支持向量机原理
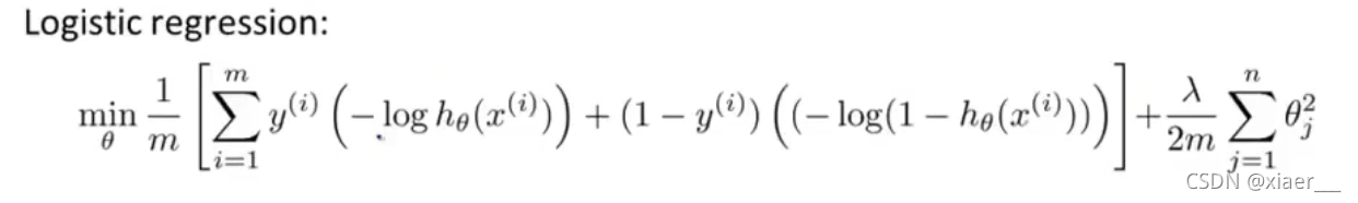
首先先从线性回归下手,下面是线性回归的代价函数,目的是求出最优化参数θ

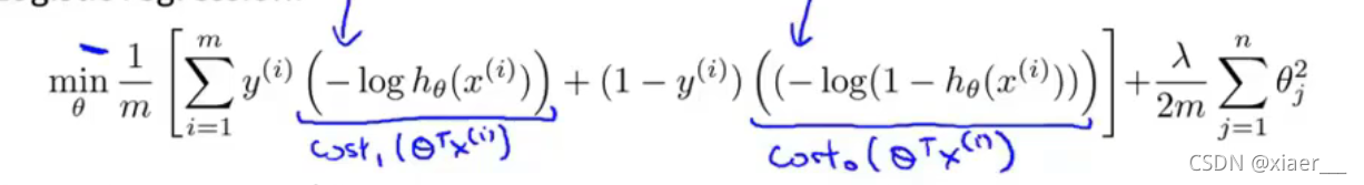
将函数经过这样的变化:


最终得到支持向量机的代价函数:

其中c类似于正则化参数
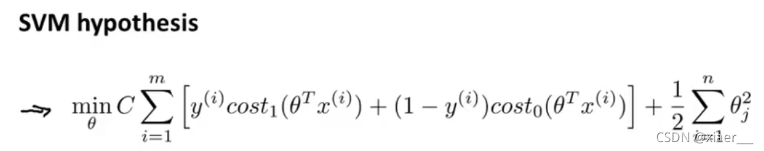
而支持向量机的假设模型是这样的:

支持向量机选择决策边界的原理是:
其中θ是决策边界在原点的法向量,例如下图:</
本文介绍了支持向量机(SVM)的基本原理及其在机器学习中的应用。详细讲解了线性回归代价函数如何转化为SVM的代价函数,并解释了SVM如何通过最大化决策边界来优化模型。此外,还探讨了高斯核函数的应用,它可以用于寻找非线性的决策边界。
首先先从线性回归下手,下面是线性回归的代价函数,目的是求出最优化参数θ

将函数经过这样的变化:


最终得到支持向量机的代价函数:

其中c类似于正则化参数
而支持向量机的假设模型是这样的:

支持向量机选择决策边界的原理是:
其中θ是决策边界在原点的法向量,例如下图:</
3672
2285
4226
709

被折叠的 条评论
为什么被折叠?