给你两棵二叉树的根节点 p 和 q ,编写一个函数来检验这两棵树是否相同。
如果两个树在结构上相同,并且节点具有相同的值,则认为它们是相同的。
示例 1:

输入:p = [1,2,3], q = [1,2,3]
输出:true
示例 2:

输入:p = [1,2], q = [1,null,2]
输出:false
示例 3:

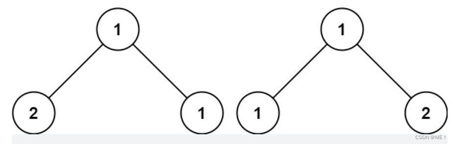
输入:p = [1,2,1], q = [1,1,2]
输出:false
提示:
两棵树上的节点数目都在范围 [0, 100] 内
-104 <= Node.val <= 104
解题思路:
使用两种方法。
方法一:递归法
/**
* Definition for a binary tree node.
* public class TreeNode {
* int val;
* TreeNode left;
* TreeNode right;
* TreeNode() {}
* TreeNode(int val) { this.val = val; }
* TreeNode(int val, TreeNode left, TreeNode right) {
* this.val = val;
* this.left = left;
* this.right = right;
* }
* }
*/
class Solution {
public boolean isSameTree(TreeNode p, TreeNode q) {
if (p == null && q == null) {return true;}
else if (p == null && q != null) {return false;}
else if (p != null && q == null) {return false;}
else if (p.val != q.val) {return false;}
return isSameTree(p.left, q.left) && isSameTree(p.right, q.right);
}
}
方法二:迭代法
迭代法使用队列或栈均可,逻辑是一样的。
/**
* Definition for a binary tree node.
* public class TreeNode {
* int val;
* TreeNode left;
* TreeNode right;
* TreeNode() {}
* TreeNode(int val) { this.val = val; }
* TreeNode(int val, TreeNode left, TreeNode right) {
* this.val = val;
* this.left = left;
* this.right = right;
* }
* }
*/
class Solution {
public boolean isSameTree(TreeNode p, TreeNode q) {
Queue<TreeNode> queue = new LinkedList<>();
queue.offer(p);
queue.offer(q);
while (!queue.isEmpty()) {
TreeNode left = queue.poll();
TreeNode right = queue.poll();
if (left == null && right == null) {continue;}
else if (left == null && right != null) {return false;}
else if (left != null && right == null) {return false;}
else if (left.val != right.val) {return false;}
queue.offer(left.left);
queue.offer(right.left);
queue.offer(left.right);
queue.offer(right.right);
}
return true;
}
}

本文介绍了一种判断两棵二叉树是否结构相同且节点值相等的方法。提供了递归和迭代两种实现方案,适用于验证数据结构中二叉树的一致性。
1862

被折叠的 条评论
为什么被折叠?



