声明:对于作者的原创代码,禁止转售倒卖,违者必究!
本期算法由作者自行改进,对目前比较火的蜣螂算法进行了改进。
本期内容与创新点足够支撑写一篇论文!需要的小伙伴请速度下载,获取代码的方式放在文末了。
改进策略详解
关于原始蜣螂算法的原理网可以参考这篇文章,本文就不再详细介绍,本期算法是作者在参考了网上一些文献后自行改进的,接下来直接上改进策略:
①采用Piecewise混沌映射初始化蜣螂种群
由于基本蜣螂搜索算法的初始种群是随机生成的,无法保证个体的初始位置在搜索空间中的均匀分布,影响了算法的搜索速度和优化性能。在改进蜣螂算法的初始化过程中引入了Piecewise映射,增加初始种群的遍历性。
代码中可以直接修改chaos()的第一个参数,修改不同的混沌映射。一共10种混沌映射可供选择!
Piecewise映射原理如下:
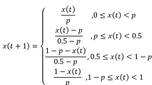
混沌映射是生成混沌序列的一种方法,常见的混沌映射方式有 Logistic映射、Tent映射、Circle映射,而Piecewise映射作为混沌映射的典型代表,数学形式简单,具有遍历性和随机性。Piecewise混沌映射也称为PWLCM混沌映射,Piecewise混沌映射描述如下:
piecewise映射原理是指利用分段函数来描述一个整体函数的原理。它通过将整体函数的定义域划分成若干个子区间,并在每个子区间上定义相应的表达式。这样,整体函数就可以通过组合这些子区间上的表达式来得到。公式如下:

②采用随机游走策略对蜣螂滚球行为进行扰动
随机游走策略公式如下:

取一个随机函数r(t)如式

由于智能算法的行动轨迹有一定的范围,因而不能直接用上式来更新算法的位置。为了保证算法行走在一定的范围内,需要对其进行归一化,如下式所示。

式中:Xit为第i只蜣螂在第t次迭代中的位置;αi和bi分别为第i维随机游走变量的最小值和最大值;ci和di分别为第i维随机游走变量在第t次迭代的最小值和最大值。
随机游走策略参考文献:马小晶,贺航,王宏伟等.基于改进麻雀搜索算法的最大指数熵分割方法[J].科学技术与工程,2023,23(16):6983-6992.
③纵横交叉策略对蜣螂滚球行为进行扰动

纵横交叉策略加在蜣螂算法的最后,对蜣螂种群全体进行扰动。同样为了不增加算法复杂度,本次改进引入了一个纵横交叉策略因子pv。这里就不再透露更多改进细节。
更多原理细节详解,作者已将其写成一个word供大家理解程序。word与代码打包在了一起。
结果展示
在CEC2005函数集进行测试,并与原始蜣螂算法(DBO),麻雀算法(SSA),鹈鹕算法(POA),减法优化器算法(SABO),哈里斯鹰优化算法(HHO)进行比较。这些算法都是作者往期推荐的算法,效果都是很不错的!
并画出函数图像,迭代曲线,粒子轨迹图,平均收敛图和历史位置图。这几张图在很多智能算法的文献中会涉及到。
F1:

F3:

F6:

F7:

F8:

F12:

F13:

F15:

这里截了一些图,可以看到在CEC2005函数的测试效果还是非常不错的。
将每个算法迭代500次,蜣螂个数设置为30个,每个函数运行30次,箱线图结果如下:

求最优值,标准差,平均值,中值,最差值共五个指标,统计如下:
F1函数计算结果:
SCDBO:最优值:0 标准差:0 平均值:0 中值:0 最差值:0
DBO:最优值:1.0157e-173 标准差:9.5433e-108 平均值:1.7424e-108 中值:1.0471e-138 最差值:5.2271e-107
POA:最优值:1.6373e-119 标准差:1.4619e-105 平均值:4.3103e-106 中值:1.8127e-111 最差值:7.2434e-105
SSA:最优值:0 标准差:1.1972e-71 平均值:3.132e-72 中值:6.2763e-84 最差值:5.3019e-71
HHO:最优值:2.3021e-113 标准差:4.2745e-97 平均值:7.8179e-98 中值:7.309e-106 最差值:2.3414e-96
SABO:最优值:5.3654e-205 标准差:0 平均值:3.9743e-200 中值:3.4635e-201 最差值:3.728e-199
F2函数计算结果:
SCDBO:最优值:0 标准差:0 平均值:0 中值:0 最差值:0
DBO:最优值:1.9395e-82 标准差:8.9231e-47 平均值:1.6387e-47 中值:7.4942e-66 最差值:4.8883e-46
POA:最优值:7.6802e-60 标准差:1.2828e-52 平均值:2.7947e-53 中值:9.2082e-57 最差值:6.9708e-52
SSA:最优值:2.6386e-105 标准差:1.1085e-37 平均值:2.6762e-38 中值:1.9039e-43 最差值:5.8943e-37
HHO:最优值:1.6986e-63 标准差:6.2275e-50 平均值:1.3802e-50 中值:5.4125e-54 最差值:3.4129e-49
SABO:最优值:2.9781e-111 标准差:3.1509e-109 平均值:1.5485e-109 中值:3.653e-110 最差值:1.2224e-108
F3函数计算结果:
SCDBO:最优值:0 标准差:0 平均值:0 中值:0 最差值:0
DBO:最优值:7.9298e-140 标准差:7.4087e-90 平均值:1.3526e-90 中值:1.43e-120 最差值:4.0579e-89
POA:最优值:3.6236e-119 标准差:2.5966e-102 平均值:5.8095e-103 中值:2.1491e-109 最差值:1.4164e-101
SSA:最优值:0 标准差:7.303e-34 平均值:1.351e-34 中值:3.2315e-46 最差值:4.0015e-33
HHO:最优值:7.9145e-104 标准差:1.4316e-83 平均值:2.6918e-84 中值:6.8701e-94 最差值:7.8461e-83
SABO:最优值:1.887e-124 标准差:8.1132e-92 平均值:1.5261e-92 中值:1.346e-101 最差值:4.4465e-91
F4函数计算结果:
SCDBO:最优值:0 标准差:0 平均值:0 中值:0 最差值:0
DBO:最优值:4.5839e-78 标准差:2.1749e-53 平均值:4.1222e-54 中值:1.0567e-64 最差值:1.192e-52
POA:最优值:3.8501e-60 标准差:3.8074e-50 平均值:6.9934e-51 中值:1.8736e-55 最差值:2.0858e-49
SSA:最优值:0 标准差:3.3535e-31 平均值:1.0817e-31 中值:1.1586e-42 最差值:1.5018e-30
HHO:最优值:2.4065e-58 标准差:2.5452e-50 平均值:6.8289e-51 中值:5.6244e-53 最差值:1.3738e-49
SABO:最优值:2.0824e-86 标准差:1.611e-84 平均值:9.2585e-85 中值:1.8214e-85 最差值:7.5793e-84
F5函数计算结果:
SCDBO:最优值:1.4161e-17 标准差:1.3161e-06 平均值:3.8959e-07 中值:9.6891e-11 最差值:6.9578e-06
DBO:最优值:4.8681 标准差:0.25742 平均值:5.2779 中值:5.2965 最差值:6.0514
POA:最优值:5.5957 标准差:0.6753 平均值:6.4188 中值:6.2743 最差值:8.6983
SSA:最优值:1.2568e-11 标准差:1.3679e-05 平均值:8.3485e-06 中值:1.0955e-06 最差值:5.9257e-05
HHO:最优值:7.5118e-05 标准差:0.0092594 平均值:0.0054348 中值:0.0013188 最差值:0.034514
SABO:最优值:6.9428 标准差:0.57318 平均值:7.7414 中值:7.5954 最差值:8.932
F6函数计算结果:
SCDBO:最优值:0 标准差:0 平均值:0 中值:0 最差值:0
DBO:最优值:1.6759e-28 标准差:2.3742e-21 平均值:4.3682e-22 中值:7.7824e-26 最差值:1.3007e-20
POA:最优值:1.426e-06 标准差:0.16297 平均值:0.10968 中值:3.2748e-06 最差值:0.50795
SSA:最优值:0 标准差:1.5483e-32 平均值:6.6766e-33 中值:0 最差值:6.163e-32
HHO:最优值:1.5768e-07 标准差:9.2885e-05 平均值:5.1643e-05 中值:2.1108e-05 最差值:0.00047807
SABO:最优值:0.00082768 标准差:0.11675 平均值:0.084462 中值:0.0028509 最差值:0.31227
F7函数计算结果:
SCDBO:最优值:3.7485e-06 标准差:6.6253e-05 平均值:9.042e-05 中值:7.261e-05 最差值:0.00029542
DBO:最优值:8.9047e-05 标准差:0.00085674 平均值:0.0011393 中值:0.00097663 最差值:0.003253
POA:最优值:2.7519e-05 标准差:0.00010399 平均值:0.00018033 中值:0.00015875 最差值:0.0004199
SSA:最优值:0.00024343 标准差:0.00065505 平均值:0.00097657 中值:0.00074117 最差值:0.002631
HHO:最优值:2.4419e-05 标准差:0.00010443 平均值:0.00013761 中值:9.6844e-05 最差值:0.00039128
SABO:最优值:2.9006e-06 标准差:8.5269e-05 平均值:0.00013444 中值:0.00012065 最差值:0.00036824
F8函数计算结果:
SCDBO:最优值:-4189.8289 标准差:2.7751e-12 平均值:-4189.8289 中值:-4189.8289 最差值:-4189.8289
DBO:最优值:-4189.1149 标准差:561.3868 平均值:-3403.3438 中值:-3318.4727 最差值:-2524.1069
POA:最优值:-3495.3119 标准差:190.811 平均值:-3105.8922 中值:-3078.9208 最差值:-2783.9647
SSA:最优值:-3834.5139 标准差:297.1571 平均值:-3298.6531 中值:-3356.2094 最差值:-2644.0623
HHO:最优值:-4189.8288 标准差:321.7061 平均值:-4107.747 中值:-4189.758 最差值:-2502.2667
SABO:最优值:-2404.9981 标准差:212.2788 平均值:-1832.7709 中值:-1816.529 最差值:-1477.79
F9函数计算结果:
SCDBO:最优值:0 标准差:0 平均值:0 中值:0 最差值:0
DBO:最优值:0 标准差:1.4532 平均值:0.26532 中值:0 最差值:7.9597
POA:最优值:0 标准差:0 平均值:0 中值:0 最差值:0
SSA:最优值:0 标准差:0 平均值:0 中值:0 最差值:0
HHO:最优值:0 标准差:0 平均值:0 中值:0 最差值:0
SABO:最优值:0 标准差:0.3201 平均值:0.058442 中值:0 最差值:1.7533
F10函数计算结果:
SCDBO:最优值:4.4409e-16 标准差:0 平均值:4.4409e-16 中值:4.4409e-16 最差值:4.4409e-16
DBO:最优值:4.4409e-16 标准差:6.4863e-16 平均值:5.6251e-16 中值:4.4409e-16 最差值:3.9968e-15
POA:最优值:4.4409e-16 标准差:1.5283e-15 平均值:3.1678e-15 中值:3.9968e-15 最差值:3.9968e-15
SSA:最优值:4.4409e-16 标准差:0 平均值:4.4409e-16 中值:4.4409e-16 最差值:4.4409e-16
HHO:最优值:4.4409e-16 标准差:0 平均值:4.4409e-16 中值:4.4409e-16 最差值:4.4409e-16
SABO:最优值:4.4409e-16 标准差:9.0135e-16 平均值:3.76e-15 中值:3.9968e-15 最差值:3.9968e-15
F11函数计算结果:
SCDBO:最优值:0 标准差:0 平均值:0 中值:0 最差值:0
DBO:最优值:0 标准差:0.080687 平均值:0.02757 中值:0 最差值:0.36647
POA:最优值:0 标准差:0 平均值:0 中值:0 最差值:0
SSA:最优值:0 标准差:0 平均值:0 中值:0 最差值:0
HHO:最优值:0 标准差:0 平均值:0 中值:0 最差值:0
SABO:最优值:0 标准差:0 平均值:0 中值:0 最差值:0
F12函数计算结果:
SCDBO:最优值:4.7116e-32 标准差:1.6702e-47 平均值:4.7116e-32 中值:4.7116e-32 最差值:4.7116e-32
DBO:最优值:6.4497e-30 标准差:1.9233e-10 平均值:5.574e-11 中值:1.6706e-26 最差值:9.4175e-10
POA:最优值:9.3878e-07 标准差:0.056818 平均值:0.024918 中值:0.011793 最差值:0.31105
SSA:最优值:4.7116e-32 标准差:1.1311e-33 平均值:4.7729e-32 中值:4.7116e-32 最差值:5.2925e-32
HHO:最优值:1.7419e-07 标准差:3.674e-05 平均值:2.5912e-05 中值:8.5732e-06 最差值:0.00014364
SABO:最优值:0.00031832 标准差:0.27689 平均值:0.11404 中值:0.035157 最差值:1.4683
F13函数计算结果:
SCDBO:最优值:1.3498e-32 标准差:5.5674e-48 平均值:1.3498e-32 中值:1.3498e-32 最差值:1.3498e-32
DBO:最优值:4.2384e-29 标准差:0.034184 平均值:0.015678 中值:9.1549e-23 最差值:0.15365
POA:最优值:1.3048e-05 标准差:0.2442 平均值:0.32367 中值:0.29177 最差值:0.83884
SSA:最优值:1.3498e-32 标准差:1.1736e-32 平均值:1.8387e-32 中值:1.3498e-32 最差值:6.2802e-32
HHO:最优值:1.4272e-06 标准差:0.00010435 平均值:8.9774e-05 中值:3.828e-05 最差值:0.00036751
SABO:最优值:0.0021166 标准差:0.17789 平均值:0.18365 中值:0.14352 最差值:0.8822
F14函数计算结果:
SCDBO:最优值:0.998 标准差:0 平均值:0.998 中值:0.998 最差值:0.998
DBO:最优值:0.998 标准差:0.62117 平均值:1.2295 中值:0.998 最差值:2.9821
POA:最优值:0.998 标准差:0 平均值:0.998 中值:0.998 最差值:0.998
SSA:最优值:0.998 标准差:5.4897 平均值:5.283 中值:0.998 最差值:12.6705
HHO:最优值:0.998 标准差:1.2607 平均值:1.4261 中值:0.998 最差值:5.9288
SABO:最优值:1.0038 标准差:2.4805 平均值:3.749 中值:3.0453 最差值:10.7664
F15函数计算结果:
SCDBO:最优值:0.00030749 标准差:1.3372e-08 平均值:0.00030749 中值:0.00030749 最差值:0.00030755
DBO:最优值:0.00030749 标准差:0.00031306 平均值:0.00068043 中值:0.00071924 最差值:0.0012462
POA:最优值:0.00030749 标准差:2.9636e-05 平均值:0.00031527 中值:0.00030749 最差值:0.0004243
SSA:最优值:0.00030749 标准差:4.2456e-05 平均值:0.00032074 中值:0.00030749 最差值:0.00049347
HHO:最优值:0.00030762 标准差:3.7868e-05 平均值:0.00034645 中值:0.0003325 最差值:0.00043898
SABO:最优值:0.00032613 标准差:0.0011205 平均值:0.00084524 中值:0.00049202 最差值:0.0062215
F16函数计算结果:
SCDBO:最优值:-1.0316 标准差:6.2532e-16 平均值:-1.0316 中值:-1.0316 最差值:-1.0316
DBO:最优值:-1.0316 标准差:6.1849e-16 平均值:-1.0316 中值:-1.0316 最差值:-1.0316
POA:最优值:-1.0316 标准差:5.6082e-16 平均值:-1.0316 中值:-1.0316 最差值:-1.0316
SSA:最优值:-1.0316 标准差:5.2964e-16 平均值:-1.0316 中值:-1.0316 最差值:-1.0316
HHO:最优值:-1.0316 标准差:2.8875e-10 平均值:-1.0316 中值:-1.0316 最差值:-1.0316
SABO:最优值:-1.0316 标准差:0.032634 平均值:-1.0142 中值:-1.029 最差值:-0.90191
F17函数计算结果:
SCDBO:最优值:0.39789 标准差:0 平均值:0.39789 中值:0.39789 最差值:0.39789
DBO:最优值:0.39789 标准差:0 平均值:0.39789 中值:0.39789 最差值:0.39789
POA:最优值:0.39789 标准差:0 平均值:0.39789 中值:0.39789 最差值:0.39789
SSA:最优值:0.39789 标准差:0 平均值:0.39789 中值:0.39789 最差值:0.39789
HHO:最优值:0.39789 标准差:1.7605e-05 平均值:0.39789 中值:0.39789 最差值:0.39797
SABO:最优值:0.39789 标准差:0.088128 平均值:0.44082 中值:0.40497 最差值:0.84451
F18函数计算结果:
SCDBO:最优值:3 标准差:1.6493e-15 平均值:3 中值:3 最差值:3
DBO:最优值:3 标准差:3.1575e-15 平均值:3 中值:3 最差值:3
POA:最优值:3 标准差:1.3725e-15 平均值:3 中值:3 最差值:3
SSA:最优值:3 标准差:4.9295 平均值:3.9 中值:3 最差值:30
HHO:最优值:3 标准差:1.251e-07 平均值:3 中值:3 最差值:3
SABO:最优值:3.002 标准差:4.9135 平均值:5.0539 中值:3.1484 最差值:24.3022
F19函数计算结果:
SCDBO:最优值:-3.8628 标准差:2.6823e-15 平均值:-3.8628 中值:-3.8628 最差值:-3.8628
DBO:最优值:-3.8628 标准差:0.0035449 平均值:-3.8607 中值:-3.8628 最差值:-3.8549
POA:最优值:-3.8628 标准差:2.4421e-15 平均值:-3.8628 中值:-3.8628 最差值:-3.8628
SSA:最优值:-3.8628 标准差:2.3744e-15 平均值:-3.8628 中值:-3.8628 最差值:-3.8628
HHO:最优值:-3.8628 标准差:0.0030906 平均值:-3.861 中值:-3.8619 最差值:-3.8478
SABO:最优值:-3.8347 标准差:0.25214 平均值:-3.5928 中值:-3.6657 最差值:-2.7088
F20函数计算结果:
SCDBO:最优值:-3.322 标准差:2.5013e-15 平均值:-3.322 中值:-3.322 最差值:-3.322
DBO:最优值:-3.322 标准差:0.087336 平均值:-3.2215 中值:-3.2031 最差值:-3.0336
POA:最优值:-3.322 标准差:0.036637 平均值:-3.31 中值:-3.322 最差值:-3.1997
SSA:最优值:-3.322 标准差:0.059923 平均值:-3.2546 中值:-3.2031 最差值:-3.2031
HHO:最优值:-3.294 标准差:0.095274 平均值:-3.1545 中值:-3.1732 最差值:-2.8935
SABO:最优值:-3.321 标准差:0.10959 平均值:-3.2493 中值:-3.2972 最差值:-2.7764
F21函数计算结果:
SCDBO:最优值:-10.1532 标准差:6.0823e-15 平均值:-10.1532 中值:-10.1532 最差值:-10.1532
DBO:最优值:-10.1532 标准差:2.5742 平均值:-7.7822 中值:-10.1338 最差值:-5.0552
POA:最优值:-10.1532 标准差:2.074 平均值:-9.1335 中值:-10.1531 最差值:-5.0552
SSA:最优值:-10.1532 标准差:2.5922 平均值:-7.6038 中值:-7.5985 最差值:-5.0552
HHO:最优值:-10.1237 标准差:0.92599 平均值:-5.2209 中值:-5.0531 最差值:-5.0412
SABO:最优值:-5.0543 标准差:0.32764 平均值:-4.9631 中值:-5.052 最差值:-3.2748
F22函数计算结果:
SCDBO:最优值:-10.4029 标准差:7.3759e-16 平均值:-10.4029 中值:-10.4029 最差值:-10.4029
DBO:最优值:-10.4029 标准差:2.8133 平均值:-7.6683 中值:-7.7659 最差值:-2.7519
POA:最优值:-10.4029 标准差:1.3485 平均值:-10.0485 中值:-10.4029 最差值:-5.0877
SSA:最优值:-10.4029 标准差:2.6044 平均值:-8.453 中值:-10.4029 最差值:-5.0877
HHO:最优值:-5.0876 标准差:0.0054662 平均值:-5.0841 中值:-5.0859 最差值:-5.0604
SABO:最优值:-7.4442 标准差:0.73888 平均值:-4.8202 中值:-5.071 最差值:-3.4225
F23函数计算结果:
SCDBO:最优值:-10.5364 标准差:1.3601e-15 平均值:-10.5364 中值:-10.5364 最差值:-10.5364
DBO:最优值:-10.5364 标准差:3.0945 平均值:-8.1125 中值:-10.5319 最差值:-2.4273
POA:最优值:-10.5364 标准差:1.372 平均值:-10.1758 中值:-10.5364 最差值:-5.1285
SSA:最优值:-10.5364 标准差:2.4324 平均值:-9.0943 中值:-10.5364 最差值:-5.1285
HHO:最优值:-10.2238 标准差:0.93342 平均值:-5.285 中值:-5.126 最差值:-4.9565
SABO:最优值:-9.8062 标准差:1.4345 平均值:-5.0613 中值:-5.0671 最差值:-2.4711
指标一键生成excel功能
此次代码包含一键生成各个算法的统计结果,并将结果保存在excel中。每个测试函数都会包含一个秩和检验结果和最优值,标准差,平均值指标统计结果。截图如下:
最优值,标准差,平均值,最差值,中值的指标统计结果:

秩和检验统计结果:

代码目录
代码目录如下:

包含一个作图的程序(plotCEC2005_Main.m)和一个统计指标生成excel的程序(runsCEC2005_Main.m)
运行后,会直接生成表格,其中result.xls即为最优值,标准差,平均值指标统计结果,ranksumresult.xls为秩和检验结果。
部分代码展示:
clear
clc
close all
addpath(genpath(pwd));
number='F1'; %选定优化函数,自行替换:F1~F23
[lower_bound,upper_bound,variables_no,fobj]=Get_Functions_details(number); % [lb,ub,D,y]:下界、上界、维度、目标函数表达式
pop_size=30; % population members
max_iter=300; % maximum number of iteration
%% SCDBO 微信公众号搜索:淘个代码
[SCDBO_Best_score,SCDBO_Best_pos,SCDBO_curve,Trajectories,fitness_history, position_history]=SCDBO(pop_size,max_iter,lower_bound,upper_bound,variables_no,fobj); % Calculating the solution of the given problem using SCDBO
display(['The best optimal value of the objective funciton found by SCDBO for ' [num2str(number)],' is : ', num2str(SCDBO_Best_score)]);
%% DBO 微信公众号搜索:淘个代码
[DBO_Best_score,Best_pos,DBO_curve]=DBO(pop_size,max_iter,lower_bound,upper_bound,variables_no,fobj); % Calculating the solution of the given problem using DBO
display(['The best optimal value of the objective funciton found by DBO for ' [num2str(number)],' is : ', num2str(DBO_Best_score)]);
%% POA
[POA_Best_score,~,POA_curve]=POA(pop_size,max_iter,lower_bound,upper_bound,variables_no,fobj);
display(['The best optimal value of the objective funciton found by POA for ' [num2str(number)],' is : ', num2str(POA_Best_score)]);
%% SSA 微信公众号搜索:淘个代码
[SSA_Best_score,~,SSA_curve]=SSA(pop_size,max_iter,lower_bound,upper_bound,variables_no,fobj);
display(['The best optimal value of the objective funciton found by SSA for ' [num2str(number)],' is : ', num2str(SSA_Best_score)]);
%% HHO 微信公众号搜索:淘个代码
[HHO_Best_score,~,HHO_curve]=HHO(pop_size,max_iter,lower_bound,upper_bound,variables_no,fobj);
display(['The best optimal value of the objective funciton found by HHO for ' [num2str(number)],' is : ', num2str(HHO_Best_score)]);
%% SABO 微信公众号搜索:淘个代码
[SABO_Best_score,~,SABO_curve]=SABO(pop_size,max_iter,lower_bound,upper_bound,variables_no,fobj);
display(['The best optimal value of the objective funciton found by SABO for ' [num2str(number)],' is : ', num2str(SABO_Best_score)]);
往期改进蜣螂算法全家桶:
多策略改进蜣螂优化--螺旋搜索+最优值引导+反向学习策略(原创)
改进正弦算法引导的蜣螂优化算法(MSADBO)(文献复现)
融合麻雀追随机制扰动与柯西变异的蜣螂优化算法,历史位置图,平均适应度收敛图一次性全部搞定,MATLAB代码(文献复现)
融合鱼鹰与自适应t分布的蜣螂优化算法(OTDBO)(原创,力荐)
后台私信获取代码。点击下方卡片获取更多代码!
作者自行改进了蜣螂算法,采用Piecewise混沌映射初始化种群、随机游走和纵横交叉策略对滚球行为扰动。在CEC2005函数集测试,与多种算法比较,画出多种图像,统计多个指标并可一键生成Excel结果,还展示了往期改进蜣螂算法代码获取方式。
593

被折叠的 条评论
为什么被折叠?



