上图中,'x'轴表示匹萨直径,'y'轴表示匹萨价格。 能够看出,匹萨价格与其直径正相关,这与我们的日常经验也比较吻合,自然是越大越贵。 下面就用 scikit-learn 来构建模
#!/usr/bin/env python # -*- coding:utf-8 -*- import matplotlib.pyplot as plt from matplotlib.font_manager import FontProperties font = FontProperties(fname=r"C:\Windows\Fonts\myinghwl.ttf") from sklearn.linear_model import LinearRegression #创建拟合模型# def runplt(): plt.figure() plt.title('LINE1', fontproperties=font) plt.xlabel('LINE', fontproperties=font) plt.ylabel('PRICES', fontproperties=font) plt.axis([0, 25, 0, 25]) plt.grid(True) return plt plt = runplt() X = [[6], [8], [10], [14], [18]] y= [[7], [9], [13], [17.5], [18]] plt.plot(X,y,'.k') plt.show() model = LinearRegression() model.fit(X,y) print('12prices:$%.2f'% model.predict(12))
PS.想通过fontproperties将文字在图像中显示出来,结果 gg了 ,还不知道问题出在哪里....只能把中文名随便改了个英文名
一元线性回归假设解释变量和响应变量之间存在线性关系、、这个线性模型所构成的空间是一个超平面(hyperplane)。 超平面是 n 维欧氏空间中余维度、于一的线性子空间,如平面中的直线、空间中的平面、,总比包含它的空间少一维。 在一元线性回归中,一个维度是响应变量,另一个维度是解释变量,总共两维。 因此,其超平面只有一维,就是一条线
上述代码中 sklearn.linear_model.LinearRegression 类是一个估计器(estimator)。 估计 器依据观测值来预测结果。 在 scikit-learn 里面,所有的估计器都带有 fit() 和 predict() 方法。
fit() 用来分析模型参数,predict() 是通过 fit() 算出的模型参数构成的模型,对解释变量进行预测获得的值。
因为所有的估计器都有这两种方法,所有 scikit-learn 很容易实验不同的模型。 LinearRegression 类的 fit() 方法学习下面的一元线性回归模型: Y=A+BX
y 表示响应变量的预测值,本例指匹萨价格预测值, 是解释变量,本例指匹萨直径。 截距和相关系数 是线性回归模型最关心的事情. 。 用这个模型,可以计算不同直径的价格,8 英寸 $7.33,20 英寸 $18.75
一元线性回归拟合模型的参数估计常用方法是普通最小二乘法(ordinary least squares )或线性最小二乘法(linear least squares)。 首先,我们定义出拟合成本函数,然后对参数进行数理统计。
成本函数(cost function)也叫损失函数(loss function),用来定义模型与观测值的误差。 模型预测的价格与训练集数据的差异称为残差(residuals)或训练误差(training errors)。 后面会用模型计算测试集,那时模型预测的价格与测试集数据的差异称为预测误差(prediction errors)或训练误差(test errors)
模型的残差是训练样本点与线性回归模型的纵向距离,如下图所示:
X2=[[0],[10],[14],[25]] model = LinearRegression() model.fit(X,y) y2=model.predict(X2) plt.plot(X,y,'.k') plt.plot(X2,y2,'.g')#残差值预测# yr= model.predict(X) for idx,x in enumerate(X): plt.plot([x, x], [y[idx], yr[idx]], 'r-') plt.show()
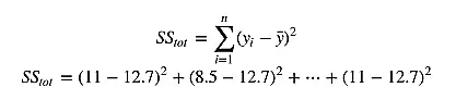
我们可以通过残差之和最小化实现最佳拟合,也就是说模型预测的值与训练集的数据最接近就是最佳拟合。 对模型的拟合度进行评估的函数称为残差平方和(residual sum of squares)成本函数。 就是让所有训练数据与模型的残差的平方之和最小化,如下所示:
import numpy as np print('square:%.2f'% np.mean((model.predict(X)-y)**2)) #我们可以通过残差之和最小化实现最佳拟合,也就是说模型预测的值与训练集的数据最接近就是最佳拟合。 对模型的拟合度进行评估的函数称为残差平方和(residual sum of squares)成本函数。
解一元线性回归的最小二乘法
通过成本函数最小化获得参数,先求相关系数贝塔。 按照频率论的观点,首先需要计算 x 的方差和 x 与 y 的协方差
方差是用来衡量样本分散程度的。 如果样本全部相、、,那么方差为 0。 方差越小,表示样本越集中,反正则样本越分散。 方差计算公式如下:
xbar = (6+8+10+14+18)/5 variance = ((6-xbar)**2+(-xbar)**2+(0-xbar)**2+(14-xbar)**2+(18-xbar)**2)/4 print (variance) #通过成本函数最小化获得参数,先求相关系数贝塔。 按照频率论的观点,首先需要计算 x 的方差和 x 与 y 的协方差 #方差是用来衡量样本分散程度的。 如果样本全部相、、,那么方差为 0。 方差越小,表示样本越集中,反正则样本越分散。 方差计算公式如下: print(np.var([6,8,10,14,18],ddof=1))#Numpy 里面有 var 方法可以直接计算方差,ddof 参数是贝塞尔 (无偏估计) 校正系数(Bessel'scorrection),设置为 1,可得样本方差无偏估计量
协方差表示两个变量的总体的变化趋势。 如果两个变量的变化趋势一致,也就是说如果其中一个大于自身的期望值,另外一个也大于自身的期望值,那么两个变量之间的协方差就是正值。 如果两个变量的变化趋势相反,即其中一个大于自身的期望值,另外一个却小于自身的期望值,那么两个变量之间的协方差就是负值。 如果两个变量不相关,则协方差为 0,变量线性无关不表示一定没有其他相关
性。 协方差公式如下:
ybar =(7+9+13+17.5+18)/5 cov=((6-xbar)*(7-ybar)+(8-xbar)*(9-ybar)+(10-xbar)*(13-ybar)+(14-xbar)*(17.5-ybar)+(18-xbar)*(18-ybar))/4 print (cov)
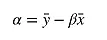
现在有了方差和协方差,就可以计算相关系统贝塔了
α = 12.9 − 0.9762931034482758 × 11.2 = 1.9655172413793114
这样就通过最小化成本函数求出模型参数了。 把匹萨直径带入方程就可以求出对应的价格了,如 11 英寸直径价格 $12.70,18 英寸直径价格 $19.54
这种方法计算的 R 方一定介于 0~1 之间的正数。 其他计算方法,包括 scikit-learn 中的方法,不是用皮尔逊积矩相关系数的平方计算的,因此当模型拟合效果很差的时候 R 方会是负值。 下面用 scikitlearn 方法来计算 R 方
然后,计算残差平方和,和前面的一样:
R 方是 0.6620 说明测试集里面过半数的价格都可以通过模型解释。 现在,用 scikit-learn 来验证一下。 LinearRegression 的 score 方法可以计算 R 方:
#测试集 X_test = [[8],[9],[11],[16],[12]] y_test = [[11],[8.5],[15],[18],[11]] model = LinearRegression() model.fit(X,y) model.score(X_test,y_test) print (model.score(X_test,y_test))参考地址 https://www.jianshu.com/p/738f6092ef53
披萨价格预测

3446

被折叠的 条评论
为什么被折叠?



