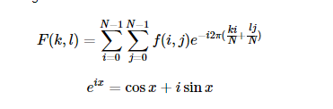
离散傅里叶变换




#include "opencv2/core.hpp"
#include "opencv2/imgproc.hpp"
#include "opencv2/imgcodecs.hpp"
#include "opencv2/highgui.hpp"
#include <iostream>
using namespace cv;
using namespace std;
static void help(char ** argv)
{
cout << endl
<< "This program demonstrated the use of the discrete Fourier transform (DFT). " << endl
<< "The dft of an image is taken and it's power spectrum is displayed." << endl << endl
<< "Usage:" << endl
<< argv[0] << " [image_name -- default lena.jpg]" << endl << endl;
}
int main(int argc,char**argv)
{
help(argv);
const char* filename=argc>=2?argv[1]:"lena.jpg";
Mat I = imread( samples::findFile( filename ), IMREAD_GRAYSCALE);
if( I.empty()){
cout << "Error opening image" << endl;
return EXIT_FAILURE;
}
Mat padded;
int m=getOptimalDFTSize(I.rows);
int n=getOptimalDFTSize(I.cols);
//expand input image to optimal size,对于数字2、3、5的倍数的 图像大小,速度最快
copyMakeBorder(I,padded,0,m-I.rows,0,n-I.cols,BORDER_CONSTANT,Scalar::all(0));
//转为浮点型,并使用另一个通道将其展开以保存复值
Mat planes[]={Mat_<float>(padded),Mat::zeros(padded.size().CV_32F)};
Mat complexI;
merge(planes,2,complexI); // Add to the expanded another plane with zeros
dft(complexI,complexI);// this way the result may fit in the source matrix
// compute the magnitude and switch to logarithmic scale
// => log(1 + sqrt(Re(DFT(I))^2 + Im(DFT(I))^2))
//分为实部和虚部
split(complexI,planes);// planes[0] = Re(DFT(I), planes[1] = Im(DFT(I))
magnitude(planes[0],planes[1],planes[0]);// planes[0] = magnitude
Mat magI=planes[0];
//对数变换,缩小范围便于显示
magI+=Scalar::all(1);
log(magI,magI);
// crop the spectrum, if it has an odd number of rows or columns
magI=magI(Rect(0,0,magI.cols&-2,magI.rows&-2));
// rearrange the quadrants of Fourier image so that the origin is at the image center
int cx=magI.cols/2;
int cy=magI.rows/2;
Mat q0(magI, Rect(0, 0, cx, cy)); // Top-Left - Create a ROI per quadrant
Mat q1(magI, Rect(cx, 0, cx, cy)); // Top-Right
Mat q2(magI, Rect(0, cy, cx, cy)); // Bottom-Left
Mat q3(magI, Rect(cx, cy, cx, cy)); // Bottom-Right
Mat tmp; // swap quadrants (Top-Left with Bottom-Right)
q0.copyTo(tmp);
q3.copyTo(q0);
tmp.copyTo(q3);
q1.copyTo(tmp); // swap quadrant (Top-Right with Bottom-Left)
q2.copyTo(q1);
tmp.copyTo(q2);
normalize(magI, magI, 0, 1, NORM_MINMAX); // Transform the matrix with float values into a
// viewable image form (float between values 0 and 1).
imshow("Input Image" , I ); // Show the result
imshow("spectrum magnitude", magI);
waitKey();
return EXIT_SUCCESS;
}

这段代码展示了如何利用OpenCV库对灰度图像进行离散傅里叶变换(DFT),并计算其功率谱。程序首先读取图像,然后通过复制边界将图像调整到适合DFT的大小。接着,它执行DFT,计算复数的幅度,转换为对数尺度,裁剪并重新排列频谱,最后显示输入图像及其功率谱。这是一个关于图像处理和频域分析的实例。
3995

被折叠的 条评论
为什么被折叠?



