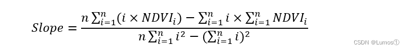
slope斜率计算公式:

假设有三年的NDVI图像
- 加载3年栅格数据,公式中n取3
- 计算分子左边:
3*(1*"1990.tif"+2*"1991.tif"+3*"1992.tif") - 计算分子右边:
6*("1990.tif"+"1991.tif"+"1992.tif") - 分母计算结果为:
3*(1^2+2^2+3^2)-(1+2+3)^2=6
分子整理一下,去除分母即可
2024年4月22号修改:
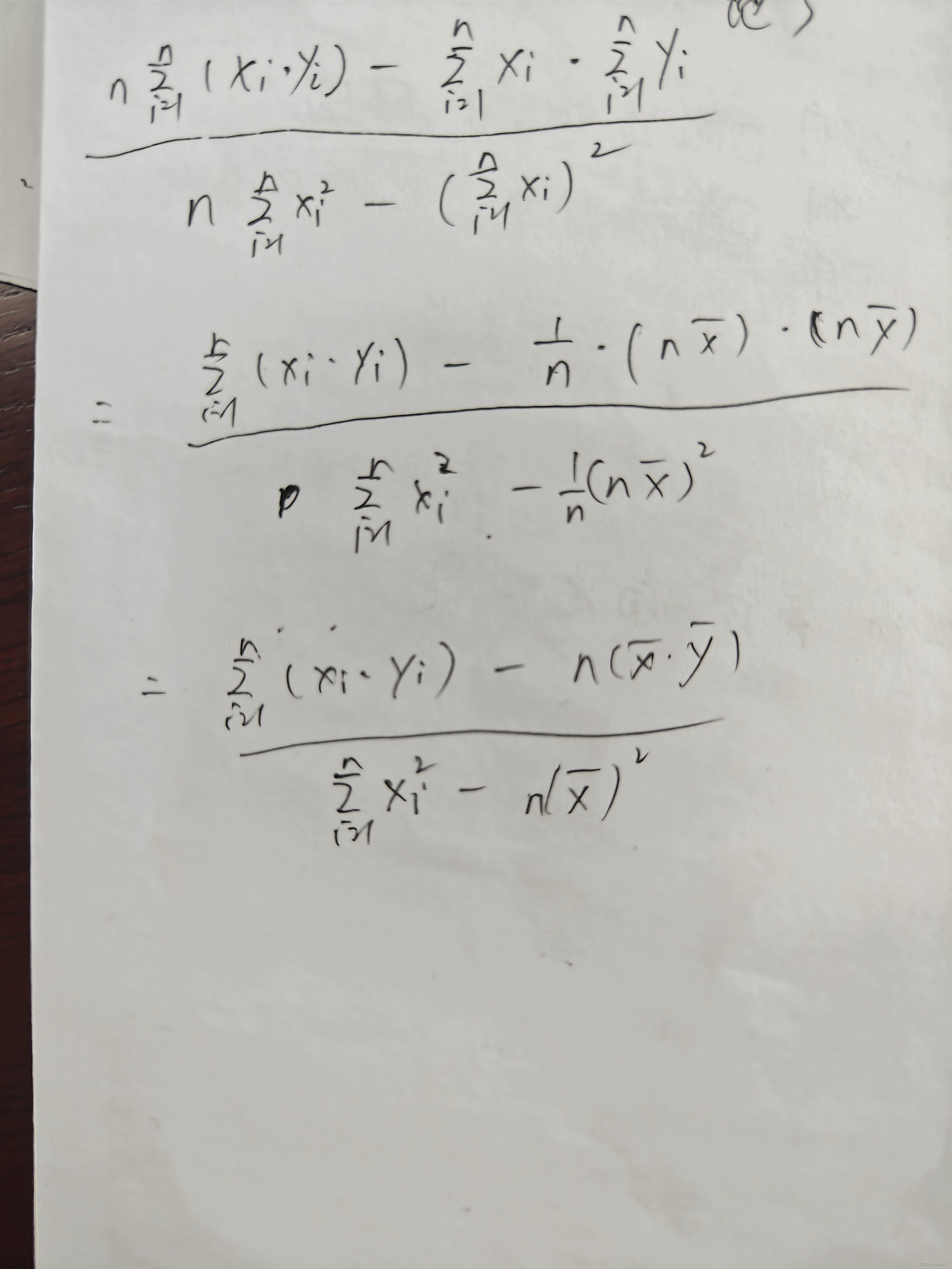
这TM不就是一元线性回归吗?上面图片的写法我都要看不懂了:
一元线性回归的推导参考:最小二乘公式推导(步骤详细,一看就会)_最小二乘法公式详细步骤-优快云博客
推导如下
1万+

被折叠的 条评论
为什么被折叠?



