一、线性回归的意义
线性回归是利用数理统计中回归分析,来确定两种或两种以上变量间相互依赖的定量关系的一种统计分析方法,运用十分广泛。在线性回归中,数据使用线性预测函数来建模,并且未知的模型参数也是通过数据来估计。由于市场现象一般是受多种因素的影响,而并不是仅仅受一个因素的影响。所以应用一元线性回归分析预测法,必须对影响市场现象的多种因素做全面分析。只有当诸多的影响因素中,确实存在一个对因变量影响作用明显高于其他因素的变量,才能将它作为自变量,应用一元相关回归分析市场预测法进行预测。
一元线性回归分析法的预测模型如下:

式中,xt代表t期自变量的值;
Yt代表t期因变量的值;
a、b代表一元线性回归方程的参数。
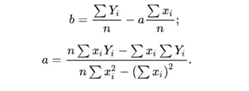
a、b参数由下列公式求得:

相关系数R2是用以反映变量之间相关关系密切程度的统计指标。我们可以用 
来刻画回归的效果。对于已经获取的样本数据,R2表达式中的总体平方和

为确定的数。因此R2越大,意味着残差平方和

本文介绍了线性回归的意义及其在市场预测中的应用,通过Excel和Python的一元线性回归分析,探讨数据量对模型拟合效果的影响。实验证明,数据选取的重要性大于数据量,并提供了不依赖第三方库的Python代码实现一元线性回归及R²计算,同时也展示了使用sklearn库的便捷性。
最低0.47元/天 解锁文章
2万+

被折叠的 条评论
为什么被折叠?



