声明:问题描述来源leetcode
一、问题描述:
530. 二叉搜索树的最小绝对差
难度简单395
给你一个二叉搜索树的根节点 root ,返回 树中任意两不同节点值之间的最小差值 。
差值是一个正数,其数值等于两值之差的绝对值。
示例 1:

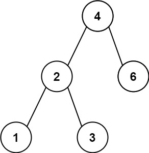
输入:root = [4,2,6,1,3]
输出:1
示例 2:

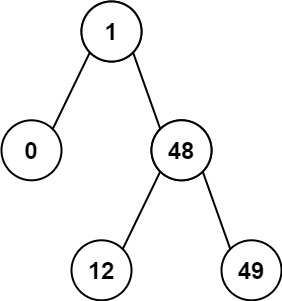
输入:root = [1,0,48,null,null,12,49]
输出:1
提示:
- 树中节点的数目范围是
[2, 104] 0 <= Node.val <= 105
二、题解:
思路1:
中序遍历,取链表,取链表相邻元素的最小差值
和98. 验证二叉搜索树是类似的。
public class Solution {
List<Integer> list = new LinkedList<>();
public int getMinimumDifference(TreeNode root) {
search(root);
return compare();
}
private int compare() {
int result = Integer.MAX_VALUE;
for (int i = list.size() - 1; i > 0 ; i--) {
int number = list.get(i) - list.get(i - 1);
if (number < result) result = number;
}
return result;
}
private void search(TreeNode root) {
if (root.left != null) search(root.left);
list.add(root.val);
if (root.right != null) search(root.right);
}
}
思路2:
基于思路1的优化
也就是更新下比较大小的方式。不使用链表了,因为链表操作太耗时间和空间了。
public class Solution {
int result = Integer.MAX_VALUE;
int before = Integer.MAX_VALUE;
public int getMinimumDifference(TreeNode root) {
search(root);
return result;
}
private void search(TreeNode root) {
if (root.left != null) search(root.left);
if (before != Integer.MAX_VALUE){
int temp = root.val - before;
if (temp < result) result = temp;
}
before = root.val;
if (root.right != null) search(root.right);
}
}

该博客探讨了如何解决LeetCode上的530题,即在给定的二叉搜索树中找到最小的两个节点值之间的绝对差。提供了两种解决方案:一种是通过中序遍历构造链表并比较相邻元素;另一种是优化后的中序遍历,直接在遍历过程中更新最小差值。这两种方法都利用了二叉搜索树的特性,减少了时间和空间复杂度。
1203

被折叠的 条评论
为什么被折叠?



