目录
链表
203. 移除链表元素
题目
给你一个链表的头节点 head 和一个整数 val ,请你删除链表中所有满足 Node.val == val 的节点,并返回 新的头节点 。
示例 1:
输入:head = [1,2,6,3,4,5,6], val = 6
输出:[1,2,3,4,5]
示例 2:
输入:head = [], val = 1
输出:[]
示例 3:
输入:head = [7,7,7,7], val = 7
输出:[]
提示:
- 列表中的节点数目在范围 [0, 10^4] 内
- 1 <= Node.val <= 50
- 0 <= val <= 50
代码
- 虚拟头节点(哨兵)
时间复杂度 O(N)
空间复杂度 O(1)
# Definition for singly-linked list.
# class ListNode:
# def __init__(self, val=0, next=None):
# self.val = val
# self.next = next
class Solution:
def removeElements(self, head: Optional[ListNode], val: int) -> Optional[ListNode]:
cur = dummy = ListNode(next=head)
while cur and cur.next:
while cur.next and cur.next.val == val:
cur.next = cur.next.next
cur = cur.next
return dummy.next
707. 设计链表
题目
你可以选择使用单链表或者双链表,设计并实现自己的链表。
单链表中的节点应该具备两个属性:val 和 next 。val 是当前节点的值,next 是指向下一个节点的指针/引用。
如果是双向链表,则还需要属性 prev 以指示链表中的上一个节点。假设链表中的所有节点下标从 0 开始。
实现 MyLinkedList 类:
- MyLinkedList() 初始化 MyLinkedList 对象。
- int get(int index) 获取链表中下标为 index 的节点的值。如果下标无效,则返回 -1 。
- void addAtHead(int val) 将一个值为 val 的节点插入到链表中第一个元素之前。在插入完成后,新节点会成为链表的第一个节点。
- void addAtTail(int val) 将一个值为 val 的节点追加到链表中作为链表的最后一个元素。
- void addAtIndex(int index, int val) 将一个值为 val 的节点插入到链表中下标为 index 的节点之前。如果 index 等于链表的长度,那么该节点会被追加到链表的末尾。如果 index 比长度更大,该节点将 不会插入 到链表中。
- void deleteAtIndex(int index) 如果下标有效,则删除链表中下标为 index 的节点。
示例 :
输入
["MyLinkedList", "addAtHead", "addAtTail", "addAtIndex", "get", "deleteAtIndex", "get"]
[[], [1], [3], [1, 2], [1], [1], [1]]
输出
[null, null, null, null, 2, null, 3]
解释
MyLinkedList myLinkedList = new MyLinkedList();
myLinkedList.addAtHead(1);
myLinkedList.addAtTail(3);
myLinkedList.addAtIndex(1, 2); // 链表变为 1->2->3
myLinkedList.get(1); // 返回 2
myLinkedList.deleteAtIndex(1); // 现在,链表变为 1->3
myLinkedList.get(1); // 返回 3
提示:
- 0 <= index, val <= 1000
- 请不要使用内置的 LinkedList 库。
- 调用 get、addAtHead、addAtTail、addAtIndex 和 deleteAtIndex 的次数不超过 2000 。
代码
- 单链表法 保存dummy 和维护链表长度size
时间复杂度 O(N)
空间复杂度 O(1)
# Definition for singly-linked list.
# class ListNode:
# def __init__(self, val=0, next=None):
# self.val = val
# self.next = next
class Solution:
def removeElements(self, head: Optional[ListNode], val: int) -> Optional[ListNode]:
cur = dummy = ListNode(next=head)
while cur and cur.next:
while cur.next and cur.next.val == val:
cur.next = cur.next.next
cur = cur.next
return dummy.next
206. 反转链表
题目
给你单链表的头节点 head ,请你反转链表,并返回反转后的链表。
示例 1:
输入:head = [1,2,3,4,5]
输出:[5,4,3,2,1]
示例 2:
输入:head = [1,2]
输出:[2,1]
示例 3:
输入:head = []
输出:[]
提示:
- 链表中节点的数目范围是 [0, 5000]
- -5000 <= Node.val <= 5000
**进阶:**链表可以选用迭代或递归方式完成反转。你能否用两种方法解决这道题?
代码
- 双指针法 cur指向head pre 指向None一步步改指向
时间复杂度 O(N)
空间复杂度 O(1)
# Definition for singly-linked list.
# class ListNode:
# def __init__(self, val=0, next=None):
# self.val = val
# self.next = next
class Solution:
def removeElements(self, head: Optional[ListNode], val: int) -> Optional[ListNode]:
cur = dummy = ListNode(next=head)
while cur and cur.next:
while cur.next and cur.next.val == val:
cur.next = cur.next.next
cur = cur.next
return dummy.next
24. 两两交换链表中的节点
题目
给你一个链表,两两交换其中相邻的节点,并返回交换后链表的头节点。你必须在不修改节点内部的值的情况下完成本题(即,只能进行节点交换)。
示例 1:
输入:head = [1,2,3,4]
输出:[2,1,4,3]
示例 2:
输入:head = []
输出:[]
示例 3:
输入:head = [1]
输出:[1]
提示:
- 链表中节点的数目在范围 [0, 100] 内
- 0 <= Node.val <= 100
代码
- 迭代 dummy三步操作改next
时间复杂度 O(N)
空间复杂度 O(1)
# Definition for singly-linked list.
# class ListNode:
# def __init__(self, val=0, next=None):
# self.val = val
# self.next = next
class Solution:
def swapPairs(self, head: Optional[ListNode]) -> Optional[ListNode]:
cur = dummy = ListNode(next=head)
while cur.next and cur.next.next:
next1 = cur.next
next3 = cur.next.next.next
cur.next = cur.next.next
cur.next.next = next1
next1.next = next3
cur = cur.next.next
return dummy.next
19. 删除链表的倒数第 N 个结点
题目
给你一个链表,删除链表的倒数第 n 个结点,并且返回链表的头结点。
示例 1:
输入:head = [1,2,3,4,5], n = 2
输出:[1,2,3,5]
示例 2:
输入:head = [1], n = 1
输出:[]
示例 3:
输入:head = [1,2], n = 1
输出:[1]
提示:
- 链表中结点的数目为 sz
- 1 <= sz <= 30
- 0 <= Node.val <= 100
- 1 <= n <= sz
**进阶:**你能尝试使用一趟扫描实现吗?
代码
- 双指针 dummy快指针先走n步 然后快慢指针一起走快指针到尾部 慢指针修改next
时间复杂度 O(N)
空间复杂度 O(1)
# Definition for singly-linked list.
# class ListNode:
# def __init__(self, val=0, next=None):
# self.val = val
# self.next = next
class Solution:
def removeNthFromEnd(self, head: Optional[ListNode], n: int) -> Optional[ListNode]:
slow = fast = dummy = ListNode(next=head)
while n:
fast = fast.next
n -= 1
while fast.next:
fast = fast.next
slow = slow.next
slow.next = slow.next.next
return dummy.next
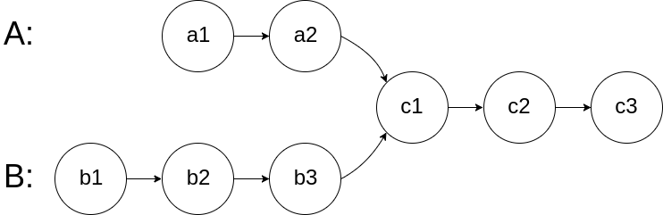
LCR 023. 相交链表
题目
给定两个单链表的头节点 headA 和 headB ,请找出并返回两个单链表相交的起始节点。如果两个链表没有交点,返回 null 。
图示两个链表在节点 c1 开始相交:

题目数据 保证 整个链式结构中不存在环。
注意,函数返回结果后,链表必须 保持其原始结构 。
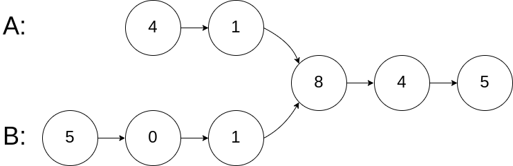
示例 1:

输入:intersectVal = 8, listA = [4,1,8,4,5], listB = [5,0,1,8,4,5], skipA = 2, skipB = 3
输出:Intersected at '8'
解释:相交节点的值为 8 (注意,如果两个链表相交则不能为 0)。
从各自的表头开始算起,链表 A 为 [4,1,8,4,5],链表 B 为 [5,0,1,8,4,5]。
在 A 中,相交节点前有 2 个节点;在 B 中,相交节点前有 3 个节点。
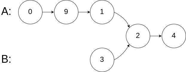
示例 2:

输入:intersectVal = 2, listA = [0,9,1,2,4], listB = [3,2,4], skipA = 3, skipB = 1
输出:Intersected at '2'
解释:相交节点的值为 2 (注意,如果两个链表相交则不能为 0)。
从各自的表头开始算起,链表 A 为 [0,9,1,2,4],链表 B 为 [3,2,4]。
在 A 中,相交节点前有 3 个节点;在 B 中,相交节点前有 1 个节点。
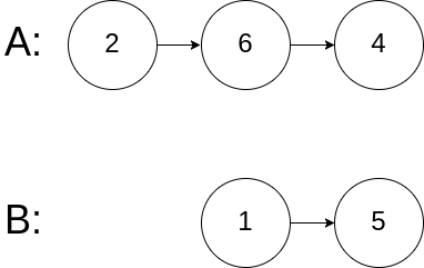
示例 3:

输入:intersectVal = 0, listA = [2,6,4], listB = [1,5], skipA = 3, skipB = 2
输出:null
解释:从各自的表头开始算起,链表 A 为 [2,6,4],链表 B 为 [1,5]。
由于这两个链表不相交,所以 intersectVal 必须为 0,而 skipA 和 skipB 可以是任意值。
这两个链表不相交,因此返回 null 。
提示:
- listA 中节点数目为 m
- listB 中节点数目为 n
- 0 <= m, n <= 3 * 104
- 1 <= Node.val <= 105
- 0 <= skipA <= m
- 0 <= skipB <= n
- 如果 listA 和 listB 没有交点,intersectVal 为 0
- 如果 listA 和 listB 有交点,intersectVal == listA[skipA + 1] == listB[skipB + 1]
**进阶:**能否设计一个时间复杂度 O(n) 、仅用 O(1) 内存的解决方案?
代码
- 双指针 利用总长度为m+n
时间复杂度 O(m+n)
空间复杂度 O(1)
# Definition for singly-linked list.
# class ListNode:
# def __init__(self, x):
# self.val = x
# self.next = None
class Solution:
def getIntersectionNode(self, headA: ListNode, headB: ListNode) -> ListNode:
A, B = headA, headB
while A != B:
A = A.next if A else headB
B = B.next if B else headA
return A
141. 环形链表
题目
给你一个链表的头节点 head ,判断链表中是否有环。
如果链表中有某个节点,可以通过连续跟踪 next 指针再次到达,则链表中存在环。 为了表示给定链表中的环,评测系统内部使用整数 pos 来表示链表尾连接到链表中的位置(索引从 0 开始)。注意:pos 不作为参数进行传递 。仅仅是为了标识链表的实际情况。
如果链表中存在环 ,则返回 true 。 否则,返回 false 。
示例 1:

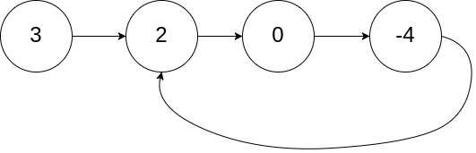
输入:head = [3,2,0,-4], pos = 1
输出:true
解释:链表中有一个环,其尾部连接到第二个节点。
示例 2:

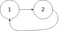
输入:head = [1,2], pos = 0
输出:true
解释:链表中有一个环,其尾部连接到第一个节点。
示例 3:

输入:head = [1], pos = -1
输出:false
解释:链表中没有环。
提示:
- 链表中节点的数目范围是 [0, 104]
- -10^5 <= Node.val <= 10^5
- pos 为 -1 或者链表中的一个 有效索引 。
**进阶:**你能用 O(1)(即,常量)内存解决此问题吗?
代码
- 双指针 利用循环特性
时间复杂度 O(n)
空间复杂度 O(1)
# Definition for singly-linked list.
# class ListNode:
# def __init__(self, x):
# self.val = x
# self.next = None
class Solution:
def hasCycle(self, head: Optional[ListNode]) -> bool:
# 快慢指针
slow = fast = head
while fast and fast.next:
fast = fast.next.next
slow = slow.next
if slow == fast:
return True
return False
142. 环形链表 II
题目
给定一个链表的头节点 head ,返回链表开始入环的第一个节点。 如果链表无环,则返回 null。
如果链表中有某个节点,可以通过连续跟踪 next 指针再次到达,则链表中存在环。 为了表示给定链表中的环,评测系统内部使用整数 pos 来表示链表尾连接到链表中的位置(索引从 0 开始)。如果 pos 是 -1,则在该链表中没有环。注意:pos 不作为参数进行传递,仅仅是为了标识链表的实际情况。
不允许修改 链表。
示例 1:

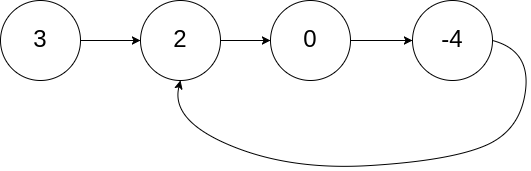
输入:head = [3,2,0,-4], pos = 1
输出:返回索引为 1 的链表节点
解释:链表中有一个环,其尾部连接到第二个节点。
示例 2:

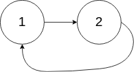
输入:head = [1,2], pos = 0
输出:返回索引为 0 的链表节点
解释:链表中有一个环,其尾部连接到第一个节点。
示例 3:

输入:head = [1], pos = -1
输出:false
解释:链表中没有环。
提示:
- 链表中节点的数目范围是 [0, 104]
- -10^5 <= Node.val <= 10^5
- pos 为 -1 或者链表中的一个 有效索引 。
进阶: 你能用 O(1)(即,常量)内存解决此问题吗?
代码
- 双指针 利用循环特性
时间复杂度 O(n)
空间复杂度 O(1)
# Definition for singly-linked list.
# class ListNode:
# def __init__(self, x):
# self.val = x
# self.next = None
class Solution:
def detectCycle(self, head: Optional[ListNode]) -> Optional[ListNode]:
slow = fast = head
while True:
if not(fast and fast.next): return
fast, slow = fast.next.next, slow.next
if fast == slow: break
fast = head
while fast != slow:
fast, slow = fast.next, slow.next
return fast
2. 两数相加
题目
给你两个 非空 的链表,表示两个非负的整数。它们每位数字都是按照 逆序 的方式存储的,并且每个节点只能存储 一位 数字。
请你将两个数相加,并以相同形式返回一个表示和的链表。
你可以假设除了数字 0 之外,这两个数都不会以 0 开头。
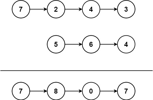
示例 1:

输入:l1 = [2,4,3], l2 = [5,6,4]
输出:[7,0,8]
解释:342 + 465 = 807.
示例 2:
输入:l1 = [0], l2 = [0]
输出:[0]
示例 3:
输入:l1 = [9,9,9,9,9,9,9], l2 = [9,9,9,9]
输出:[8,9,9,9,0,0,0,1]
提示:
- 每个链表中的节点数在范围 [1, 100] 内
- 0 <= Node.val <= 9
- 题目数据保证列表表示的数字不含前导零
代码
- 递归或者迭代
时间复杂度 O(n)
空间复杂度 O(n)或O(1)
# Definition for singly-linked list.
# class ListNode:
# def __init__(self, val=0, next=None):
# self.val = val
# self.next = next
class Solution:
def addTwoNumbers(self, l1: Optional[ListNode], l2: Optional[ListNode], carry=0) -> Optional[ListNode]:
# 递归
# if l1 is None and l2 is None:
# return ListNode(carry) if carry else None
# if l1 is None:
# l1, l2 = l2, l1
# carry += l1.val + (l2.val if l2 else 0)
# l1.val = carry % 10
# l1.next = self.addTwoNumbers(l1.next, l2.next if l2 else None, carry // 10)
# return l1
# 迭代
cur = dummy = ListNode()
carry = 0
while l1 or l2 or carry:
carry += (l1.val if l1 else 0) + (l2.val if l2 else 0)
cur.next = ListNode(carry % 10)
carry //= 10
cur = cur.next
if l1: l1 = l1.next
if l2: l2 = l2.next
return dummy. Next
445. 两数相加 II
题目
给你两个 非空 链表来代表两个非负整数。数字最高位位于链表开始位置。它们的每个节点只存储一位数字。将这两数相加会返回一个新的链表。
你可以假设除了数字 0 之外,这两个数字都不会以零开头。
示例 1:

输入:l1 = [7,2,4,3], l2 = [5,6,4]
输出:[7,8,0,7]
示例 2:
输入:l1 = [2,4,3], l2 = [5,6,4]
输出:[8,0,7]
示例 3:
输入:l1 = [0], l2 = [0]
输出:[0]
提示:
- 链表的长度范围为 [1, 100]
- 0 <= node.val <= 9
- 输入数据保证链表代表的数字无前导 0
**进阶:**如果输入链表不能翻转该如何解决?
代码
- 迭代 拆解为反转链表+两数相加
时间复杂度 O(n)
空间复杂度 O(1)
# Definition for singly-linked list.
# class ListNode:
# def __init__(self, val=0, next=None):
# self.val = val
# self.next = next
class Solution:
def reverseList(self, head):
cur, pre = head, None
while cur:
cur.next, pre, cur = pre, cur, cur.next
return pre
def addTwo(self, l1, l2):
cur = dummy = ListNode() # 哨兵节点
carry = 0 # 进位
while l1 or l2 or carry: # 有一个不是空节点,或者还有进位,就继续迭代
if l1: carry += l1.val # 节点值和进位加在一起
if l2: carry += l2.val # 节点值和进位加在一起
cur.next = ListNode(carry % 10) # 每个节点保存一个数位
carry //= 10 # 新的进位
cur = cur.next # 下一个节点
if l1: l1 = l1.next # 下一个节点
if l2: l2 = l2.next # 下一个节点
return dummy.next # 哨兵节点的下一个节点就是头节点
def addTwoNumbers(self, l1: Optional[ListNode], l2: Optional[ListNode]) -> Optional[ListNode]:
l1 = self.reverseList(l1)
l2 = self.reverseList(l2)
l3 = self.addTwo(l1, l2)
return self.reverseList(l3)
- 栈 两个栈存储每个链表的值 然后慢慢迭代创建新的链表
时间复杂度 O(max(m,n))
空间复杂度 O(m+n)
# Definition for singly-linked list.
# class ListNode:
# def __init__(self, val=0, next=None):
# self.val = val
# self.next = next
class Solution:
# 栈
def addTwoNumbers(self, l1: Optional[ListNode], l2: Optional[ListNode]) -> Optional[ListNode]:
s1, s2 = [], []
while l1:
s1.append(l1.val)
l1 = l1.next
while l2:
s2.append(l2.val)
l2 = l2.next
dummy = ListNode()
carry = 0
while s1 or s2 or carry:
s = (s1.pop() if s1 else 0) + (s2.pop() if s2 else 0) + carry
carry, val = divmod(s, 10)
dummy.next = ListNode(val, dummy.next)
return dummy. Next
871





