概述
在我们学习深度学习模型,或者了解某种算法的过程中,经常会看到如卷积层,全连接层,归一化,正则化,激活函数等概念,这些东西如果直接看的话十分的多且杂乱,在此对其进行梳理。
神经网络简介
神经网络是深度学习中最常见也是最基础的概念,神经网路的基础组成单元为神经元,神经网络的通常包括:输入层,隐含层,输出层。以下对一些神经网络做一个简介。
感知器(Perceptron)
第一代神经网络就是感知器(Perceptron)。感知器是一个二分类线性分类模型,其输入为实例的特征向量,输出为实例的类别。
(上图为一个单层感知器)
图中输入向量为x,权重向量为w,w0为偏置。可以看到它只是将输入进行线性的计算再输出1或者-1,也就是判断其正确与否。可以看成一个简单的二元线性分类器。
多层感知器(MLP)
多层感知器就是含有至少一个隐藏层的由全连接层组成的神经网络,且每个隐藏层的输出通过激活函数进行变换,多层感知机的层数个各个隐藏层中隐藏单元个数都是超参数,多层感知器的提出解决了异或问题,实现非线性分类。

提到多层感知器就离不开两个概念:反向传播和激活函数。
反向传播算法可以参考李宏毅老师的详解:
http://speech.ee.ntu.edu.tw/~tlkagk/courses_MLSD15_2.html
激活函数则是在隐藏层中使用,将线性组合得到的结果进行处理,得到一个非线性的值。在函数中会详细介绍
卷积神经网络(CNN)
卷积神经网络是一种用来处理局部和整体相关性的计算网络结构,因为图像数据具有显著的局部与整体关系,CNN多用于对图像的处理。一般来说CNN包括输入层,卷积层,池化层,全连接层。
输入层:通常三维彩色图像,以图像分类任务为例,输入层输入的图像一般包含RGB三个通道,是一个由长宽分别为
H
H
H和
W
W
W组成的3维像素值矩阵
H
×
W
×
3
H\times W \times 3
H×W×3,根据计算能力、存储大小和模型结构的不同,卷积神经网络每次可以批量处理的图像个数不尽相同,若指定输入层接收到的图像个数为
N
N
N,则输入层的输出数据为
N
×
H
×
W
×
3
N\times H\times W\times 3
N×H×W×3。
卷积层:通常用作对输入层输入数据进行特征提取,数学原理是对两张像素矩阵进行点乘求和的数学操作,其中一个矩阵为输入的数据矩阵,另一个矩阵则为卷积核(滤波器或特征矩阵),求得的结果表示为原始图像中提取的特定局部特征。

池化层:池化层又称为降采样层(Downsampling Layer),作用是对感受域内的特征进行筛选,提取区域内最具代表性的特征,能够有效地降低输出特征尺度,进而减少模型所需要的参数量。按操作类型通常分为最大池化(Max Pooling)、平均池化(Average Pooling)和求和池化(Sum Pooling),它们分别提取感受域内最大、平均与总和的特征值作为输出,最常用的是最大池化。
全连接层:全连接层(Full Connected Layer)负责对卷积神经网络学习提取到的特征进行汇总,将多维的特征输入映射为二维的特征输出。
通常来说不同层次的卷积操作提取到的特征类型是不相同的,在具体的设计过程中可根据需求来设计卷积神经网络。
循环神经网络(RNN)
CNN多用于处理图像这类具有显著的局部与整体关系的数据,但是现实生活有很多数据属于时间序列数据,即在不同时间点上收集到的数据,这类数据反映了某一事物、现象等随时间的变化状态或程度。比如:当文本与视频单独的看一个文字或者一帧图像,都无法理解它们的意思,需要对它们连起来的这个序列进行分析,才能准确理解其含义。为了解决一些这样类似的问题,能够更好的处理序列的信息,RNN就由此诞生了。

与CNN相比,RNN的结构比较简单, 它主要有输入层,隐藏层, 输出层组成。
对于之前提到的普通神经网络难以处理的时序数据,RNN引入了隐状态
h
h
h(hidden state),
h
h
h可对序列数据提取特征,接着再转换为输出。


其中
X
X
X为向量,
y
y
y为输出,
h
h
h为隐状态。这就是最经典的RNN结构
生成对抗式网络(GAN)
作为近年来的热门项目,GAN在不少邻域都取得了不错的效果,GAN由生成器和判别器组成,生成器负责生成样本,判别器负责判断生成器生成的样本是否为真。生成器要尽可能迷惑判别器,而判别器要尽可能区分生成器生成的样本和真实样本。我们可以通俗的把它表示如下:

上述模型左边是生成器G,其输入是
z
z
z,对于原始的GAN,
z
z
z是由高斯分布随机采样得到的噪声。噪声
z
z
z通过生成器得到了生成的假样本。生成的假样本与真实样本放到一起,被随机抽取送入到判别器D,由判别器去区分输入的样本是生成的假样本还是真实的样本。整个过程简单明了,生成对抗网络中的“生成对抗”主要体现在生成器和判别器之间的对抗。
以上就是一些常用的神经网络的简介,具体的详解可以参考博客。
常用函数与术语
深度学习模型的设计和优化中使用到了各式各样的方法,在此对一些常见的术语和函数做一个介绍。
激活函数
激活函数的意义在于讲神经网络中简单的线性组合非线性化,非线性激活函数能够使神经网络逼近任意复杂的函数。如果没有激活函数引入的非线性,多层神经网络就相当于单层的神经网络。以下对常用的激活函数进行一个简介,不做详细解释:
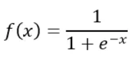
Sigmoid激活函数:Sigmoid函数的作用将是一个实数值压缩到0至1的范围内。在数学上表示为:

Sigmoid函数作为初期的一个经典函数曾经被广泛的使用,但是随着深度学习的发展它的问题也暴露出来,梯度消失,非零中心,消耗大等。于是有更多新的激活函数的出现。
Tanh激活函数:Tanh也被称为双曲正切激活函数。类似sigmoid,它的作用也是把一个实数值压缩。与sigmoid不同的是,tanh在-1到1的输出范围内是零均值的。公式如下:


Tanh函数的出现解决了sigmoid函数输出不是以零为中心的问题,但是没有解决函数过饱和后梯度消失和消耗过大的问题。
ReLU激活函数:ReLU也被称为修正线性函数。它能保证输出值为非负数,公式如下:

ReLU的出现至少在正区间解决了梯度消失的问题,而且从形式上看它只有线性关系,不需要指数计算,计算速度都比sigmoid和tanh都要快。但是它的输出也不是以零为中心且随着训练的进行,可能会出现神经元死亡,权重无法更新的情况。
Leaky ReLU激活函数:Leaky ReLU与ReLU不同的是,在负区间它并不是直接讲函数值设为零,而是增加了一个超参数,避免出现神经元死亡的情况:

它解决了训练过程中神经元死亡的问题,但是超参数需要先验知识的支持。
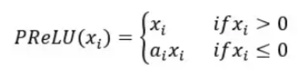
PReLU激活函数:PReLU也被称为带参数的修正线性函数。它的思想是引进任意超参数,而这个可以通过反向传播学习(leaky relu中的超参数是人为设定的)。公式如下:

神经元在负区间内自动选择最好的斜率,它可以变成单纯的ReLU激活函数或者Leaky ReLU激活函数。
不同的激活函数的功能不同,在设计激活函数的时候应该根据具体需求来进行分析设计。
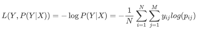
损失函数
损失函数(Loss Function)又叫做误差函数,用来衡量算法的运行情况,估量模型的预测值与真实值的不一致程度,是一个非负实值函数,通常使用
L(Y, f(x))来表示。损失函数越小,模型的鲁棒性就越好。损失函数是经验风险函数的核心部分,也是结构风险函数重要组成部分。常用的损失函数有:
0-1损失函数
如果预测值和目标值相等,值为0,如果不相等,值为1。

绝对值损失函数

平方损失函数

对数损失函数

其中, Y 为输出值, X为输入值 L 为损失函数. N为输入样本总数, M为可能的类别数,
y
i
j
y_{ij}
yij 是一个二值指标, 表示类别 j 是否是输入实例 xi 的真实类别.
p
i
j
p_{ij}
pij 为模型或分类器预测输入实例 xi 属于类别 j 的概率.
指数损失函数

Hinge损失函数

其中y是预测值,范围为(-1,1),t为目标值,其为-1或1。
在了解损失函数的同时我们要注意几个概念;通常损失函数的概念出现最多,但是如果要细分的话可按照以下定义进行理解。
损失函数:主要指单个样本的损失或误差;
代价函数:输入模型的全部样本的评价误差。
目标函数:相当于代价函数 + 正则化项
在实际的应用中,并不是损失函数越小,就代表模型拟合的越好。还有一个概念叫风险函数(risk function)。风险函数是损失函数的期望,这是由于输入输出的(X,Y)遵循一个联合分布,但是这个联合分布是未知的,所以无法计算。但是可以根据训练集,f(X)关于训练集的平均损失称作经验风险(empirical risk),公式如下:

但是如果过度学习训练集,导致它在真正预测时效果会很不好,这种情况称为过拟合(over-fitting)。不仅要让经验风险最小化,还要让结构风险最小化。所以定义了一个函数J(f),这个函数专门用来度量模型的复杂度,在机器学习中也叫正则化(regularization)。常用的有L1, L2范数。最终的优化函数为:

梯度下降
在上文提到神经网络根据代价函数来实现对参数的更新,在此介绍一种最常见的优化算法:梯度下降,梯度下降法有以下几个作用:
- 梯度下降是迭代法的一种,可以用于求解最小二乘问题。
- 在求解机器学习算法的模型参数,即无约束优化问题时,主要有梯度下降法(Gradient Descent)和最小二乘法。
- 在求解损失函数的最小值时,可以通过梯度下降法来一步步的迭代求解,得到最小化的损失函数和模型参数值。
- 如果我们需要求解损失函数的最大值,可通过梯度上升法来迭代。梯度下降法和梯度上升法可相互转换。
梯度下降法算法步骤如下:
(1)确定优化模型的假设函数及损失函数。假设函数为:

其中,
θ
i
,
x
i
(
i
=
0
,
1
,
2
,
.
.
.
,
n
)
\theta_i,x_i(i=0,1,2,...,n)
θi,xi(i=0,1,2,...,n)分别为模型参数、每个样本的特征值。
损失函数为:

(2)参数初始化
主要初始化参数、算法迭代步长、终止距离。初始化时可以根据经验初始化。也可选择随机初始化。
(3)迭代计算。
计算当前位置时损失函数的梯度,对
θ
i
,
\theta_i,
θi,,其梯度表示为:

计算当前位置下降的距离;

判断是否终止;
更新所有的
θ
i
{\theta}_i
θi,再重复步骤。
9万+

被折叠的 条评论
为什么被折叠?



