Bray-Curtis距离是以该统计指标的提出者J. Roger Bray和John T. Curtis的名字命名的,主要基于OTUs的计数统计,比较两个群落微生物的组成差异。与unifrac距离,包含的信息完全不一样;相比于jaccard距离,Bray-Curtis则包含了OTUs丰度信息。
bray-curtis距离
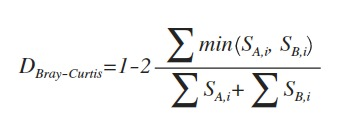
其中,S_(A,i)和S_(B,i)表示第i个OTU分别在A群落和B群落中的计数。min表示取两者最小值。

举例说明:
群落A和群落B的OTU统计如下表,
community OTU1 OTU2 OTU3 OTU4 OTU5
A 10 8 4 1 1
B 7 3 8 4 0
min(S_(A,i),S_(B,i)) = 7+3+4+1+0 = 15
sum(S_(A,i)) = 10+8+4+1+1 = 24
sum(S_(B,i)) = 7+3+4+8+4+0 = 22
D = 1 - 2*15/(24+22) = 0.3478
当然,D值越小越好,表示二者组成差异小。
Bray-Curtis距离以提出者名字命名,基于OTUs计数统计,用于比较两个群落微生物的组成差异。它与unifrac、jaccard距离包含信息不同,包含了OTUs丰度信息。文中还举例说明了其计算方法,D值越小表示群落组成差异越小。
3632





