本节目录:
- 多维特征
- 多变量梯度下降
- 特征缩放
- 学习率
- 正规方程
1.多维特征
含有多个变量的模型,模型中的特征为(x1,x2,…xn),
比如对房价模型增加多个特征

这里,n代表特征的数量,
x(i)代表第i个训练实例,是特征矩阵中的第i行,是一个向量。


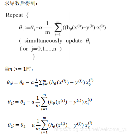
2 多变量梯度下降
多变量线性回归中,代价函数是所有建模误差的平方和,即:



我们开始随机选择一系列参数值,计算所有预测结果,再给所有参数一个新值,如此循环直到收敛。
3 特征缩放
面对多维特征问题的时候,我们要保证这些特征都具有相近的尺度,这将帮助梯
度下降算法更快地收敛。


4.学习率

5 特征和多项式回归

6 正规方程




更多内容详情及代码请见:https://github.com/fengdu78/Coursera-ML-AndrewNg-Notes
本文探讨了在机器学习中使用多维特征进行模型构建的方法,包括多变量梯度下降算法、特征缩放的重要性、学习率的选择以及正规方程的应用。通过理解和应用这些概念,可以更有效地解决复杂的预测问题。
781

被折叠的 条评论
为什么被折叠?



