- 博客(15)
- 收藏
- 关注
原创 图像处理之OTSU阈值
2 循环所有灰阶,分别以每个灰阶作为阈值将像素分为前景类和背景类,计算前景类和背景类的概率、灰度平均值, 根据前景类和背景类对应的概率和平均灰度,计算当前灰阶最为阈值时对应的类间差。,从数学表达式中可以看出,当数据差异程度越小,数据与平均值之间的差异越小,因此方差越小,当数据差异程度较大时,数据与平均值之间的差距越大,因此方差越大。方差为度量数据差异程度的一个量,数据的方差越大,表示数据间的差异程度越大,反之,则数据间的差异程度越小。1 统计输入图像的每个灰阶对应的像素个数,并计算每个灰阶对应的概率;
2024-10-20 22:18:39
1339
原创 图像阈值分割处理
利用图像中要提取的目标区域与其背景在灰度特性上的差异,把图像看作具有不同灰度级的两类区域(目标区域和背景区域)的组合,选取一个比较合理的阈值,以确定图像中每个像素点应该属于目标区域还是背景区域,从而产生相应的二值图像。(百度百科定义)。简单来说,图像阈值就是选择一个或多个合适的值,结合图像的像素灰度值将像素分为两类(目标和背景)。
2024-08-11 22:19:47
586
原创 FasterRCNN网络原理介绍
fast RCNN是在RCNN基础上的改进,主要改进点是使用一个网络同时进行目标和分类,且通过提出的ROP算法,消除了对输入图像大小的限制。(d)调整窗口大小比例,共生成k个大小不同的窗口,重复(b)、(c)步骤,共生成4k个box坐标信息和2k个box是否包含目标的scores信息。(c)、将生成的特征向量分别输入网络box回归层和box分类层,分别输出box的4个坐标数值和两个类别(包含目标或者不包含目标)。(b)、卷积共享:与后续的目标分类以及目标定位共享卷积层,使用同一卷积特征图;
2024-07-28 14:51:59
768
原创 图像滤波之高斯滤波
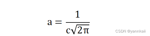
高斯函数的曲线形状为钟状,如图1所示,上式中a、b、c为常实数,其中a为高斯曲线的尖峰,b为高斯函数曲线尖峰位置的X坐标位置,c为标准差,表征高斯函数曲线的宽度图1当且仅当高斯函数的积分为1,通俗点讲,就是高斯曲线以下的面积为1,此时高斯函数可以写为:!
2024-06-23 18:30:48
558
原创 图像处理之双边滤波
值域核通过计算模板窗口中每个位置对应的灰度值与模板窗口中心对应的灰度值之间的差值来分配该位置的权重,如果该位置对应灰度与中心坐标对应灰度差异较小,则权重较大,反之则权值较小,这也是双边滤波能够在滤除噪声同时保留边缘的关键所在。空间域核与高斯滤波核类似,主要通过模板窗口中各位置与模板窗口中心的欧式距离给模板窗口中每一个位置计算分配一个权值,权值分布为模板窗口中心大边缘小(具体权值分布模型可参考高斯滤波器)。上式中为模板窗口中心位置灰度,为模板窗口中其他位置灰度;从滤波前后的效果来看,噪声被去除,边缘被保留。
2024-06-08 17:17:40
869
原创 图像中值滤波原理及代码
设置一个nxm(n、m均为奇数)的滤波核,用该滤波核遍历图像中的每一个像素点(当遍历到哪个点时该点成为当前点),用核区域内像素值的中值代替当前点的灰度值,直至遍历完图像中所有像素点。
2024-04-22 22:14:22
309
原创 图像均值滤波原理及代码
设置一个nxm(n、m均为奇数)的滤波核,用该滤波核遍历图像中的每一个像素点(当遍历到哪个点时该点成为当前点),用核区域内像素平均灰度值代替当前点的灰度值,直至遍历完图像中所有像素点。
2024-04-21 21:39:36
513
1
原创 SPPNet原理详解
简单来说就是不管feature map的大小是多少,设置多个不同大小的池化核,分别对feature map进行池化,池化核的大小根据特征图的大小和设定好的池化后特征图的大小去计算。新的网络结构不需要对目标进行crop/warp,最重要的是对输入图像的大小不在进行限制,可以输入任意大小的图像,这主要得益于增加的空间金字塔池化(spatial pyramid pooling)。1、网络输入图像大小需固定:全连接层需要输入固定大小的输入,由于这个限制,输入图像的大小需固定。256),传输到全连接层。
2024-04-20 22:27:22
613
原创 multiBox介绍
利用训练好的网络预测K个bounding boxes,如果有需要可以利用置信度和非极大值抑制筛选出少量高置信度的boxes。:以左上、右下两个坐标点作为每个box的4个节点值,且利用图像的维度将这4个值进行归一化处理,通过网络最后一个隐藏层去预测。,预测多个bounding boxes的坐标,并预测出每个box的置信度(用于判断box包含目标可能性的大小);作者利用DNN,输出一定数量的bounding boxes,以及每个box包含目标的置信度。3、使用了一种无类别的方式去训练目标box预测器。
2024-04-13 14:59:21
591
原创 图像滤波处理
频域滤波是将图像从空间域转换到频域,然后频率域中对图像的频谱作分析处理,以改变图像的频率特征,最后再由频域转换回空间域。(2)如果需要尽量保存图像细节的同时去除噪声,这时则推荐使用双边滤波或者高斯滤波,这两种滤波都是利用高斯核去滤除噪声,能够实现在保存图像细节的同时滤除图像中的噪声。(4)如果目标属于一个低频信号,则使用低通滤波,如果是高频信号,则使用高通滤波,如果目标频率属于某一个区间,则使用带通滤波。2、频域滤波:一种基于图像的频率域进行处理的方法,例如低通滤波、高通滤波、带通滤波以及带阻滤波等。
2024-04-08 22:13:01
695
原创 RCNN原理简介
RCNN是一种two stage目标检测网络;两阶段(two stage)目标检测网络分为候选区域(region proposal。
2024-03-10 16:30:36
450
1
原创 keras实现Lenet5(手写字符识别mnist)
Lenet流程第一层为6个5X5卷积核,步长为11,不扩展边界,输入单通道的灰度图像,输入图像尺寸为32x32;第二层为2X2的最大值池化层,步长为2X2;第三层为16个5X5卷积核,步长为11,不扩展边界;第四层为2X2的最大值池化层,步长为2X2;第五层为展平层,把前面输出的二维数据矩阵打开展开成一维数据,和全连接层对接第六层为全连接层,120个节点;第七层为全连接层,84个节点;第八层为输出层,激活函数为softmax。代码:from keras.models import S.
2022-05-15 11:26:34
593
原创 keras实现CNN+mnist
CNN的基本结构:1.图像就是输入层2.接着是CNN特有的卷积层(convolution),卷积层的自带激活函数使用的是ReLU3.接着是CNN特有的池化层(pooling),4.卷积层+池化层的组合可以在隐藏层中出现很多次。也可以灵活组合,卷积+卷积+池化、卷积+卷积等5.在若干卷积层+池化层之后是全连接层(fully connected layer),其实就是DNN结构,只是输出层使用了Softmax激活函数来做图像识别的分类6.一般fc就为CNN的全连接层keras实现CNN+mn.
2022-05-15 11:21:16
524
空空如也
空空如也
TA创建的收藏夹 TA关注的收藏夹
TA关注的人
RSS订阅