2020-01-08

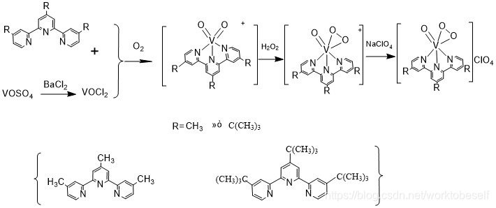
配合物的合成路线

感谢你提供的列名信息,我们可以看到: - `"...1"`:可能是 Excel 中第一列无标题的自动命名(比如行号或空列),可以忽略。 - `"STATION"`:站点编号 - `"NAME"`:站点名称 - `"LATITUDE"`:纬度 - `"LONGITUDE"`:经度 - `"ELEVATION"`:海拔 - `"statement"`:可能是一个状态或注释字段 - 后续从 `"2020-01-01"` 到 `"2020-01-31"` 是每日风速数据(共31天) --- ### ✅ 目标更新: 你要做的是:**根据给定的 SHP 范围裁剪站点,保留落在该地理范围内的所有站点及其完整的逐日风速数据。** 下面是适配你实际列名的完整 R 语言代码,并处理好坐标、投影和数据结构问题。 ```r # 加载所需包 library(sf) library(readxl) library(dplyr) # ------------------- 参数设置 ------------------- excel_file <- "your_wind_station_data.xlsx" # 替换为你的实际文件路径 sheet_name <- "Sheet1" # 替换为你的工作表名 shp_file <- "your_boundary.shp" # 替换为你的SHP文件路径 # ------------------- 步骤1: 读取Excel数据 ------------------- df <- read_excel(excel_file, sheet = sheet_name) # 查看列名确认 names(df) <- make.names(names(df)) # 确保列名是合法的(防止空格等问题) cat("原始列名:\n"); print(names(df)) # ------------------- 步骤2: 提取空间信息并创建sf对象 ------------------- # 使用 LATITUDE 和 LONGITUDE 创建空间点(注意:顺序是 LON, LAT) stations_sf <- st_as_sf(df, coords = c("LONGITUDE", "LATITUDE"), # 经度在前,纬度在后 crs = 4326, # WGS84 地理坐标系 dim = "XY") # ------------------- 步骤3: 读取SHP边界并确保其CRS ------------------- boundary <- st_read(shp_file) # 如果boundary不是投影坐标系(如EPSG:32649),则需要检查并转换 # 假设你知道目标投影是 UTM Zone 49N (EPSG:32649),我们统一到这个坐标系进行空间操作 if (is.na(st_crs(boundary))) { stop("SHP文件没有坐标系信息,请先定义正确的CRS!") } # 将站点数据重投影到与SHP相同的坐标系下进行空间判断 stations_projected <- st_transform(stations_sf, crs = st_crs(boundary)) # ------------------- 步骤4: 空间裁剪 —— 找出在SHP范围内的站点 ------------------- # 使用 st_intersects 或 st_within 进行空间子集提取 # 这里使用 [s,t] 语法:返回落在任意多边形内的站点 stations_clipped <- stations_projected[boundary, , op = st_intersects] # 若你想更严格地要求“完全包含”,可用 st_within,但通常 st_intersects 更通用 # ------------------- 步骤5: 转回原始经纬度并提取属性表格 ------------------- # 将结果转回WGS84以便保留原始经纬度格式输出 stations_wgs84 <- st_transform(stations_clipped, crs = 4326) # 去掉geometry列,恢复为普通data.frame,同时保留原始所有列(包括每日数据) result_df <- st_drop_geometry(stations_wgs84) # 可选:重新排序列,把时间序列放在后面 date_cols <- grep("^\\d{4}-\\d{2}-\\d{2}", names(result_df), value = TRUE) non_date_cols <- setdiff(names(result_df), date_cols) final_df <- select(result_df, c(non_date_cols, date_cols)) # 按逻辑排序 # ------------------- 步骤6: 导出结果 ------------------- write.csv(final_df, "clipped_stations_202001.csv", row.names = FALSE, na = "") cat("共保留了", nrow(final_df), "个站点在SHP范围内。\n") ``` --- ### ✅ 关键说明: | 功能 | 说明 | |------|------| | `coords = c("LONGITUDE", "LATITUDE")` | 必须是 **经度在前,纬度在后**,否则位置错误! | | `crs = 4326` | 表示输入的经纬度使用 WGS84 坐标系 | | `st_transform(...)` | 将点从地理坐标(度)转为投影坐标(米),确保与 SHP 在同一空间参考下比较 | | `st_intersects` | 判断点是否与多边形相交(即落在内部),适用于大多数情况 | | `st_drop_geometry()` | 移除空间结构,得到纯数据框用于导出 | > 💡 输出的 CSV 文件将包含原始所有列,包括 `STATION`, `NAME`, `LATITUDE`, `LONGITUDE`, `ELEVATION`, `statement` 和所有日期列(如 `2020-01-01` 等),仅保留位于 SHP 范围内的站点。 --- ### ✅ 示例输出片段(final_df 头几行): ``` ...1 STATION NAME LATITUDE LONGITUDE ELEVATION statement 2020-01-01 2020-01-02 ... 1 1 101 Beijing 39.90 116.4 50.0 good 3.2 4.1 2 2 102 Tianjin 39.08 117.2 10.0 good 5.0 3.8 ... ``` --- ###
评论
成就一亿技术人!
拼手气红包6.0元
还能输入1000个字符
 
红包 添加红包
表情包 插入表情
 条评论被折叠 查看
添加红包

请填写红包祝福语或标题

红包个数最小为10个

红包金额最低5元

当前余额3.43前往充值 >
需支付:10.00
成就一亿技术人!
领取后你会自动成为博主和红包主的粉丝 规则
hope_wisdom
发出的红包
实付
使用余额支付
点击重新获取
扫码支付
钱包余额 0

抵扣说明:

1.余额是钱包充值的虚拟货币,按照1:1的比例进行支付金额的抵扣。
2.余额无法直接购买下载,可以购买VIP、付费专栏及课程。

余额充值