在推荐算法中使用协同过滤算法的原因:
①、信息过载,用户需求不明确
②、强依赖于用户的行为
Item cf 基于物品的协同过滤算法
给用户推荐他之前喜欢的物品相似的物品
举例:用户的点击行为,如下图中有四个用户ABCD,分别对item有点击行为
右边为item对应的user的倒排,比如iterm a 对应的user的倒排为AD,item d对应的倒排为ADC
用基于item的协同过滤算法来推荐物品,由于用户C曾经对item d 有过点击行为
那么就会优先推荐与item d 最相关的item a 给用户C

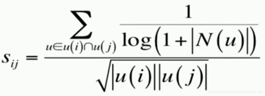
ItemCf的公式一:

其中u(i)表示:对item i有过行为的用户集合
u(j)表示:对item j 有过用户行为的用户集合
分子部分表示user的重合程度,重合度越高,物品越相似
分母部分做了一个归一化操作,物品热门的相似度
公式二:

其中r(ui)表示user对item的行为得分
s(ij)表示物品的相似度得分
p(uj)表示user对item j 的推荐
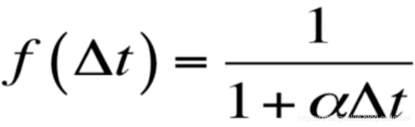
公式升级:
活跃用户应该被降低在相似度公式中的贡献度

公式2:用户在不同时间对item的操作给予时间衰减惩罚


本文深入解析协同过滤算法在推荐系统中的应用,特别是基于物品的协同过滤(ItemCF),通过用户行为数据,如点击行为,推断用户可能感兴趣的商品。文章详细介绍了ItemCF的计算公式,并提出对活跃用户贡献度的调整策略。
3万+

被折叠的 条评论
为什么被折叠?



