LRU是什么
1.LRU其实是一个内存替换算法的代称,而这个算法其实也就是模拟一下内存中catch的一个工作原理。
2.catch是什么?
catch其实就是位于CPU和主存间的快速RAM, 通常它不像系统主存那样使用DRAM技术,而使用昂贵但较快速的SRAM技术。 广义上的Cache指的是位于速度相差较大的两种硬件之间, 用于协调两者数据传输速度差异的结构。除了CPU与主存之间有Cache, 内存与硬盘之间也有Cache,乃至在硬盘与网络之间也有某种意义上的Cache── 称为Internet临时文件夹或网络内容缓存等。
注意:
- CPU:又叫中央处理器,其主要功能是进行运算和逻辑运算,内部结构大概可以分为控制单元、算术逻辑单元和存储单元等几个部分。
- RAM:随机存取存储器的缩写,又称作“随机存储器”,是与CPU直接交换数据的内部存储器,也叫主存(内存)。它可以随时读写,而且速度很快,通常作为操作系统或其他正在运行中的程序的临时数据存储媒介。
- DRAM:动态随机访问存储器,内存就是用DRAM做的。它的特点是只能将数据保持很短的时间。为了保持数据,DRAM使用电容存储。所以必须隔一段时间刷新一次,如果存储单元没有别刷新,存储信息就会丢失。(关机,内存里的东西就没了)
- SRAM:SRAM是静态随机存取存储器。所谓的“静态”,是指这种存储器只要保持通电,里面储存的数据就可以恒常保持。SRAM主要用于二级高速缓存(Level2Cache)。它利用晶体管来存储数据。SRAM不需要刷新电路即能保存它内部存储的数据。而DRAM(Dynamic Random Access Memory)每隔一段时间,要刷新充电一次,否则内部的数据即会消失,因此SRAM具有较高的性能。
3.LRU算法和Catch有什么联系?
因为Catch的容量是有限的,因此当Cache的容量用完后,而又有新的内容需要添加进来时, 就需要挑选并舍弃原有的部分内容,从而腾出空间来放新内容。LRU Cache 的替换原则就是将最近最少使用的内容替换掉。其实,LRU译成最久未使用会更形象, 因为该算法每次替换掉的就是一段时间内最久没有使用过的内容。
LRU算法实现思想
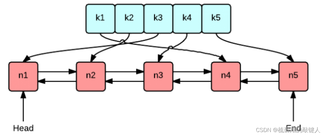
实现LRU Cache的方法和思路很多,但是要保持高效实现O(1)的put和get,那么使用双向链表和哈希表的搭配是最高效和经典的。使用双向链表是因为双向链表可以实现任意位置O(1)的插入和删除,使用哈希表是因为哈希表的增删查改也是O(1)。

主要是通过以上链表和哈希表进行操作的。
例题
如下图为LeetCode上的图

这道题的解决也主要是通过链表和哈希表进行解决的,如下:
class LRUCache {
public:
LRUCache(int capacity):_capacity(capacity)
{}
int get(int key) //因为是访问,如果该数存在,那么要调整一下位置
{
if(_hash_map.find(key) != _hash_map.end())
{
//先找到该节点
list<pair<int,int>>::iterator it = _hash_map[key];
//使用库函数将其移动到首端
Lru_list.splice(Lru_list.begin(),Lru_list,it);
return it->second;
}
else
{
return -1;
}
}
void put(int key, int value)
{
if(_hash_map.find(key) != _hash_map.end()) //存在即更新
{
list<pair<int,int>>::iterator it = _hash_map[key];
it->second = value;
Lru_list.splice(Lru_list.begin(),Lru_list,it);
}
else //不存在则加入,那么就要判断此时的容量了
{
if(Lru_list.size() == _capacity) //满则先删除
{
_hash_map.erase(Lru_list.back().first);
Lru_list.pop_back();
}
Lru_list.push_front(make_pair(key,value));
_hash_map[key] = Lru_list.begin();
}
}
private:
typedef list<pair<int,int>>::iterator ListNode;
//查找
unordered_map<int,ListNode> _hash_map;
//保存
list<pair<int,int>> Lru_list;
size_t _capacity;
};
本文详细介绍了LRU(最近最少使用)缓存淘汰算法及其在内存管理中的应用。解释了CPU缓存、RAM类型(如DRAM和SRAM)的概念,并深入探讨了如何通过双向链表和哈希表高效实现LRU算法。
163

被折叠的 条评论
为什么被折叠?



