这里写目录标题
- 一.模糊评价的原理
- 二.示例商业银行风险程度的模糊综合评价模型
- 1.论文思路
- 1)确立评判对象的指标集: U ={ U 1 , U 2 , … , U n } U ={U1,U2,…,Un} U={U1,U2,…,Un}
- 2)确定评判对象的评语集 V ={ V 1 , V 2 , … , V m } V ={V1,V2,…,Vm} V={V1,V2,…,Vm}
- 3)对评估对象的各指标作单因素评估
- 4)引入 U 上模糊子集 A =( ω 1 , ω 2 , … , ω k ) A = (ω1,ω2,…,ωk) A=(ω1,ω2,…,ωk)
- 5)引入 V 上模糊集 B =( B 1 , B 2 , … , B m ) B = ( B1,B2,…,Bm) B=(B1,B2,…,Bm)
- 2.更具体的案例
- 3.matlab代码
- 三.模糊评价法的特点
一.模糊评价的原理
模糊综合评判(Fuzzy Comprehensive Evaluation, FCE)是一种基于模糊数学理论的多因素决策分析方法。它主要用于处理具有不确定性和模糊性的复杂系统评价问题,适用于那些难以用精确数值衡量的情况。模糊综合评判通过引入隶属度函数来量化定性指标,并利用模糊运算对多个评价因素进行综合评估。
模糊评价法是一种强大的工具,适用于处理那些难以用精确数值衡量的情况。它通过模糊集理论解决了现实生活中的模糊性和不确定性问题,提供了灵活且实用的解决方案。
1.前提知识
(1). 模糊集合与隶属度函数
在经典集合中,元素要么属于某个集合,要么不属于;但在现实世界中,许多概念和现象并不具有明确的边界。例如,“年轻人”、“高个子”等概念并没有一个绝对的标准来定义谁属于这类人群。为此,模糊集合允许元素以某种程度隶属于集合,这种程度称为隶属度,其取值范围为 [0, 1]:
- μ ( x ) = 0 \mu(x) = 0 μ(x)=0表示完全不属于该集合;
- $\mu(x) = 1$ 表示完全属于该集合;
- 0 < μ ( x ) < 1 0 < \mu(x) < 1 0<μ(x)<1 表示部分隶属于该集合。
隶属度函数 μ A ( x ) \mu_A(x) μA(x) 定义了元素 x x x 对模糊集合 A A A的隶属度。
(2). 模糊运算
为了操作模糊集合,引入了模糊运算,主要包括:
- 并(Union): μ A ∪ B ( x ) = max ( μ A ( x ) , μ B ( x ) ) \mu_{A \cup B}(x) = \max(\mu_A(x), \mu_B(x)) μA∪B(x)=max(μA(x),μB(x))
- 交(Intersection): μ A ∩ B ( x ) = min ( μ A ( x ) , μ B ( x ) ) \mu_{A \cap B}(x) = \min(\mu_A(x), \mu_B(x)) μA∩B(x)=min(μA(x),μB(x))
- 补(Complement): μ A ˉ ( x ) = 1 − μ A ( x ) \mu_{\bar{A}}(x) = 1 - \mu_A(x) μAˉ(x)=1−μA(x)
这些运算是模糊逻辑的基础,用于组合不同的模糊集合。
2.模糊综合评判的基本步骤
- 确定评价对象和评价因素集:
- 选择需要评价的对象或方案。
- 确定影响评价结果的关键因素,形成评价因素集 U = { u 1 , u 2 , . . . , u n } U = \{u_1, u_2, ..., u_n\} U={u1,u2,...,un}。
- 建立评语集(评价等级集):
- 根据实际情况设定评价等级,如“优”、“良”、“中”、“差”等,构成评语集 V = { v 1 , v 2 , . . . , v m } V = \{v_1, v_2, ..., v_m\} V={v1,v2,...,vm}。
- 构建单因素评价矩阵:
- 对每个评价因素 u i u_i ui,根据专家意见或历史数据,给出其在不同评价等级下的隶属度,形成单因素评价矩阵 R R R,其中元素 r i j r_{ij} rij 表示因素 u i u_i ui 属于等级 $ v_j $ 的隶属度。
- 确定权重向量:
- 根据各评价因素的重要性,确定它们的权重 A = ( a 1 , a 2 , . . . , a n ) A = (a_1, a_2, ..., a_n) A=(a1,a2,...,an),满足 ∑ i = 1 n a i = 1 \sum_{i=1}^{n} a_i = 1 ∑i=1nai=1。
- 进行模糊变换(综合评价):
- 利用模糊算子将权重向量 A A A 和单因素评价矩阵 R R R 结合起来,得到综合评价结果 B B B。常用的模糊算子有最大最小合成法、加权平均法等。
- 归一化处理:
- 对综合评价结果 B B B 进行归一化处理,以确保所有评价等级的隶属度之和为1。
- 做出决策:
- 根据归一化后的综合评价结果,选择最佳方案或做出相应的决策。
二.示例商业银行风险程度的模糊综合评价模型
案例出处:商业银行风险程度的模糊综合评价模型
作者:周焯华,张宗益,杨俊
1.论文思路
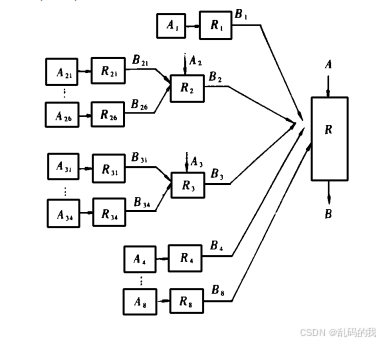
商业银行风险程度的高低是通过各种子因素的风险高低来体现的。本文采用2级递阶层次结构评判方法,建立商业银行风险与其子因素之间关系的数学模型。
1)确立评判对象的指标集: U ={ U 1 , U 2 , … , U n } U ={U1,U2,…,Un} U={U1,U2,…,Un}
对商业银行风险的影响因素,参考了中国人民银行在1994年2月15日颁布的《中国人民银行资本成份及风险系数的暂行规定》,第1层子因素包括:
- 流动性风险(B1)
- 信用风险(B2)
- 投资风险(B3)
- 经营风险(B4)
- 内部控制风险(B5)
- 政策风险(B6)
- 汇率风险(B7)
- 利率风险(B8)
而信用风险又细分为:
- 信用贷款(透支)风险(B21)
- 担保贷款风险(B22)
- 抵押贷款风险(B23)
- 融资租赁风险(B24)
- 居民房地产抵押风险(B25)
- 其他贷款风险(B26)
投资风险则分为:
- 有价证券投资风险(B31)
- 期货投资风险(B32)
- 房地产投资风险(B33)
- 实业投资风险(B34)

2)确定评判对象的评语集 V ={ V 1 , V 2 , … , V m } V ={V1,V2,…,Vm} V={V1,V2,…,Vm}
根据国际上大多数国家对流动性比率的法定要求,流动性比率的最低标准为25%(0.25)。因此我们确定流动比率值与风险程度对照表如下:
| 流动比率(a) | a≥0.25 | 0.15≤ a <0.25 | 0.10≤ a <0.15 | 0.01≤ a <0.1 | a <0.01 |
|---|---|---|---|---|---|
| 风险程度 | 低风险 | 较低风险 | 中等风险 | 较高风险 | 高风险 |
商业银行风险程度的评语集为:
V
=
{
高风险
,
较高风险
,
中等风险
,
较低风险
,
低风险
}
=
{
V
1
,
V
2
,
V
3
,
V
4
,
V
5
}
V = \{高风险, 较高风险, 中等风险, 较低风险, 低风险\} = \{V_1, V_2, V_3, V_4, V_5\}
V={高风险,较高风险,中等风险,较低风险,低风险}={V1,V2,V3,V4,V5}
3)对评估对象的各指标作单因素评估
确定每一个底层因素的风险程度的模糊分布,从而确定从 U 到 V 的模糊关系矩阵 R。
模糊关系矩阵 R也就是评判矩阵 R, 描述了每个评价因素在不同评价等级下的隶属度。这个矩阵是通过专家评分法来确定的,即邀请领域内的专家对每个因素在不同评价等级上的可能性进行评估。具体的步骤包括:
- 设计专家咨询表:提供详细的背景信息和评价标准,确保专家能够基于充分的信息做出合理的判断。
- 收集反馈:通过问卷或访谈的形式,收集多位专家的意见。
- 汇总数据:对所有专家的评分进行汇总,并计算平均值或其他统计量,以形成最终的评判矩阵。
在文献中提到:
“由于商业银行风险程度评估的复杂性,常用的几种模糊分布函数都难以准确而合理地确定其分布函数,因此我们采用具体做法是向各专家提供被评估商业银行的具体情况,让各专家根据各自的判断要求填写专家咨询表。”
本文的评判矩阵的设计思路为下:

例如,信用风险下的子因素评判矩阵 R2 如下:
R
2
=
[
0.45
0.20
0.25
0.05
0.05
0.15
0.25
0.35
0.15
0.10
0.10
0.25
0.30
0.20
0.15
0.35
0.25
0.20
0.15
0.05
0.05
0.10
0.35
0.30
0.20
0.35
0.25
0.20
0.15
0.05
]
R2 = \begin{bmatrix} 0.45 & 0.20 & 0.25 & 0.05 & 0.05 \\ 0.15 & 0.25 & 0.35 & 0.15 & 0.10 \\ 0.10 & 0.25 & 0.30 & 0.20 & 0.15 \\ 0.35 & 0.25 & 0.20 & 0.15 & 0.05 \\ 0.05 & 0.10 & 0.35 & 0.30 & 0.20 \\ 0.35 & 0.25 & 0.20 & 0.15 & 0.05 \end{bmatrix}
R2=
0.450.150.100.350.050.350.200.250.250.250.100.250.250.350.300.200.350.200.050.150.200.150.300.150.050.100.150.050.200.05
4)引入 U 上模糊子集 A =( ω 1 , ω 2 , … , ω k ) A = (ω1,ω2,…,ωk) A=(ω1,ω2,…,ωk)
其中 ω i \omega_i ωi 是权重,表示各评价指标相对于上层的权重。
权重向量 A 表示各评价因素相对于整体风险的重要性。为了确定这些权重,通常采用层次分析法(Analytic Hierarchy Process, AHP)。AHP 是一种结构化技术,用于处理复杂的多准则决策问题。具体步骤包括:
- 构建层次结构:将评价因素组织成一个层次结构,从最高层的目标到最低层的具体因素。
- 构造判断矩阵:对于每一层中的因素,通过专家打分或问卷调查,构建两两比较的判断矩阵。
- 计算权重向量:通过对判断矩阵进行一致性检验和归一化处理,得到各因素的权重。
在文献中提到:
“确定权重的有效方法很多,如多元统计分析法、模糊方程求解法、层次分析法、专家咨询法等。根据该问题影响因素多、因素间相互关系复杂等特点,本文采用层次分析法(Analytic Hierarchy Process简称 AHP法)确定 B1, B2, …, Bn 各的权重。”
例如,文献中给出的8个子因素之间的权重为:
A = ( 0.135 , 0.215 , 0.155 , 0.125 , 0.125 , 0.065 , 0.105 , 0.075 ) A = (0.135, 0.215, 0.155, 0.125, 0.125, 0.065, 0.105, 0.075) A=(0.135,0.215,0.155,0.125,0.125,0.065,0.105,0.075)
5)引入 V 上模糊集 B =( B 1 , B 2 , … , B m ) B = ( B1,B2,…,Bm) B=(B1,B2,…,Bm)
进行模糊变换 B = A ○ R B = A○R B=A○R,计算评语集, B j B_j Bj 表示评价对象被评为 V j V_j Vj 的隶属度。其中“ A”表示权重矩阵,“ R”表示评判矩阵。“○”是运算符号,它可根据不同需要选择不同算子。
综合评价结果 B 是通过将权重向量 A 和评判矩阵 R 结合起来计算得出的。具体步骤包括:
- 模糊变换:使用加权平均法或其他合适的模糊算子,将权重向量与评判矩阵相乘,得到综合评价结果。
- 归一化处理:确保所有评价等级的隶属度之和为1,使得结果更加直观和易于解释。
在文献中提到:
“作模糊变换 B = A○R,计算评语集, $B_j $表示评价对象被评为 V j V_j Vj 的隶属度。其中“ A”表示权重矩阵,“ R”表示评判矩阵。“○”是运算符号,它可根据不同需要选择不同算子。在本文中,宜选用加权平均型 M (○,♁) M(○, ♁) M(○,♁)。”
例如,最终的综合评价结果 B 计算如下:
B = A ∗ R = ( 0.135 , 0.215 , 0.155 , 0.125 , 0.125 , 0.065 , 0.105 , 0.075 ) ∗ R B = A * R = (0.135, 0.215, 0.155, 0.125, 0.125, 0.065, 0.105, 0.075) * R B=A∗R=(0.135,0.215,0.155,0.125,0.125,0.065,0.105,0.075)∗R
2.更具体的案例
应用上述模型的方法,对工商银行四川省某支行的风险程度进行评估。具体过程如下:
模型参数与数据准备
- **因素 B21 至 B26 构成的评判矩阵 R2 **:
R 2 = [ 0.45 0.20 0.25 0.05 0.05 0.15 0.25 0.35 0.15 0.10 0.10 0.25 0.30 0.20 0.15 0.35 0.25 0.20 0.15 0.05 0.05 0.10 0.35 0.30 0.20 0.35 0.25 0.20 0.15 0.05 ] R2 = \begin{bmatrix} 0.45 & 0.20 & 0.25 & 0.05 & 0.05 \\ 0.15 & 0.25 & 0.35 & 0.15 & 0.10 \\ 0.10 & 0.25 & 0.30 & 0.20 & 0.15 \\ 0.35 & 0.25 & 0.20 & 0.15 & 0.05 \\ 0.05 & 0.10 & 0.35 & 0.30 & 0.20 \\ 0.35 & 0.25 & 0.20 & 0.15 & 0.05 \end{bmatrix} R2= 0.450.150.100.350.050.350.200.250.250.250.100.250.250.350.300.200.350.200.050.150.200.150.300.150.050.100.150.050.200.05
- **权重矩阵 A2 **:
A 2 = ( 0.235 , 0.205 , 0.300 , 0.150 , 0.105 , 0.005 ) A2 = (0.235, 0.205, 0.300, 0.150, 0.105, 0.005) A2=(0.235,0.205,0.300,0.150,0.105,0.005)
模糊变换计算
进行模糊变换 B 2 = A 2 ● R 2 B2 = A2●R2 B2=A2●R2 :
B
2
=
(
0.235
,
0.205
,
0.300
,
0.150
,
0.105
,
0.005
)
●
[
0.45
0.20
0.25
0.05
0.05
0.15
0.25
0.35
0.15
0.10
0.10
0.25
0.30
0.20
0.15
0.35
0.25
0.20
0.15
0.05
0.05
0.10
0.35
0.30
0.20
0.35
0.25
0.20
0.15
0.05
]
B2 = (0.235, 0.205, 0.300, 0.150, 0.105, 0.005) ● \begin{bmatrix} 0.45 & 0.20 & 0.25 & 0.05 & 0.05 \\ 0.15 & 0.25 & 0.35 & 0.15 & 0.10 \\ 0.10 & 0.25 & 0.30 & 0.20 & 0.15 \\ 0.35 & 0.25 & 0.20 & 0.15 & 0.05 \\ 0.05 & 0.10 & 0.35 & 0.30 & 0.20 \\ 0.35 & 0.25 & 0.20 & 0.15 & 0.05 \end{bmatrix}
B2=(0.235,0.205,0.300,0.150,0.105,0.005)●
0.450.150.100.350.050.350.200.250.250.250.100.250.250.350.300.200.350.200.050.150.200.150.300.150.050.100.150.050.200.05
计算结果为:
B
2
=
(
0.25975
,
0.21675
,
0.1425
,
0.096765
,
0.10125
)
B2 = (0.25975, 0.21675, 0.1425, 0.096765, 0.10125)
B2=(0.25975,0.21675,0.1425,0.096765,0.10125)
进行归一化处理:
B
2
=
(
0.2764
,
0.2306
,
0.2384
,
0.1516
,
0.103
)
B2 = (0.2764, 0.2306, 0.2384, 0.1516, 0.103)
B2=(0.2764,0.2306,0.2384,0.1516,0.103)

其他因素的评估
对于其他因素(如投资风险、流动性风险等),也分别进行了类似的模糊变换计算:
- 因素 B3 的评判矩阵 R3 :
R 3 = [ 0.65 0.20 0.10 0.05 0.00 0.75 0.25 0.00 0.00 0.00 0.15 0.25 0.45 0.10 0.05 0.00 0.20 0.55 0.15 0.10 ] R3 = \begin{bmatrix} 0.65 & 0.20 & 0.10 & 0.05 & 0.00 \\ 0.75 & 0.25 & 0.00 & 0.00 & 0.00 \\ 0.15 & 0.25 & 0.45 & 0.10 & 0.05 \\ 0.00 & 0.20 & 0.55 & 0.15 & 0.10 \end{bmatrix} R3= 0.650.750.150.000.200.250.250.200.100.000.450.550.050.000.100.150.000.000.050.10
- **权重矩阵 A3 **:
A 3 = ( 0.265 , 0.155 , 0.2445 , 0.335 ) A3 = (0.265, 0.155, 0.2445, 0.335) A3=(0.265,0.155,0.2445,0.335)
进行模糊变换 B 3 = A 3 ● R 3 B3 = A3●R3 B3=A3●R3 :
B
3
=
(
0.32525
,
0.22
,
0.321
,
0.088
,
0.04575
)
B3 = (0.32525, 0.22, 0.321, 0.088, 0.04575)
B3=(0.32525,0.22,0.321,0.088,0.04575)
综合评价
综合所有子因素的风险评估结果,形成最终的模糊关系矩阵 R :
R = [ 0.35 0.25 0.20 0.15 0.05 0.2764 0.2306 0.2384 0.151 0.103 0.32525 0.22 0.321 0.088 0.04575 0.45 0.30 0.20 0.05 0.00 0.55 0.25 0.15 0.05 0.00 0.10 0.25 0.45 0.15 0.05 0.05 0.15 0.35 0.30 0.15 0.05 0.15 0.35 0.30 0.15 ] R = \begin{bmatrix} 0.35 & 0.25 & 0.20 & 0.15 & 0.05 \\ 0.2764 & 0.2306 & 0.2384 & 0.151 & 0.103 \\ 0.32525 & 0.22 & 0.321 & 0.088 & 0.04575 \\ 0.45 & 0.30 & 0.20 & 0.05 & 0.00 \\ 0.55 & 0.25 & 0.15 & 0.05 & 0.00 \\ 0.10 & 0.25 & 0.45 & 0.15 & 0.05 \\ 0.05 & 0.15 & 0.35 & 0.30 & 0.15 \\ 0.05 & 0.15 & 0.35 & 0.30 & 0.15 \end{bmatrix} R= 0.350.27640.325250.450.550.100.050.050.250.23060.220.300.250.250.150.150.200.23840.3210.200.150.450.350.350.150.1510.0880.050.050.150.300.300.050.1030.045750.000.000.050.150.15
根据层次分析法得出这8个子因素之间的权重为:
A
=
(
0.135
,
0.215
,
0.155
,
0.125
,
0.125
,
0.065
,
0.105
,
0.075
)
A = (0.135, 0.215, 0.155, 0.125, 0.125, 0.065, 0.105, 0.075)
A=(0.135,0.215,0.155,0.125,0.125,0.065,0.105,0.075)
进行模糊变换 B = A●R :
B
=
(
0.135
,
0.215
,
0.155
,
0.125
,
0.125
,
0.065
,
0.105
,
0.075
)
●
[
0.35
0.25
0.20
0.15
0.05
0.2764
0.2306
0.2384
0.151
0.103
0.32525
0.22
0.321
0.088
0.04575
0.45
0.30
0.20
0.05
0.00
0.55
0.25
0.15
0.05
0.00
0.10
0.25
0.45
0.15
0.05
0.05
0.15
0.35
0.30
0.15
0.05
0.15
0.35
0.30
0.15
]
B = (0.135, 0.215, 0.155, 0.125, 0.125, 0.065, 0.105, 0.075) ● \begin{bmatrix} 0.35 & 0.25 & 0.20 & 0.15 & 0.05 \\ 0.2764 & 0.2306 & 0.2384 & 0.151 & 0.103 \\ 0.32525 & 0.22 & 0.321 & 0.088 & 0.04575 \\ 0.45 & 0.30 & 0.20 & 0.05 & 0.00 \\ 0.55 & 0.25 & 0.15 & 0.05 & 0.00 \\ 0.10 & 0.25 & 0.45 & 0.15 & 0.05 \\ 0.05 & 0.15 & 0.35 & 0.30 & 0.15 \\ 0.05 & 0.15 & 0.35 & 0.30 & 0.15 \end{bmatrix}
B=(0.135,0.215,0.155,0.125,0.125,0.065,0.105,0.075)●
0.350.27640.325250.450.550.100.050.050.250.23060.220.300.250.250.150.150.200.23840.3210.200.150.450.350.350.150.1510.0880.050.050.150.300.300.050.1030.045750.000.000.050.150.15
计算结果为:
B
=
(
0.30809
,
0.23993
,
0.26926
,
0.12686
,
0.05574
)
B = (0.30809, 0.23993, 0.26926, 0.12686, 0.05574)
B=(0.30809,0.23993,0.26926,0.12686,0.05574)
显然该支行的高风险和较高风险程度之和为0.54802,表明该银行所处的风险程度较高,应该加强风险管理。
3.matlab代码
% 商业银行金融风险程度的模糊综合评价模型
% 权重向量 A2 和评判矩阵 R2 对应于信用风险下的子因素
A2 = [0.235, 0.205, 0.300, 0.150, 0.105, 0.005];
R2 = [
0.45, 0.20, 0.25, 0.05, 0.05;
0.15, 0.25, 0.35, 0.15, 0.10;
0.10, 0.25, 0.30, 0.20, 0.15;
0.35, 0.25, 0.20, 0.15, 0.05;
0.05, 0.10, 0.35, 0.30, 0.20;
0.35, 0.25, 0.20, 0.15, 0.05
];
% 其他因素的权重向量和评判矩阵
A3 = [0.265, 0.155, 0.2445, 0.335];
R3 = [
0.65, 0.20, 0.10, 0.05, 0.00;
0.75, 0.25, 0.00, 0.00, 0.00;
0.15, 0.25, 0.45, 0.10, 0.05;
0.00, 0.20, 0.55, 0.15, 0.10
];
% 综合各子因素的风险评估结果
B1 = [0.35, 0.25, 0.20, 0.15, 0.05];
B4 = [0.45, 0.30, 0.20, 0.05, 0.00];
B5 = [0.55, 0.25, 0.15, 0.05, 0.00];
B6 = [0.10, 0.25, 0.45, 0.15, 0.05];
B7 = [0.15, 0.25, 0.40, 0.15, 0.05];
B8 = [0.05, 0.15, 0.35, 0.30, 0.15];
% 各子因素之间的权重
A = [0.135, 0.215, 0.155, 0.125, 0.125, 0.065, 0.105, 0.075];
% 计算 B2 和归一化处理
B2 = A2 * R2;
B2 = B2 / sum(B2); % 归一化
% 计算 B3 和归一化处理
B3 = A3 * R3;
B3 = B3 / sum(B3); % 归一化
% 构建最终的模糊关系矩阵 R
R = [
B1;
B2;
B3;
B4;
B5;
B6;
B7;
B8
];
% 进行模糊变换计算最终的综合评价结果 B
B = A * R;
% 归一化处理
B = B / sum(B);
% 显示结果
disp('最终的综合评价结果:');
disp(['高风险: ', num2str(B(1))]);
disp(['较高风险: ', num2str(B(2))]);
disp(['中等风险: ', num2str(B(3))]);
disp(['较低风险: ', num2str(B(4))]);
disp(['低风险: ', num2str(B(5))]);
% 高风险和较高风险之和
high_risk_sum = B(1) + B(2);
disp(['高风险和较高风险之和: ', num2str(high_risk_sum)]);
% 创建评语集标签
labels = {'高风险', '较高风险', '中等风险', '较低风险', '低风险'};
% 绘制柱状图
figure;
bar(B);
set(gca, 'XTickLabel', labels);
xlabel('风险等级');
ylabel('隶属度');
title('商业银行金融风险程度的模糊综合评价');
grid on;
通过这样的评估可以看出该银行的各种风险水平的高低,不仅可以进行量化,而且还可以看出各种风险因素之间的影响(权重)的大小和风险程度。信贷资产风险所占的权重最大(其余依次是投资风险、流动性风险等),因此应加强其管理,对信贷风险可以进一步分析。
三.模糊评价法的特点
- 处理不确定性:通过隶属度函数描述事物的模糊边界,能够很好地处理含有不确定信息的问题。
- 灵活性强:可以根据不同的应用场景调整评价因素和权重,适应性强。
- 结合定性和定量分析:可以同时考虑定性与定量的因素,使评价更加全面。
- 易于理解和实现:基本原理直观,容易被非专业人士理解并应用。
2万+

被折叠的 条评论
为什么被折叠?



