图像缩放是指将图像的尺寸变小或变大的过程,也就是减少或增加源图像数据的像素个数。图像缩放一定程度上会造成信息的丢失,因此需要考虑适宜的方法进行操作。
下面介绍两种常用的图像缩放方法的原理及实现
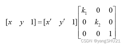
1.基于等间隔提取图像缩放
等间隔提取图像缩放是通过对源图像进行均匀采样来完成的。对于源图像数据f(x,y),其分辨率为M*N,如果将其分辨率改变成m*n,对于等间隔采样而言,其宽度缩放因子k1=m/M,高度缩放因子k2=n/N,对于图像而言,图像缩放在其水平方向的等间隔采样为k1,垂直方向上的等间隔采样为k2。若满足k1=k2,源图像数据将等比例缩放,否则源图像数据的宽度和高度将发生不同程度的缩放,造成图像变形扭曲现象

2.基于区域子块图像缩放
区域子块提取图像缩放是通过对源图像进行区域子块划分,然后提取子块中像素值作为采样像素以构成新图像来实现的。提取子块像素值常用的方法有计算子块像素的中值与计算子块像素的均值。对源图像进行区域划分同样也有多种不同方法,常用方法是根据缩放因子等比例提取子块与自适应因子提取子块,假设源图像数据f(x,y)的分辨率为8*8,图像g(x,y)的分辨率为2*2,则区域子块提取方式如下:
子块区域提取后g(x,y)为下式

本文介绍了两种图像缩放方法:等间隔提取和基于区域子块的图像缩放。等间隔提取通过均匀采样源图像像素,而区域子块方法涉及划分图像区域并计算平均值或中值。提供的OpenCV代码示例展示了如何实现这两种缩放技术。
最低0.47元/天 解锁文章
5793





