目 录
摘 要
随着全民健身意识的增强和国家对体育教育重视程度的不断提升,校园体育场馆作为重要的健身资源,在满足师生日常锻炼需求方面扮演着不可或缺的角色。然而,传统的预约方式往往效率低下且不够灵活,难以适应快节奏的现代生活需求。针对这一现状,开发一款便捷高效的校园体育场馆预约微信小程序显得尤为重要。通过这款小程序,用户能够轻松实现在线查看场馆信息、预约场地、支付费用以及评价服务等功能,极大地提升了用户体验和场馆利用率。
该系统基于Spring Boot和Java技术构建,利用Spring Boot简化了系统的配置与部署过程,提高了开发效率。同时,Java语言确保了系统的稳定性和安全性。在功能设计上,包括注册登录、首页展示、留言投诉、点赞收藏评论等互动功能,对于场馆信息模块,用户不仅可以浏览详情,还能进行预约操作,并完成在线支付流程。管理员端则提供了强大的后台管理功能,如轮播图管理、公共信息发布、用户及场馆信息维护等,支持对整个预约流程的有效监控与管理。通过这些功能,实现了对校园体育场馆资源的高效管理和优化配置。
关键词:校园体育场馆预约微信小程序;SpringBoot框架;Java语言
As public fitness awareness grows and the state places increasing emphasis on physical education, school sports facilities play an indispensable role in meeting the daily exercise needs of teachers and students. However, traditional reservation methods are often inefficient and inflexible, failing to adapt to the fast-paced demands of modern life. In response to this situation, developing a convenient and efficient WeChat mini-program for school sports venue reservations is particularly important. Through this mini-program, users can easily view venue information, reserve spaces, pay fees, and provide service evaluations, significantly enhancing user experience and venue utilization.
The system is built on Spring Boot and Java technologies. Spring Boot simplifies the configuration and deployment process, enhancing development efficiency. Meanwhile, the Java language ensures system stability and security. In terms of functional design, it includes interactive features such as registration and login, homepage display, message complaints, likes, favorites, and comments. For the venue information module, users can not only browse details but also make reservations and complete online payment processes. The admin end provides robust backend management functions, including carousel management, public information release, user and venue information maintenance, supporting effective monitoring and management of the entire reservation process. Through these features, efficient management and optimal allocation of campus sports venue resources are achieved.
Key words: campus sports venue reservation wechat mini program; SpringBoot framework; Java language
1 .绪 论
1.1研究背景及意义
1.1.1研究背景
随着社会经济的发展和人们生活水平的提升,公众对健康生活方式的关注度日益增加。校园体育场馆作为重要的健身资源,不仅为师生提供了锻炼身体的理想场所,也是促进全民健康的重要力量[1]。然而,传统的预约管理方式效率低下、信息更新滞后,难以满足现代用户的使用需求。例如,学生和教职工在计划运动时,往往因为无法及时获取准确的场地使用情况而感到不便[2]。面对这些问题,开发一个专门针对校园体育场馆预约的小程序显得尤为必要。通过数字化手段优化预约流程,可以显著提高场馆资源的利用效率,增强用户体验,促进校园体育活动的广泛开展。
1.1.2研究意义
该小程序的设计与实现有助于解决当前校园体育场馆预约过程中存在的诸多问题,如信息不对称、操作不便等。借助先进的技术框架,这个系统能够提供稳定可靠的服务,支持用户在线完成从注册登录到预约支付的一系列操作,极大地方便了用户的日常使用[3]。对于管理者而言,后台功能的完善使得信息更新、用户管理和预约处理变得更加高效便捷。通过对系统的不断优化,不仅可以提高校园体育设施的管理水平,还能激发更多人参与体育活动的热情,推动校园文化建设。这种基于互联网技术的应用,为校园体育资源的合理配置提供了新的思路和方法,促进了体育教育与健康管理的发展[4]。
1.2国内外研究现状
1.2.1国内研究现状
国内关于这一领域的研究则更多地聚焦于技术应用和管理模式创新。随着互联网技术的发展,越来越多的高校开始重视线上预约系统的开发与使用[5]。相关文献显示,部分院校已成功搭建了基于Web或移动应用的预约平台,实现了体育场馆信息透明化和服务智能化。这些研究不仅分析了现有预约机制存在的问题,如信息更新不及时、用户操作不便等,还提出了针对性的解决方案[6]。与此同时,国内研究还关注到用户反馈和社会效益,提倡建立更加人性化、便捷化的服务体系。通过对国内外研究成果的综合分析,可以看出虽然不同地区在实际操作和技术选择上存在差异,但都致力于提高体育场馆预约系统的效率和服务质量,以满足日益增长的健身需求并促进全民健康目标的实现[7]。这种跨区域的经验交流与合作有助于推动整个行业向前发展,形成资源共享、优势互补的良好局面。
1.2.2国外研究现状
国外研究注重用户行为分析与服务流程优化,强调通过系统化的方法提升预约系统的可用性和便捷性[8]。例如,在一些发达国家的高校中,已经采用了先进的在线平台来实现体育设施的预订、支付及评价一体化服务,显著提升了学生和教职工对体育设施使用的满意度。这些研究通常结合具体案例进行讨论,关注不同背景下的实施效果及其影响因素,从而为其他国家和地区提供了宝贵的实践经验[9]。在理论层面,国外学者还探讨了预约系统设计的原则和最佳实践,为构建高效的服务体系奠定了坚实的理论基础。
1.3论文组织结构
本论文共分为七个主要章节,具体结构如下:
1. 绪论:介绍研究背景与意义,回顾国内外研究现状,并概述论文的组织结构。
2. 相关技术介绍:详细介绍与本研究相关的技术,包括Java语言、B/S框架、SpringBoot框架、HTML技术、MySQL数据库、微信开发者工具。
3. 需求分析:对系统的功能需求和非功能需求进行分析,明确用户和管理员的需求,并进行可行性分析,包括技术、操作和经济可行性。
4. 系统设计:涵盖系统架构设计、系统模块设计,并进行数据库的概念设计与表设计。
5. 系统实现:具体描述各个功能模块的实现过程,展示系统如何根据需求进行开发。
6. 系统测试:阐述测试的目的,分析测试结果并得出结论,以验证系统的稳定性和功能完整性。
7. 总结:总结研究的主要成果和贡献,指出存在的不足及未来的研究方向。
2 .相关技术介绍
2.1 B/S框架
浏览器/服务器(B/S)架构是一种以浏览器和服务器为基础的系统架构模式,用户通过浏览器与服务器进行互动。B/S架构简化了客户端的安装和管理,用户无需在自己的设备上安装复杂的软件,仅需使用通用浏览器即可访问应用程序。服务器端主要处理业务逻辑和数据存储,而客户端则主要负责展示用户界面和数据交互。B/S架构的设计使得系统更新和维护主要集中在服务器端,从而减少了维护成本。
B/S架构通常利用Web技术来实现,涉及HTML、CSS和JavaScript等技术。用户在浏览器中发起请求,服务器接收请求并返回数据。数据传输通常通过HTTP或HTTPS协议进行,B/S架构的灵活性使其适用于在线购物、信息管理系统和社交网络等多种应用场景。由于其扩展性良好,B/S架构能够轻松支持大量用户访问,适应不断变化的业务需求。
2.2Java语言
作为一种流行的高级编程语言,Java具备跨平台能力、面向对象的特性以及庞大的标准库。借助Java虚拟机(JVM),Java代码能够实现跨平台运行,意味着开发者只需编写一次代码,便能在任何安装了JVM的系统上运行。Java的面向对象特性简化了代码的复用和模块化,有助于软件的维护和升级。此外,Java支持多线程,允许程序同时处理多个任务,从而增强应用性能。
Java语言以其简洁明了的语法结构吸引了众多开发者。其标准库涵盖了数据结构、输入输出、网络编程等多个功能模块,为开发者提供了丰富的工具,有效减少了开发中的重复工作。Java的应用范围广泛,包括企业级应用、移动应用、Web开发以及大数据处理等多个领域。
2.3 SpringBoot框架
SpringBoot框架是基于Spring框架的开源项目,简化Java应用程序的开发过程。SpringBoot通过约定优于配置的理念,减少了传统Spring应用的繁琐配置,开发者可以快速搭建和部署应用程序。框架提供了一系列默认配置,支持自动化配置,简化了应用启动的复杂性。SpringBoot内置了嵌入式Web服务器,使得开发者能够独立运行Java应用,无需外部容器。
SpringBoot支持微服务架构,开发者可以轻松创建和管理多个微服务。框架集成了丰富的功能模块,包括安全、数据访问和消息中间件等,支持RESTful API和JSON数据格式的处理。SpringBoot还提供了强大的监控和管理功能,允许开发者实时监控应用的健康状态和性能指标。借助SpringBoot,开发者能够高效构建和维护现代企业级应用,满足复杂业务需求。
2.4 MySQL数据库
作为一款开源的关系型数据库管理系统,MySQL被广泛用于Web应用和企业级数据存储。它支持结构化查询语言,使得开发者能够利用标准语句执行数据的创建、读取、更新和删除操作。数据库以表格形式组织数据,确保数据的完整性和约束条件得以定义。MySQL的存储引擎机制允许用户根据需求选择不同的存储引擎,从而优化性能和功能。
MySQL以其高性能和可扩展性著称,能够支持大规模数据存储和高并发访问。该系统还提供了全面的用户权限管理和数据加密安全特性。
2.5 HTML技术
HTML(HyperText Markup Language)即超文本标记语言,是构建网页和网络应用的标准标记语言。它使用标签(tags)来描述网页的结构和内容,这些标签被浏览器解析并呈现给用户。HTML文档的基本结构包括头部(head)和主体(body)两部分,头部包含文档的元数据,如标题、字符集、样式表链接等,而主体则包含实际显示的内容,如文本、图像、链接、表格和表单等。
HTML支持嵌入其他技术,如CSS(Cascading Style Sheets,层叠样式表)用于控制网页的外观和布局,JavaScript用于实现网页的动态功能和交互效果。通过结合这些技术,开发者能够创建丰富多样的网页应用,提升用户体验。
在开发过程中,HTML文档的编写需要遵循一定的规范和最佳实践,以确保网页在不同浏览器和设备上的兼容性和一致性。随着Web技术的不断发展,HTML也在不断演进,引入了新的标签和属性,支持更多的功能和特性,如响应式设计、多媒体嵌入和语义化标记等,使得网页开发更加灵活和高效。
2.6微信开发者工具
作为一款专门为小程序度身定制、持续改进、提供便利操作的软件,微信开发者可以扫描二维码进行访问,从而达到小程序快速开发、调试的目的。针对用户的具体需求,我们有能力开发出各种屏幕尺寸的微型应用。在视图布局结束之后,可以利用编辑功能快速地对当前视图界面进行调整。
开发者工具为控制台提供了功能,以便于进行调试,并将信息输出。编码上传到腾讯服务器时,需要填写版本号、备注信息等核对,以保证编码的安全性与准确性。查看资源文件可快速对项目文件目录进行调整并进行断点调试。远程调试技术可以很容易地开发到手机,PC端的应用。当地数据存储功能可以显示区域内信息。采用子父层级布局,可以让视图的调试更加方便。微信小程序代码体积要控制在2M范围内,在开发过程中需要对合法域名信息及服务器域名进行严格把关。微信开发者工具已经成为开发中不可缺少的组成部分,并且正在不断改进与完善,对小程序开发起到方便与支持作用。
3 .需求分析
3.1可行性分析
3.1.1技术可行性
从技术角度来看,Spring Boot作为一种轻量级、快速构建的Java框架,能够提高开发效率,降低系统的复杂程度,易于维护和升级。同时,MySQL作为关系型数据库,能够支持平台数据的存储与管理,保障系统的稳定性和高效性。因此,本系统具有技术可行性。
3.1.2操作可行性
系统设计应遵循用户友好原则,确保用户能够轻松上手并高效使用。通过合理的界面布局、直观的操作流程以及详尽的帮助文档,可以大大降低用户的学习成本,提高系统的操作可行性。此外,系统还应具备完善的权限管理和数据安全机制,确保操作的安全性和合规性。
3.1.3经济可行性
系统开发所需的硬件和软件资源相对容易获取,且成本较低。硬件方面,只需普通的开发服务器和测试设备即可满足需求。软件方面,所需的开发工具和框架大多为开源或免费试用,大大降低了开发成本。小程序作为一种轻量级应用,无需复杂的部署和维护,也减少了后期的运营成本。因此,从经济角度来看,系统开发也是可行的。
3.2功能需求分析
3.2.1功能性分析
校园体育场馆预约微信小程序划分为了前端模块和后端模块两大部分。
前端注册用户模块:
- 注册登录:用户可以通过填写注册表单来创建一个新账户,也可以通过输入已注册的用户名和密码登录系统。系统会提供忘记密码和重置密码的功能,确保用户能够安全地管理自己的账户。
- 首页:当用户成功登录系统之后,他们首先会看到的页面就是首页。首页上会展示最新的通知公告。首页也会提供体育资讯,让用户能够掌握最新的体育新闻和相关知识。除此之外,首页还包含了场馆信息,无论是想要了解场馆的开放时间、位置还是其他相关服务,用户都可以在这里找到答案。
- 通知公告:此模块展示最新的体育中心通知和公告,用户可以查看所有公告的列表,并点击进入详细内容。公告内容包括活动安排、规则变更等重要信息。
- 留言投诉:用户可以通过这个模块提交对体育中心的意见和建议,或者对遇到的问题进行投诉。系统提供表单填写功能,用户可以详细描述问题并提交。
- 体育资讯:在这个模块中,用户能够轻松地浏览到最新发布的体育新闻和各类精彩文章。用户不仅能够阅读这些内容,还可以通过点赞、收藏和评论的方式与内容互动,表达自己的观点和喜好。
- 场馆信息:用户可以查看各个体育场馆的设施情况、开放时间以及其他相关信息。用户还可以通过点赞、收藏和评论功能来表达对场馆的喜爱或提出建议。预约功能的加入,让用户能够根据自己的时间安排,选择合适的时段进行场馆的预约。整个预约流程设计得简洁明了,用户可以轻松完成预约操作,享受便捷的体育活动体验。
- 我的:在个人中心模块,用户可以方便地查看和编辑自己的个人信息,包括但不限于个人资料、联系方式等。同时,用户还可以管理自己收藏的体育资讯和场馆信息,方便随时回顾和获取最新动态。此外,用户可以查看自己的场馆预约详情,进行支付操作、取消预约以及对预约服务进行评价。这个模块为用户提供了一个全面的个人账户管理平台,让用户能够更好地控制自己的账户信息和服务体验。
后端管理员模块:
- 登录功能:管理员可以通过输入正确的用户名和密码登录到后台管理系统,确保系统的安全性。
- 主页:管理员登录后可以查看或修改个人信息和密码,保证账户的安全性和个人信息的准确性。
- 公共管理:管理员可以对轮播图进行更新,发布新的通知公告,以及管理用户的留言和投诉,保持网站内容的活跃和用户的良好互动。
- 用户管理:管理员可以对注册用户进行管理,包括查看用户信息、修改用户状态等操作;同时也可以对其他管理员账户进行管理,包括权限分配等。
- 资讯管理:管理员可以对体育资讯进行新增、删除、查询和查看详情,也可以对资讯分类进行管理,包括新增分类、删除分类、查询分类和查看分类详情等操作。
- 体育类型:管理员可以对体育类型进行新增、删除、查询和查看详情,方便用户根据不同的体育类型快速找到所需资讯。
- 场馆信息:管理员可以对场馆信息进行新增、删除、查询和查看详情,还可以查看用户的评论,对场馆信息进行全方位的管理。
- 场馆预约:管理员可以对场馆预约进行新增、删除、查询和查看详情,同时也可以对预约的评价、支付和取消操作进行管理,确保预约系统的顺畅运作。
- 取消预约:管理员可以对取消预约进行新增、删除、查询和查看详情,方便处理用户取消预约的相关事宜。
- 场地评价:管理员可以对场地评价进行新增、删除、查询和查看详情,确保场地评价的真实性和有效性,为其他用户提供参考。
3.2.2非功能性分析
校园体育场馆预约微信小程序的非功能性需求比如校园体育场馆预约微信小程序的安全性怎么样,可靠性怎么样,性能怎么样,可拓展性怎么样等,具体可以表示在如下3-1表格中:
表3-1校园体育场馆预约微信小程序非功能需求表
| 安全性 | 主要指校园体育场馆预约微信小程序数据库的安装,数据库的使用和密码的设定必须合乎规范。 |
| 可靠性 | 可靠性是指校园体育场馆预约微信小程序能够安装用户的指示进行操作,经过测试,可靠性90%以上。 |
| 性能 | 性能是影响校园体育场馆预约微信小程序占据市场的必要条件,所以性能最好要佳才好。 |
| 可扩展性 | 比如数据库预留多个属性,比如接口的使用等确保了系统的非功能性需求。 |
| 易用性 | 用户只要跟着校园体育场馆预约微信小程序的页面展示内容进行操作,就可以了。 |
| 可维护性 | 校园体育场馆预约微信小程序开发的可维护性是非常重要的,经过测试,可维护性没有问题 |
3.3系统用例分析
校园体育场馆预约微信小程序的完整UML用例图分别是图3-1、3-2。
注册用户角色用例如下图所示。

图3-1校园体育场馆预约微信小程序注册用户角色用例图
管理员角色用例如下图所示。

图3-2校园体育场馆预约微信小程序管理员角色用例图
4 .系统设计
本章主要讨论的内容包括校园体育场馆预约微信小程序的功能模块设计、数据库系统设计。
4.1系统架构设计
在系统架构设计中,我将确定系统的整体结构和组件之间的关系。这包括选择适当的架构风格,划分系统的层次结构,并定义各个模块的职责和交互方式。架构图如下图所示。

图4-1校园体育场馆预约微信小程序架构设计图
表示层(Presentation Layer):负责与用户进行交互,将系统的功能和数据以易于理解和操作的方式展示给用户。通常包括用户界面、页面设计和用户输入验证等。
业务逻辑层(Business Logic Layer):处理系统的核心业务逻辑,包括对用户请求的处理、业务规则的执行以及数据的处理和转换。它独立于表现层和数据层,实现了业务逻辑的封装和复用。
数据层(Data Layer):负责数据的存储、访问和管理,包括数据库和持久化机制。数据层提供了对数据的增删改查操作,并与业务逻辑层进行交互,使系统能够有效地存储和检索数据。
这三个层次相互独立,通过明确的接口和协议进行通信,实现了系统的模块化和可扩展性。表现层负责将用户的请求传递给业务逻辑层,业务逻辑层处理请求并返回结果,最后数据层负责与数据库交互并提供数据支持。这种分层架构有助于实现系统的可维护性、灵活性和可测试性。
4.2系统模块设计
在上一章节中主要对系统的功能性需求和非功能性需求进行分析,并且根据需求分析了本校园体育场馆预约微信小程序中的用例。那么接下来就要开始对本校园体育场馆预约微信小程序的架构、主要功能和数据库开始进行设计。校园体育场馆预约微信小程序根据前面章节的需求分析得出,校园体育场馆预约微信小程序的功能模块图如下图所示。

图4-2校园体育场馆预约微信小程序功能模块图
4.3系统总体流程设计
4.3.1用户登录流程
用户输入用户名和密码后,系统先检查输入是否为空,再验证用户名是否存在,若存在则通过用户名获取密码并校验。若密码正确则登录成功,否则提示密码错误。若用户名不存在或无法登录,提示用户操作无效。如下图所示。

图4-3登录流程图
4.3.2系统操作流程
用户首先进入系统登录界面,输入用户名和密码后,系统验证信息是否正确。若验证失败,返回登录界面重新输入,若验证成功,则进入功能界面,执行相应功能处理后结束操作流程。操作流程如下图所示。

图4-4系统操作流程图
4.3.3用户预约操作流程
当用户登录系统的时候,浏览场馆信息,查看详情并生成预约信息,管理员在后端处理预约。注册用户预约场馆流操作流程如图下所示。

图4-5操作流程图
4.4系统活动图设计
系统须支撑整个机构不同层面的多种职能,而各功能模块间存在着多种关联信息,组成一个有机整体,并针对就业数据自身特点和面临的现实条件,对系统进行流程图设计。活动图是一种用于对系统的动态行为建模的另一种常用图表,通常用于可视化展示系统中各个活动的执行顺序、流程控制和数据交互,展现从一个活动到另一个活动的控制流,活动图在本质上是一种流程图;但活动图着重表现从一个活动到另一个活动的控制流。因此,这里列举了2个业务活动图。
(1)用户登录查询的业务流程如下。
用户注册登录,系统从数据库获取用户数据信息,登录成功用户进入查询页面,用户输入查询关键字,数据库查询用户所输入的关键字,查询成功显示查询的模块信息,查询失败不显示。用户登录查询功能的活动图如下图所示。

图4-6用户登录查询活动图
(2)管理员添加信息的业务流程如下。
此活动图描述了管理员添加信息。管理员可以通过信息管理模块页面选择要添加的基本信息。添加成功传入数据库中,失败则不添加。管理员可以保存信息并更新系统中的信息。管理员添加信息功能的活动图如下图所示。

图4-7管理员添加信息活动图
4.5数据库设计
数据库设计是系统开发中至关重要的环节,为系统提供高效、规范的数据存储和管理方案。设计过程包括需求分析、实体设计、表设计和逻辑结构设计。首先,通过分析业务需求,确定系统的核心实体及其属性,同时明确实体间的关系。接着,将实体抽象为具体的数据库表,为每张表定义字段名、数据类型、主键和外键,通过主外键关系和关联表设计,保证数据的完整性和一致性。最后,数据库逻辑设计进一步优化表之间的关系,通过索引、视图和存储过程提升查询效率和操作性能。整个设计需严格遵循规范,避免数据冗余和冲突,确保系统在高并发访问和复杂数据处理场景下的稳定性和高效性。
4.5.1数据库概念结构设计
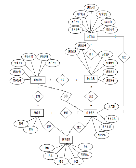
下面是整个校园体育场馆预约微信小程序中主要的数据库表总E-R实体关系图。

图4-8校园体育场馆预约微信小程序总E-R关系图
4.5.2数据库逻辑结构设计
通过上一小节中校园体育场馆预约微信小程序中总E-R关系图上得出一共需要创建多个数据表。在此主要罗列几个主要的数据库表结构设计。
| 编号 | 字段名 | 类型 | 长度 | 是否非空 | 是否主键 | 注释 |
| 1 | token_id | int | 是 | 是 | 临时访问牌ID | |
| 2 | token | varchar | 64 | 否 | 否 | 临时访问牌 |
| 3 | info | text | 65535 | 否 | 否 | 信息 |
| 4 | maxage | int | 是 | 否 | 最大寿命:默认2小时 | |
| 5 | create_time | timestamp | 是 | 否 | 创建时间 | |
| 6 | update_time | timestamp | 是 | 否 | 更新时间 | |
| 7 | user_id | int | 是 | 否 | 用户编号 |
表 4-2-article(文章)
| 编号 | 字段名 | 类型 | 长度 | 是否非空 | 是否主键 | 注释 |
| 1 | article_id | mediumint | 是 | 是 | 文章id | |
| 2 | title | varchar | 125 | 是 | 是 | 标题 |
| 3 | type | varchar | 64 | 是 | 否 | 文章分类 |
| 4 | hits | int | 是 | 否 | 点击数 | |
| 5 | praise_len | int | 是 | 否 | 点赞数 | |
| 6 | create_time | timestamp | 是 | 否 | 创建时间 | |
| 7 | update_time | timestamp | 是 | 否 | 更新时间 | |
| 8 | source | varchar | 255 | 否 | 否 | 来源 |
| 9 | url | varchar | 255 | 否 | 否 | 来源地址 |
| 10 | tag | varchar | 255 | 否 | 否 | 标签 |
| 11 | content | longtext | 4294967295 | 否 | 否 | 正文 |
| 12 | img | varchar | 255 | 否 | 否 | 封面图 |
| 13 | description | text | 65535 | 否 | 否 | 文章描述 |
表 4-3-article_type(文章分类)
| 编号 | 字段名 | 类型 | 长度 | 是否非空 | 是否主键 | 注释 |
| 1 | type_id | smallint | 是 | 是 | 分类ID | |
| 2 | display | smallint | 是 | 否 | 显示顺序 | |
| 3 | name | varchar | 16 | 是 | 否 | 分类名称 |
| 4 | father_id | smallint | 是 | 否 | 上级分类ID | |
| 5 | description | varchar | 255 | 否 | 否 | 描述 |
| 6 | icon | text | 65535 | 否 | 否 | 分类图标 |
| 7 | url | varchar | 255 | 否 | 否 | 外链地址 |
| 8 | create_time | timestamp | 是 | 否 | 创建时间 | |
| 9 | update_time | timestamp | 是 | 否 | 更新时间 |
表 4-4-auth(用户权限管理)
| 编号 | 字段名 | 类型 | 长度 | 是否非空 | 是否主键 | 注释 |
| 1 | auth_id | int | 是 | 是 | 授权ID | |
| 2 | user_group | varchar | 64 | 否 | 否 | 用户组 |
| 3 | mod_name | varchar | 64 | 否 | 否 | 模块名 |
| 4 | table_name | varchar | 64 | 否 | 否 | 表名 |
| 5 | page_title | varchar | 255 | 否 | 否 | 页面标题 |
| 6 | path | varchar | 255 | 否 | 否 | 路由路径 |
| 7 | parent | varchar | 64 | 否 | 否 | 父级菜单 |
| 8 | parent_sort | int | 是 | 否 | 父级菜单排序 | |
| 9 | position | varchar | 32 | 否 | 否 | 位置 |
| 10 | mode | varchar | 32 | 是 | 否 | 跳转方式 |
| 11 | add | tinyint | 是 | 否 | 是否可增加 | |
| 12 | del | tinyint | 是 | 否 | 是否可删除 | |
| 13 | set | tinyint | 是 | 否 | 是否可修改 | |
| 14 | get | tinyint | 是 | 否 | 是否可查看 | |
| 15 | field_add | text | 65535 | 否 | 否 | 添加字段 |
| 16 | field_set | text | 65535 | 否 | 否 | 修改字段 |
| 17 | field_get | text | 65535 | 否 | 否 | 查询字段 |
| 18 | table_nav_name | varchar | 500 | 否 | 否 | 跨表导航名称 |
| 19 | table_nav | varchar | 500 | 否 | 否 | 跨表导航 |
| 20 | option | text | 65535 | 否 | 否 | 配置 |
| 21 | create_time | timestamp | 是 | 否 | 创建时间 | |
| 22 | update_time | timestamp | 是 | 否 | 更新时间 |
表 4-5-cancel_appointment(取消预约)
| 编号 | 字段名 | 类型 | 长度 | 是否非空 | 是否主键 | 注释 |
| 1 | cancel_appointment_id | int | 是 | 是 | 取消预约ID | |
| 2 | user_account | int | 否 | 否 | 用户账号 | |
| 3 | user_name | varchar | 64 | 否 | 否 | 用户姓名 |
| 4 | user_phone | varchar | 64 | 否 | 否 | 用户电话 |
| 5 | venue_name | varchar | 64 | 否 | 否 | 场馆名称 |
| 6 | venue_number | varchar | 64 | 否 | 否 | 场馆编号 |
| 7 | venue_address | varchar | 64 | 否 | 否 | 场馆地址 |
| 8 | hourly_unit_price | double | 否 | 否 | 小时单价 | |
| 9 | appointment_time | datetime | 否 | 否 | 预约时间 | |
| 10 | appointment_duration | double | 否 | 否 | 预约时长 | |
| 11 | appointment_amount | varchar | 64 | 否 | 否 | 预约金额 |
| 12 | reservation_order_number | varchar | 64 | 是 | 是 | 预约单号 |
| 13 | cancel_time | datetime | 否 | 否 | 取消时间 | |
| 14 | reason_for_cancellation | text | 65535 | 否 | 否 | 取消原因 |
| 15 | examine_state | varchar | 16 | 是 | 否 | 审核状态 |
| 16 | examine_reply | varchar | 255 | 否 | 否 | 审核回复 |
| 17 | create_time | datetime | 是 | 否 | 创建时间 | |
| 18 | update_time | timestamp | 是 | 否 | 更新时间 | |
| 19 | source_table | varchar | 255 | 否 | 否 | 来源表 |
| 20 | source_id | int | 否 | 否 | 来源ID | |
| 21 | source_user_id | int | 否 | 否 | 来源用户 |
表 4-6-code_token(验证码)
| 编号 | 字段名 | 类型 | 长度 | 是否非空 | 是否主键 | 注释 |
| 1 | code_token_id | int | 是 | 是 | 验证码ID | |
| 2 | token | varchar | 255 | 否 | 否 | 令牌 |
| 3 | code | varchar | 255 | 否 | 否 | 验证码 |
| 4 | expire_time | timestamp | 是 | 否 | 失效时间 | |
| 5 | create_time | timestamp | 是 | 否 | 创建时间 | |
| 6 | update_time | timestamp | 是 | 否 | 更新时间 |
表 4-7-collect(收藏)
| 编号 | 字段名 | 类型 | 长度 | 是否非空 | 是否主键 | 注释 |
| 1 | collect_id | int | 是 | 是 | 收藏ID | |
| 2 | user_id | int | 是 | 是 | 收藏人ID | |
| 3 | source_table | varchar | 255 | 否 | 否 | 来源表 |
| 4 | source_field | varchar | 255 | 否 | 否 | 来源字段 |
| 5 | source_id | int | 是 | 否 | 来源ID | |
| 6 | title | varchar | 255 | 否 | 否 | 标题 |
| 7 | img | varchar | 255 | 否 | 否 | 封面 |
| 8 | create_time | timestamp | 是 | 否 | 创建时间 | |
| 9 | update_time | timestamp | 是 | 否 | 更新时间 |
表 4-8-comment(评论)
| 编号 | 字段名 | 类型 | 长度 | 是否非空 | 是否主键 | 注释 |
| 1 | comment_id | int | 是 | 是 | 评论ID | |
| 2 | user_id | int | 是 | 是 | 评论人ID | |
| 3 | reply_to_id | int | 是 | 否 | 回复评论ID | |
| 4 | content | longtext | 4294967295 | 否 | 否 | 内容 |
| 5 | nickname | varchar | 255 | 否 | 否 | 昵称 |
| 6 | avatar | varchar | 255 | 否 | 否 | 头像地址 |
| 7 | create_time | timestamp | 是 | 否 | 创建时间 | |
| 8 | update_time | timestamp | 是 | 否 | 更新时间 | |
| 9 | source_table | varchar | 255 | 否 | 否 | 来源表 |
| 10 | source_field | varchar | 255 | 否 | 否 | 来源字段 |
| 11 | source_id | int | 是 | 否 | 来源ID |
表 4-9-hits(用户点击)
| 编号 | 字段名 | 类型 | 长度 | 是否非空 | 是否主键 | 注释 |
| 1 | hits_id | int | 是 | 是 | 点赞ID | |
| 2 | user_id | int | 是 | 否 | 点赞人 | |
| 3 | create_time | timestamp | 是 | 否 | 创建时间 | |
| 4 | update_time | timestamp | 是 | 否 | 更新时间 | |
| 5 | source_table | varchar | 255 | 否 | 否 | 来源表 |
| 6 | source_field | varchar | 255 | 否 | 否 | 来源字段 |
| 7 | source_id | int | 是 | 否 | 来源ID |
表 4-10-message(留言板)
| 编号 | 字段名 | 类型 | 长度 | 是否非空 | 是否主键 | 注释 |
| 1 | message_id | int | 是 | 是 | 留言板ID | |
| 2 | user_id | int | 是 | 否 | 用户ID | |
| 3 | title | varchar | 64 | 否 | 否 | 标题 |
| 4 | content | longtext | 4294967295 | 是 | 否 | 内容 |
| 5 | nickname | varchar | 32 | 是 | 否 | 昵称 |
| 6 | avatar | varchar | 255 | 否 | 否 | 头像 |
| 7 | | varchar | 125 | 否 | 否 | 留言者邮箱 |
| 8 | phone | varchar | 11 | 否 | 否 | 留言者手机号码 |
| 9 | create_time | timestamp | 是 | 否 | 创建时间 | |
| 10 | update_time | timestamp | 是 | 否 | 更新时间 | |
| 11 | reply | longtext | 4294967295 | 否 | 否 | 回复 |
| 12 | reply_state | tinyint | 否 | 否 | 回复状态 |
表 4-11-notice(公告)
| 编号 | 字段名 | 类型 | 长度 | 是否非空 | 是否主键 | 注释 |
| 1 | notice_id | mediumint | 是 | 是 | 公告ID | |
| 2 | title | varchar | 125 | 是 | 否 | 标题 |
| 3 | content | longtext | 4294967295 | 否 | 否 | 正文 |
| 4 | create_time | timestamp | 是 | 否 | 创建时间 | |
| 5 | update_time | timestamp | 是 | 否 | 更新时间 |
表 4-12-praise(点赞)
| 编号 | 字段名 | 类型 | 长度 | 是否非空 | 是否主键 | 注释 |
| 1 | praise_id | int | 是 | 是 | 点赞ID | |
| 2 | user_id | int | 是 | 是 | 点赞人 | |
| 3 | create_time | timestamp | 是 | 否 | 创建时间 | |
| 4 | update_time | timestamp | 是 | 否 | 更新时间 | |
| 5 | source_table | varchar | 255 | 否 | 否 | 来源表 |
| 6 | source_field | varchar | 255 | 否 | 否 | 来源字段 |
| 7 | source_id | int | 是 | 否 | 来源ID | |
| 8 | status | tinyint | 是 | 否 | 点赞状态:1为点赞,0已取消 |
表 4-13-registered_user(注册用户)
| 编号 | 字段名 | 类型 | 长度 | 是否非空 | 是否主键 | 注释 |
| 1 | registered_user_id | int | 是 | 是 | 注册用户ID | |
| 2 | user_name | varchar | 64 | 否 | 否 | 用户姓名 |
| 3 | user_phone | varchar | 16 | 否 | 否 | 用户电话 |
| 4 | examine_state | varchar | 16 | 是 | 否 | 审核状态 |
| 5 | user_id | int | 是 | 否 | 用户ID | |
| 6 | create_time | datetime | 是 | 否 | 创建时间 | |
| 7 | update_time | timestamp | 是 | 否 | 更新时间 |
表 4-14-site_evaluation(场地评价)
| 编号 | 字段名 | 类型 | 长度 | 是否非空 | 是否主键 | 注释 |
| 1 | site_evaluation_id | int | 是 | 是 | 场地评价ID | |
| 2 | user_account | int | 否 | 否 | 用户账号 | |
| 3 | user_name | varchar | 64 | 否 | 否 | 用户姓名 |
| 4 | user_phone | varchar | 64 | 否 | 否 | 用户电话 |
| 5 | venue_name | varchar | 64 | 否 | 否 | 场馆名称 |
| 6 | venue_number | varchar | 64 | 否 | 否 | 场馆编号 |
| 7 | venue_address | varchar | 64 | 否 | 否 | 场馆地址 |
| 8 | evaluation_time | date | 否 | 否 | 评价时间 | |
| 9 | evaluation_details | text | 65535 | 否 | 否 | 评价详情 |
| 10 | create_time | datetime | 是 | 否 | 创建时间 | |
| 11 | update_time | timestamp | 是 | 否 | 更新时间 | |
| 12 | source_table | varchar | 255 | 否 | 否 | 来源表 |
| 13 | source_id | int | 否 | 否 | 来源ID | |
| 14 | source_user_id | int | 否 | 否 | 来源用户 |
表 4-15-slides(轮播图)
| 编号 | 字段名 | 类型 | 长度 | 是否非空 | 是否主键 | 注释 |
| 1 | slides_id | int | 是 | 是 | 轮播图ID | |
| 2 | title | varchar | 64 | 否 | 否 | 标题 |
| 3 | content | varchar | 255 | 否 | 否 | 内容 |
| 4 | url | varchar | 255 | 否 | 否 | 链接 |
| 5 | img | varchar | 255 | 否 | 否 | 轮播图 |
| 6 | hits | int | 是 | 否 | 点击量 | |
| 7 | create_time | timestamp | 是 | 否 | 创建时间 | |
| 8 | update_time | timestamp | 是 | 否 | 更新时间 |
表 4-16-types_of_sports(体育类型)
| 编号 | 字段名 | 类型 | 长度 | 是否非空 | 是否主键 | 注释 |
| 1 | types_of_sports_id | int | 是 | 是 | 体育类型ID | |
| 2 | types_of_sports | varchar | 64 | 否 | 否 | 体育类型 |
| 3 | create_time | datetime | 是 | 否 | 创建时间 | |
| 4 | update_time | timestamp | 是 | 否 | 更新时间 |
表 4-17-upload(文件上传)
| 编号 | 字段名 | 类型 | 长度 | 是否非空 | 是否主键 | 注释 |
| 1 | upload_id | int | 是 | 是 | 上传ID | |
| 2 | name | varchar | 64 | 否 | 否 | 文件名 |
| 3 | path | varchar | 255 | 否 | 否 | 访问路径 |
| 4 | file | varchar | 255 | 否 | 否 | 文件路径 |
| 5 | display | varchar | 255 | 否 | 否 | 显示顺序 |
| 6 | father_id | int | 否 | 否 | 父级ID | |
| 7 | dir | varchar | 255 | 否 | 否 | 文件夹 |
| 8 | type | varchar | 32 | 否 | 否 | 文件类型 |
表 4-18-user(用户账户)
| 编号 | 字段名 | 类型 | 长度 | 是否非空 | 是否主键 | 注释 |
| 1 | user_id | int | 是 | 是 | 用户ID | |
| 2 | state | smallint | 是 | 否 | 账户状态:(1可用|2异常|3已冻结|4已注销) | |
| 3 | user_group | varchar | 32 | 否 | 否 | 所在用户组 |
| 4 | login_time | timestamp | 是 | 否 | 上次登录时间 | |
| 5 | phone | varchar | 11 | 否 | 否 | 手机号码 |
| 6 | phone_state | smallint | 是 | 否 | 手机认证:(0未认证|1审核中|2已认证) | |
| 7 | username | varchar | 16 | 是 | 否 | 用户名 |
| 8 | nickname | varchar | 16 | 否 | 否 | 昵称 |
| 9 | password | varchar | 64 | 是 | 否 | 密码 |
| 10 | | varchar | 64 | 否 | 否 | 邮箱 |
| 11 | email_state | smallint | 是 | 否 | 邮箱认证:(0未认证|1审核中|2已认证) | |
| 12 | avatar | varchar | 255 | 否 | 否 | 头像地址 |
| 13 | open_id | varchar | 255 | 否 | 否 | 针对获取用户信息字段 |
| 14 | create_time | timestamp | 是 | 否 | 创建时间 |
表 4-19-user_group(用户组)
| 编号 | 字段名 | 类型 | 长度 | 是否非空 | 是否主键 | 注释 |
| 1 | group_id | mediumint | 是 | 是 | 用户组ID | |
| 2 | display | smallint | 是 | 否 | 显示顺序 | |
| 3 | name | varchar | 16 | 是 | 否 | 名称 |
| 4 | description | varchar | 255 | 否 | 否 | 描述 |
| 5 | source_table | varchar | 255 | 否 | 否 | 来源表 |
| 6 | source_field | varchar | 255 | 否 | 否 | 来源字段 |
| 7 | source_id | int | 是 | 否 | 来源ID | |
| 8 | register | smallint | 否 | 否 | 注册位置 | |
| 9 | create_time | timestamp | 是 | 否 | 创建时间 | |
| 10 | update_time | timestamp | 是 | 否 | 更新时间 |
表 4-20-venue_information(场馆信息)
| 编号 | 字段名 | 类型 | 长度 | 是否非空 | 是否主键 | 注释 |
| 1 | venue_information_id | int | 是 | 是 | 场馆信息ID | |
| 2 | venue_name | varchar | 64 | 否 | 否 | 场馆名称 |
| 3 | venue_number | varchar | 64 | 否 | 否 | 场馆编号 |
| 4 | venue_pictures | varchar | 255 | 否 | 否 | 场馆图片 |
| 5 | venue_address | varchar | 64 | 否 | 否 | 场馆地址 |
| 6 | venue_status | varchar | 64 | 否 | 否 | 场馆状态 |
| 7 | types_of_sports | varchar | 64 | 否 | 否 | 体育类型 |
| 8 | hourly_unit_price | double | 否 | 否 | 小时单价 | |
| 9 | venue_details | text | 65535 | 否 | 否 | 场馆详情 |
| 10 | hits | int | 是 | 否 | 点击数 | |
| 11 | praise_len | int | 是 | 否 | 点赞数 | |
| 12 | collect_len | int | 是 | 否 | 收藏数 | |
| 13 | comment_len | int | 是 | 否 | 评论数 | |
| 14 | venue_reservation_limit_times | int | 是 | 否 | 预约限制次数 | |
| 15 | create_time | datetime | 是 | 否 | 创建时间 | |
| 16 | update_time | timestamp | 是 | 否 | 更新时间 |
表 4-21-venue_reservation(场馆预约)
| 编号 | 字段名 | 类型 | 长度 | 是否非空 | 是否主键 | 注释 |
| 1 | venue_reservation_id | int | 是 | 是 | 场馆预约ID | |
| 2 | user_account | int | 否 | 否 | 用户账号 | |
| 3 | user_name | varchar | 64 | 否 | 否 | 用户姓名 |
| 4 | user_phone | varchar | 64 | 否 | 否 | 用户电话 |
| 5 | venue_name | varchar | 64 | 否 | 否 | 场馆名称 |
| 6 | venue_number | varchar | 64 | 否 | 否 | 场馆编号 |
| 7 | venue_address | varchar | 64 | 否 | 否 | 场馆地址 |
| 8 | hourly_unit_price | double | 否 | 否 | 小时单价 | |
| 9 | appointment_time | datetime | 否 | 否 | 预约时间 | |
| 10 | appointment_duration | double | 否 | 否 | 预约时长 | |
| 11 | appointment_amount | varchar | 64 | 否 | 否 | 预约金额 |
| 12 | reservation_order_number | varchar | 64 | 否 | 否 | 预约单号 |
| 13 | appointment_details | text | 65535 | 否 | 否 | 预约详情 |
| 14 | pay_state | varchar | 16 | 是 | 否 | 支付状态 |
| 15 | pay_type | varchar | 16 | 否 | 否 | 支付类型: 微信、支付宝、网银 |
| 16 | cancel_appointment_limit_times | int | 是 | 否 | 取消限制次数 | |
| 17 | site_evaluation_limit_times | int | 是 | 否 | 评价限制次数 | |
| 18 | create_time | datetime | 是 | 否 | 创建时间 | |
| 19 | update_time | timestamp | 是 | 否 | 更新时间 | |
| 20 | source_table | varchar | 255 | 否 | 否 | 来源表 |
| 21 | source_id | int | 否 | 否 | 来源ID | |
| 22 | source_user_id | int | 否 | 否 | 来源用户 |
5 .系统实现
5.1前端首页模块
前台首页模块主要包括各类信息的展示,如用户注册登录状态、热门场馆推荐、最新体育资讯以及轮播图展示等。用户可以通过前台首页快速了解系统的主要功能和最新动态。首页设计注重用户体验,布局清晰,色彩搭配和谐,使用户在使用过程中能够轻松找到所需信息。同时,首页还提供了便捷的导航链接,方便用户跳转到其他功能模块。前台首页模块展示如下图所示。

图5-1前台首页模块图
5.2用户注册模块
不是校园体育场馆预约微信小程序中正式用户的是可以在线进行注册的,当填写上自己的账号+设置密码+确认密码+昵称+邮箱+手机号+身份+用户姓名+用户性别等信息后再点击“注册”按钮后将会先验证输入的有没有空数据,再次验证密码和确认密码是否是一样的,最后验证输入的账户名和数据库表中已经注册的账户名是否重复,只有都验证没问题后即可用户注册成功。其用户注册模块展示如下图所示。

图5-2注册模块图
5.3登录模块
校园体育场馆预约微信小程序中的前台上注册后的用户是可以通过自己的用户名+密码进行登录的,当用户输入完整的自己的用户名+密码信息并点击“登录”按钮后,将会首先验证输入的有没有空数据,再次验证输入的用户名+密码和数据库中当前保存的用户信息是否一致,只有在一致后将会登录成功并自动跳转到校园体育场馆预约微信小程序的首页中,否则将会提示相应错误信息,登录模块如下图所示。

图5-3登录模块图
5.4前端注册用户功能模块
5.4.1通知公告模块
此模块展示最新的体育中心通知和公告,用户可以查看所有公告的列表,并点击进入详细内容。公告内容包括活动安排、规则变更等重要信息。模块如下图所示:

图5-4通知公告模块图
5.4.2体育资讯模块
在这个模块中,用户能够轻松地浏览到最新发布的体育新闻和各类精彩文章。用户不仅能够阅读这些内容,还可以通过点赞、收藏和评论的方式与内容互动,表达自己的观点和喜好。模块如下图所示。

图5-5体育资讯模块图
5.4.3场馆信息模块
用户可以查看各个体育场馆的设施情况、开放时间以及其他相关信息。用户还可以通过点赞、收藏和评论功能来表达对场馆的喜爱或提出建议。预约功能的加入,让用户能够根据自己的时间安排,选择合适的时段进行场馆的预约。整个预约流程设计得简洁明了,用户可以轻松完成预约操作,享受便捷的体育活动体验。模块如下图所示。

图5-6场馆信息详情模块图

图5-7场馆信息:预约模块图
5.4.4“我的”模块
在个人中心模块,用户可以方便地查看和编辑自己的个人信息,包括但不限于个人资料、联系方式等。同时,用户还可以管理自己收藏的体育资讯和场馆信息,方便随时回顾和获取最新动态。此外,用户可以查看自己的场馆预约详情,进行支付操作、取消预约以及对预约服务进行评价。这个模块为用户提供了一个全面的个人账户管理平台,让用户能够更好地控制自己的账户信息和服务体验。模块如下图所示。

图5-8“我的”模块图
5.5后端管理员功能模块
5.5.1公共管理模块
在这一部分,管理员拥有对网站轮播图进行更新的权限,可以发布新的通知公告,以保持网站内容的时效性和吸引力。此外,管理员还负责管理用户的留言和投诉,通过积极的互动,维护用户关系,确保网站的活跃度和用户的良好体验。模块如下图所示。

图5-9轮播图管理模块图
5.5.2用户管理模块
管理员在用户管理方面拥有查看用户信息、修改用户状态等操作的权限。这包括对注册用户进行细致的管理,确保用户资料的准确性和安全性。同时,管理员还可以对其他管理员账户进行管理,包括权限的分配和调整,以确保网站的正常运营和管理的有序性。流程图如下所示。

图5-10用户管理流程图
用户管理模块如下图所示。

图5-11用户管理模块图
5.5.3资讯管理模块
在资讯管理方面,管理员可以对体育资讯进行新增、删除、查询和查看详情,确保资讯的及时更新和准确性。管理员还可以对资讯分类进行管理,包括新增分类、删除分类、查询分类和查看分类详情等操作,方便用户根据不同的体育类型快速找到所需资讯,提高用户体验。模块如下图所示。

图5-12体育资讯管理模块图
5.5.4场馆信息模块
管理员可以对场馆信息进行新增、删除、查询和查看详情,还可以查看用户的评论,对场馆信息进行全方位的管理。这不仅包括场馆信息的更新和维护,还包括对用户评论的监控和管理,确保场馆信息的真实性和可靠性,为用户提供准确的参考。模块如下图所示。

图5-13场馆信息管理模块图
5.5.5场馆预约管理模块
管理员可以对场馆预约进行新增、删除、查询和查看详情,同时也可以对预约的评价、支付和取消操作进行管理,确保预约系统的顺畅运作。这包括对预约流程的监控,以及对预约评价的管理,确保用户预约体验的顺畅和满意度。模块如下图所示。

图5-14场馆预约管理模块图
5.5.6取消预约管理模块
管理员可以对取消预约进行新增、删除、查询和查看详情,方便处理用户取消预约的相关事宜。这包括对取消预约流程的管理,以及对相关数据的记录和分析,确保预约系统的灵活性和用户满意度。模块如下图所示。

图5-15取消预约模块图
5.5.7场地评价管理模块
管理员可以对场地评价进行新增、删除、查询和查看详情,确保场地评价的真实性和有效性,为其他用户提供参考。这包括对用户评价的审核和管理,确保评价内容的公正性和准确性,提升用户对场地的信任度。模块如下图所示。

图5-16场地评价管理模块图
6 .系统测试
6.1系统测试的目的
测试的主要目的是确保系统的功能和性能满足预期的需求,同时识别和修复潜在的缺陷。通过系统测试,可以验证各个功能模块的正确性和稳定性,确保系统在不同使用场景下的表现符合设计要求。测试目的包括确认系统功能的完整性、验证数据处理的准确性、评估系统的性能和安全性。测试还可以提高用户满意度,保证用户在使用系统时获得流畅和可靠的体验。通过全面的测试,可以降低后期维护成本,减少系统上线后出现故障的风险,从而保障系统的长期稳定运行。
6.2测试方法
在本系统中,测试方法主要依赖于测试用例的设计与执行。测试用例是根据系统需求文档编写的,覆盖所有功能模块及其边界情况。每个测试用例包含输入数据、预期结果和实际结果的对比,以验证系统的功能是否按预期工作。
常见的测试用例包括功能测试用例、边界测试用例和异常测试用例。功能测试用例针对系统的各项功能进行验证;边界测试用例则侧重于输入数据的边界条件,验证系统在极端情况下是否能够稳定运行;异常测试用例则用于验证系统在处理错误输入或异常情况时的反应。本文选择功能测试用例进行系统测试。
在测试执行过程中,记录每个用例的执行结果,并根据实际结果与预期结果的对比,判断系统是否存在缺陷。通过系统化的测试用例执行,可以有效提高测试的覆盖率和效率,为系统的最终上线提供保障。
6.3测试用例
6.3.1用户登录功能测试
表6-1 用户登录功能测试表
| 用例名称 | 用户登录系统 |
| 目的 | 测试用户通过正确的用户名和密码可否登录功能 |
| 前提 | 未登录的情况下 |
| 测试流程 | 1) 进入登录页面 2) 输入正确的用户名和密码 |
| 预期结果 | 用户名和密码正确的时候,跳转到登录成功界面,反之则显示错误信息,提示重新输入 |
| 实际结果 | 实际结果与预期结果一致 |
6.3.2创建数据测试
在系统中,创建功能也是基础功能之一,因此创建功能的测试很有代表性。在此章节主要列举在创建时各种情况下系统结果的测试。由于系统涉及创建功能操作过多,因此将多处统称创建功能。
创建数据用例如表6-2 所示。
表6-2 创建数据测试用例
| 测试用例编号 | YL_05 | |
| 测试用例名称 | 系统使用者进行创建数据 | |
| 测试用例描述 | 使用者输入要创建的数据 | |
| 系统入口 | 浏览器 | |
| 步骤 | 预期结果 | 实际结果 |
| 输入完整并且格式正确的数据 | 提示“创建成功”,并显示所有数据 | 预期结果 |
| 核心位置数据但非必要位置不输入数据 | 提示“创建成功”,并显示所有数据 | 预期结果 |
| 核心数据位置不输入数据 | 提示“创建失败” | 预期结果 |
6.3.3修改数据测试
在系统中,修改功能是系统主要实现功能,因此修改功能的测试很有代表性。在此章节主要列举在修改时各种情况下系统结果的测试。由于系统涉及修改功能操作过多,因此将多处数据表记录修改和状态修改统称修改功能。
修改数据用例如表6-3所示。
表6-3 修改数据测试用例
| 测试用例编号 | YL_06 | |
| 测试用例名称 | 系统使用者进行修改数据 | |
| 测试用例描述 | 使用者对可修改的数据项进行修改 | |
| 系统入口 | 浏览器 | |
| 步骤 | 预期结果 | 实际结果 |
| 将现有数据修改成正确的数据 | 提示“修改成功”,并显示所有数据 | 预期结果 |
| 将现有数据修改成错误的数据 | 提示“修改失败” | 预期结果 |
6.3.4查询数据测试
在系统中,查询功能是使用系统使用最多也是最基础的功能,因此查询功能的测试很有代表性。在此章节主要列举在查询时各种情况下系统结果的测试。
查询数据用例如表6-4所示。
表6-4 查询数据测试用例
| 测试用例编号 | YL_05 | |
| 测试用例名称 | 系统使用者进行查询数据 | |
| 测试用例描述 | 全部查询以及输入关键词查询 | |
| 系统入口 | 浏览器 | |
| 步骤 | 预期结果 | 实际结果 |
| 界面自动查询全部 | 显示对应所有记录 | 预期结果 |
| 输入已存在且能匹配成功的关键字 | 显示所查询到的数据 | 预期结果 |
| 输入不存在的关键字 | 显示数据界面为空 | 预期结果 |
6.4测试结果
在本次测试的过程主要针对所有功能下的添加操作,修改操作和删除操作,并以真实数据一一进行相关功能项目的输入,最终能够保证每个项目涉及的功能都能够正常运行,因此能够保证本次设计的,已实现的功能能够正常运行并且相关数据库的信息也同样保证正确。
通过采用Spring Boot和Java技术,成功实现了校园体育场馆预约微信小程序的开发。该系统集成了注册登录、首页信息展示、场馆详情查看、在线预约与支付以及用户评价等核心功能,为用户提供了一个便捷高效的预约平台。整个开发过程不仅深化了对后端服务构建的理解,也提升了设计人性化用户界面的能力,确保了系统的易用性和稳定性。
对于未来的发展,考虑增加更多个性化服务,如根据用户偏好推荐健身课程或活动,进一步提升用户体验。优化现有功能模块,比如提高信息更新速度和精确度,也是持续关注的重点。长远来看,探索与其他校园服务整合的可能性,可以创造一个更加综合的服务平台,不仅服务于体育场馆预约,还能覆盖更广泛的校园生活需求,促进健康生活方式的普及与发展。
- 杨琳,党昫晖,孙思运,等.基于JSP的智慧体育场馆预约管理系统的研究与设计[J].电子设计工程, 2023, 31(24):56-60.
- 张娅.智能化时代广东省体育场馆运营模式及人才需求现状初探[J].运动-休闲:大众体育, 2022(20):0070-0072.
- 李莉,宁科.陕西省高校体育馆运营管理模式研究[J].当代体育科技, 2023, 13(20):147-150.
- 苏勇.郑州市体育公共服务网络平台的功能开发研究[D].河南大学,2022.
- 苏思畅,程文广.大数据助力我国学校体育场馆开放共享对策研究[C]//第十二届全国体育科学大会论文摘要汇编——专题报告(体育产业分会).2022.
- 李烁,王爽,姚路嘉.数字化转型背景下智慧体育场馆运营发展路径分析[J].文体用品与科技, 2023(24):190-192.
- 刘敏,刘腾蛟,马海峰.用于体育场馆的费用支付系统:CN202111667039.5[P].CN202111667039.5[2024-12-11].
- 崔傲雪.一种基于物联网的可视化运动场预约系统:CN202211009510.6[P].CN202211009510.6[2024-12-11].
- 纪力.智慧场馆自动分配预约系统设计与实现[C]//第十届中国体能训练科学大会论文集(下).2023.
- 刘泽.大型体育场馆智能化优化路径研究[D].西南财经大学,2022.
- 于子桐,邵志豪.智慧体育场馆预约系统的研究与设计[J].电脑编程技巧与维护, 2022(7):94-96.
- 陈佳乐.基于微信小程序的图书馆座位预约系统[J].电脑编程技巧与维护, 2024(3):63-65.
- 熊海东.微信小程序开发——从入门到项目实战(微课版) [M].电子工业出版社,2023.
- 佚名.微信小程序开发. 初级[M].电子工业出版社,2022.
校园体育场馆预约微信小程序设计与实现工作已结束,虽然过程中充满挑战,但内心充满自豪和满足。感谢大学四年间教导我的所有老师,他们的专业知识与人生智慧让我成长为能独立完成系统的学生。特别感谢指导老师,他耐心解答疑惑,引导我解决问题,提升自主解决能力。室友和同学们的宝贵建议和支持也让我取得长足进步。未来,我将继续努力追求卓越,不辜负所学所悟和老师期望。坚信坚定信念和不懈努力,未来定能取得更辉煌成就。期待更美好未来!
此外,校园体育场馆预约微信小程序设计与实现不仅是技术挑战,挫折和困难是成长的垫脚石,让我更深入理解问题,精确找到解决方案。每次解决问题,都感到满足和自豪。
对于未来,我充满期待和信心。无论道路多崎岖,只要保持坚定信念,持续努力,定能取得更大成就。期待将知识和技能运用到实际中,为社会做出更大贡献。
最后,感谢所有帮助和支持我的人。你们的教诲、鼓励和支持让我有今天的成就。我会继续努力,不辜负期望,为实现更美好的未来而奋斗。
代码:
连接数据库的文件在Resources 文件夹下的application.yml文件,代码如下:
server:
port: 5000
servlet:
context-path: /api
spring:
mvc:
static-path-pattern: /upload/**
resources:
static-locations: file:此处填写地址/project93355/server/src/main/resources/static
datasource:
jdbc:mysql://127.0.0.1:3306/projectxxxxx?serverTimezone=GMT%2B8&useSSL=false&characterEncoding=utf-8
username: root
password: root
driver-class-name: com.mysql.cj.jdbc.Driver
type: com.alibaba.druid.pool.DruidDataSource
jackson:
property-naming-strategy: CAMEL_CASE_TO_LOWER_CASE_WITH_UNDERSCORES
default-property-inclusion: ALWAYS
time-zone: GMT+8
date-format: yyyy-MM-dd HH:mm:ss
servlet:
项目启动文件Application.java,代码如下:
@SpringBootApplication(exclude = {DataSourceAutoConfiguration.class})
@EnableJpaRepositories
@MapperScan("com.project.demo.dao")
public class Application {
public static void main(String[] args) {
SpringApplication.run(Application.class,args);
}
}
修改数据代码如下:
@PostMapping("/set")
@Transactional
public Map<String, Object> set(HttpServletRequest request) throws IOException {
service.update(service.readQuery(request), service.readConfig(request), service.readBody(request.getReader()));
return success(1);
}
删除一条数据代码如下:
@RequestMapping(value = "/del")
@Transactional
public Map<String, Object> del(HttpServletRequest request) {
service.delete(service.readQuery(request), service.readConfig(request));
return success(1);
}
public void delete(Map<String,String> query,Map<String,String> config){
QueryWrapper wrapper = new QueryWrapper<E>();
toWhereWrapper(query, "0".equals(config.get(FindConfig.GROUP_BY)),wrapper);
baseMapper.delete(wrapper);
log.info("[{}] - 删除操作:{}",wrapper.getSqlSelect());
}
通过请求的参数获取列表数据,代码如下:
@RequestMapping("/get_list")
public Map<String, Object> getList(HttpServletRequest request) {
Map<String, Object> map = service.selectToPage(service.readQuery(request), service.readConfig(request));
return success(map);
}
获取某个组下面的数量,代码如下:
@RequestMapping(value = {"/count_group", "/count"})
public Map<String, Object> count(HttpServletRequest request) {
Integer value= service.selectSqlToInteger(service.groupCount(service.readQuery(request), service.readConfig(request)));
return success(value);
}
注册页登录代码如下:
/**
* 注册
* @param user
* @return
*/
@PostMapping("register")
public Map<String, Object> signUp(@RequestBody User user) {
// 查询用户
Map<String, String> query = new HashMap<>();
Map<String,Object> map = JSON.parseObject(JSON.toJSONString(user));
query.put("username",user.getUsername());
List list = service.selectBaseList(service.select(query, new HashMap<>()));
if (list.size()>0){
return error(30000, "用户已存在");
}
map.put("password",service.encryption(String.valueOf(map.get("password"))));
service.insert(map);
return success(1);
}
MD5加密,代码如下:
public String encryption(String plainText) {
String re_md5 = new String();
try {
MessageDigest md = MessageDigest.getInstance("MD5");
md.update(plainText.getBytes());
byte b[] = md.digest();
int i;
StringBuffer buf = new StringBuffer("");
for (int offset = 0; offset < b.length; offset++) {
i = b[offset];
if (i < 0)
i += 256;
if (i < 16)
buf.append("0");
buf.append(Integer.toHexString(i));
}
re_md5 = buf.toString();
} catch (Exception e) {
e.printStackTrace();
}
return re_md5;
}
登录页代码如下:
/**
* 登录
* @param data
* @param httpServletRequest
* @return
*/
@PostMapping("login")
public Map<String, Object> login(@RequestBody Map<String, String> data, HttpServletRequest httpServletRequest) {
log.info("[执行登录接口]");
String username = data.get("username");
String email = data.get("email");
String phone = data.get("phone");
String password = data.get("password");
List resultList = null;
Map<String, String> map = new HashMap<>();
if(username != null && "".equals(username) == false){
map.put("username", username);
resultList = service.selectBaseList(service.select(map, new HashMap<>()));
}
else if(email != null && "".equals(email) == false){
map.put("email", email);
resultList = service.selectBaseList(service.select(map, new HashMap<>()));
}
找回密码,接收用户输入的用户名、密码、验证码,并进行条件判断,代码如下:
/**
* 找回密码
* @param form
* @return
*/
@PostMapping("forget_password")
public Map<String, Object> forgetPassword(@RequestBody User form,HttpServletRequest request) {
JSONObject ret = new JSONObject();
String username = form.getUsername();
String code = form.getCode();
String password = form.getPassword();
// 判断条件
if(code == null || code.length() == 0){
return error(30000, "验证码不能为空");
}
if(username == null || username.length() == 0){
return error(30000, "用户名不能为空");
}
if(password == null || password.length() == 0){
return error(30000, "密码不能为空");
}

被折叠的 条评论
为什么被折叠?



