VLFeat配置
下载地址:http://www.vlfeat.org/download/
建议下载此版本

最新的版本对sift处理中的X.sift文件为空的情况下会报错。
下载好后解压
方法一:
将所在文件配置到环境变量Path中
D:\Program Files (x86)\VLFeat\vlfeat-0.9.20-bin\vlfeat-0.9.20\bin\win64

方法二:
将文件所在位置中的(我是D:\Program Files (x86)\VLFeat\vlfeat-0.9.20-bin\vlfeat-0.9.20\bin\win64)
sift.exe和vl.dll 拷到运行所在目录下面,亲测可用
pydot配置
根据网上经验帖:https://blog.youkuaiyun.com/sinat_37998852/article/details/80507536?utm_source=blogxgwz2
PS:参考博客中的每一步基本上我都有做
安装顺序:
graphviz->grapphviz软件本身->pydot
首先要在python中安装graphviz:pip install graphviz;
然后下载graphviz这个软件,直接下载镜像文件安装就好,要记得安装路径,并将路径添加到系统path中;
grapphviz软件下载地址:http://www.graphviz.org/download/
https://graphviz.gitlab.io/_pages/Download/Download_windows.html


最后,pip install pydot
python库文件 https://www.lfd.uci.edu/~gohlke/pythonlibs/#lxml
但是只有和pyrhon27 匹配的 pygraphviz cp27
因此,直接下载
pygraphviz-1.5.zip 下载地址https://pypi.org/project/pygraphviz/#files
解压后放到运行文件的根目录下
(但这步好像不是很必要,运行时好像没有调用到这个包)
pip install pydot
最后成功运行(哪些步骤是关键的我也不是很清楚,但是都做好后可以使用)
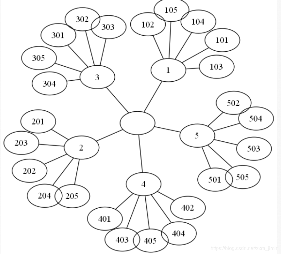
测试代码
import pydot
g = pydot.Dot(graph_type='graph')
g.add_node(pydot.Node(str(0), fontcolor='transparent'))
for i in range(5):
g.add_node(pydot.Node(str(i + 1)))
g.add_edge(pydot.Edge(str(0), str(i + 1)))
for j in range(5):
g.add_node(pydot.Node(str(j + 1) + '0' + str(i + 1)))
g.add_edge(pydot.Edge(str(j + 1) + '0' + str(i + 1), str(j + 1)))
g.write_png('../images/ch02/ch02_fig2-9_graph.png', prog='neato')
生成图片

ps
whl下载地址:https://www.lfd.uci.edu/~gohlke/pythonlibs/
谢谢观看。
本文主要介绍了VLFeat和pydot的配置方法。VLFeat配置可将文件配置到环境变量或拷贝相关文件到运行目录;pydot配置需按graphviz、graphviz软件、pydot的顺序安装,要在Python中安装graphviz,下载软件并添加路径到系统path,最后安装pydot。
836

被折叠的 条评论
为什么被折叠?



