
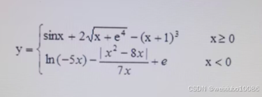
编写一Python程序,计算上图所示分段函数
import math
try:
x = float(input("请输入x的值:"))
if x >= 0:
# 当x≥0时:y = sin(x) + 2√(x+e⁴) - (x+1)³
y = math.sin(x) + 2 * math.sqrt(x + math.e**4) - (x + 1)**3
else:
# 当x<0时:y = ln(-5x) - |x²-8x|/(7x) + e
y = math.log(-5*x) - abs(x**2 - 8*x)/(7*x) + math.e
print(f"计算结果:y = {y:.4f}") # 保留4位小数
except ValueError:
print("错误:请输入有效数字")
1171

被折叠的 条评论
为什么被折叠?



