UserCf 基于用户的协同过滤算法
给用户推荐相似兴趣用户感兴趣的物品
举例如下:

用户ABCD物品a、b、c、d
上述的信息汇总userA点击了item a、b、d类似往后userD 点击了item a、d
分析右边中由于userA中点击的item userD中都有点击,且userA点击了itemb userD没有
所以不能基于userD给A推荐,但是可以基于userA给D推荐b
公式:Suv表示用户u和用户v的相似度得分

分子中的N(u)表示 用户u有过点击item行为的集合 N(v)表示:用户v有过点击item行为的集合
分子可以理解为 item的重合程度,重合程度越高,user越相似。
分母部分:是做了一个归一化的操作,从物理意义上解释就是惩罚了操作过多的用户与其他用户的相似程度,理解为操作过多的用户对应的item的序列会非常的长,会与很多的用户都会有相似。这样分母除以一个非常的大数,相似度趋近于0,得到用户的相似度矩阵
根据对用户的行为点击,来完成对相似用户的item推荐

r(v,i)表示用户v对itemi的行为得分
根据用户v完成对用户u的用户推荐得分,Pui表示用户u对item i的推荐得分
公式升级
理论意义,降低那些异常活跃物品对于用户相似度的贡献
就是降低那些被很多人购买的物品中重合度中的贡献

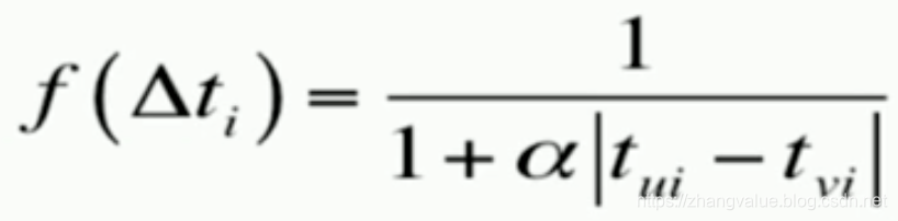
公式升级2:
理论意义,不同用户对同一item行为的时间段不同应该给予时间惩罚


本文深入探讨UserCf基于用户的协同过滤算法,通过分析用户之间的兴趣相似度,实现个性化物品推荐。文章详细介绍了相似度计算公式,以及如何根据用户历史行为预测其可能感兴趣的新物品。
5486

被折叠的 条评论
为什么被折叠?



