一、题目
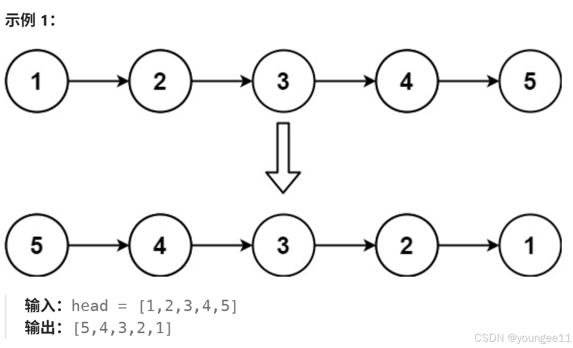
给定一个单链表的头节点head,请反转链表,并返回。

二、思路
1、在while循环中反转两个节点,存下一个节点,指针改成反向,双指针往前走。
三、代码
class Solution {
public ListNode reverseList(ListNode head) {
ListNode pre = null;
ListNode cur = head;
while(cur != null){
ListNode temp = cur.next;
cur.next = pre;
pre = cur;
cur = temp;
}
return pre;
}
}
247

被折叠的 条评论
为什么被折叠?



