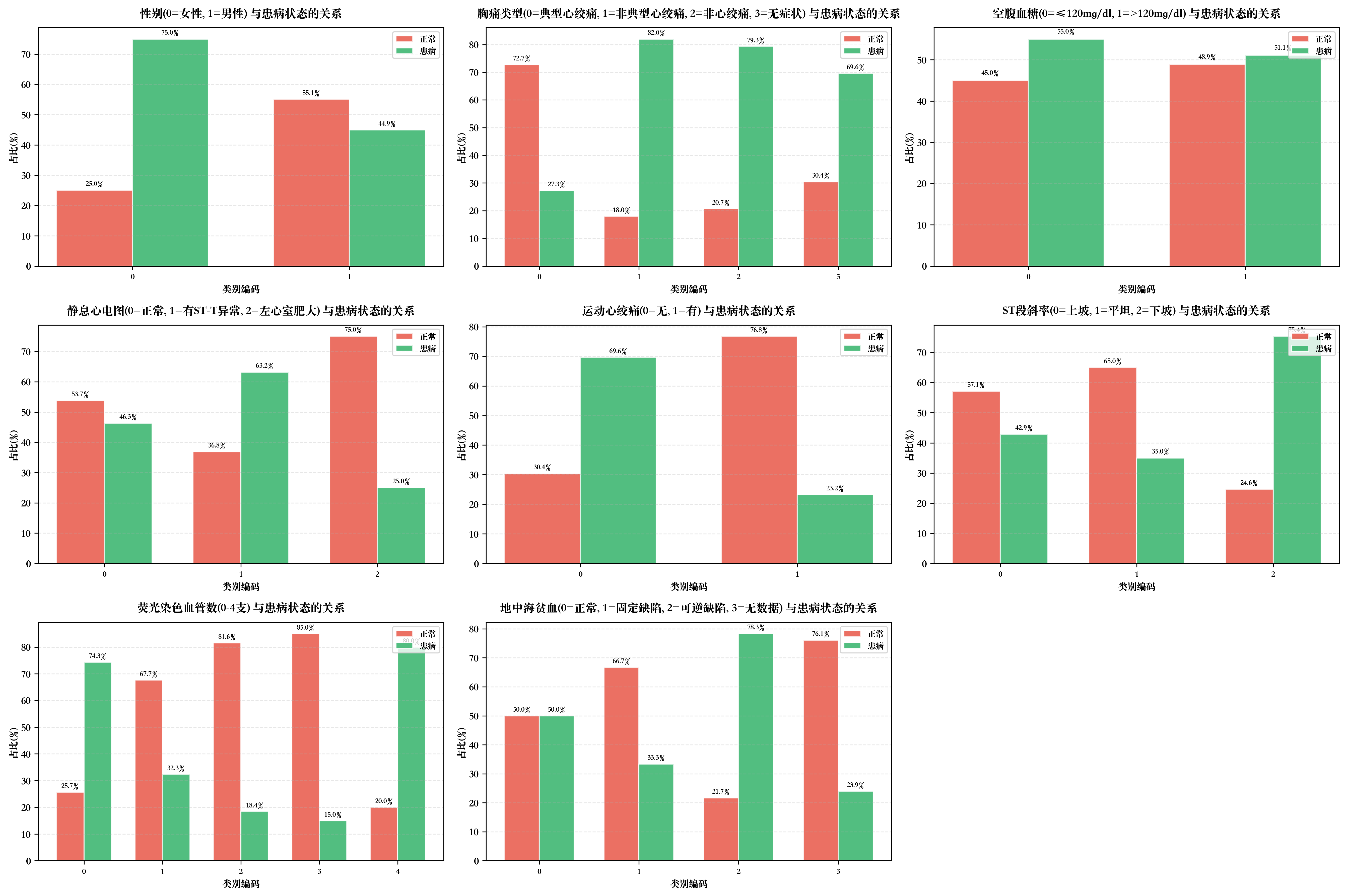
离散特征与标签关系
特征相关性热力图

433

被折叠的 条评论
为什么被折叠?



