反转链表
给你单链表的头节点 head ,请你反转链表,并返回反转后的链表.

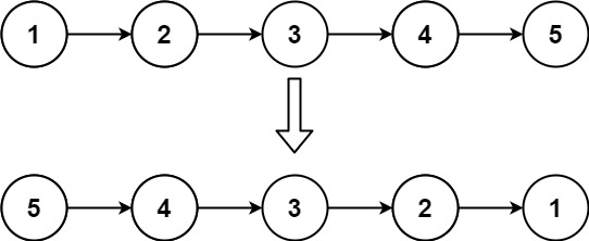
输入:head = [1,2,3,4,5] 输出:[5,4,3,2,1]
方法一:
class Solution{
public ListNode reverseList(ListNode head){
ListNode prev = null;
ListNode curr = head;
while(curr!=null){
ListNode next = curr.next;
curr.next=prev;
prev=curr;
curr=next;
}
return prev;
}
}
复杂度分析
时间复杂度:O(n),其中 n 是链表的长度。需要遍历链表一次。
空间复杂度:O(1).
2356

被折叠的 条评论
为什么被折叠?



