矩阵论第二章题目练习【矩阵多项式和Jordan和sinA e】湖工大版

参考视频
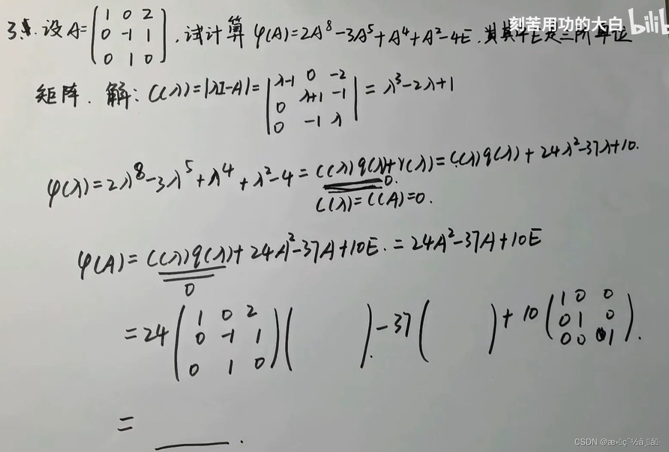
先求特征多项式,然后把对应的矩阵带进去得到0,用多项式触发得到余数,因为代入矩阵的原式会是0,那么B只需要考虑余项r,把A代入可得最后的值
请添加图片描述
求矩阵一边只保留E一边保留A,最后轻松得到A^-1
请添加图片描述
请添加图片描述
求最小多项式,取得特征多项式,然后验证,先验证低次,再验证高次
得最小多项式m(λ)
请添加图片描述
求约旦标准型
d1=D1=所有项公因式
剩下的用smith求
请添加图片描述
初级因子是去掉0次方的不变因子
请添加图片描述
请添加图片描述
请添加图片描述
请添加图片描述
参考视频
·
在这里插入图片描述
在这里插入图片描述
在这里插入图片描述
在这里插入图片描述
在这里插入图片描述

在这里插入图片描述
在这里插入图片描述
参考链接
在这里插入图片描述
在这里插入图片描述

在这里插入图片描述
在这里插入图片描述
在这里插入图片描述
在这里插入图片描述
在这里插入图片描述
在这里插入图片描述
在这里插入图片描述
在这里插入图片描述
参考视频 sinA e
在这里插入图片描述
在这里插入图片描述
在这里插入图片描述
在这里插入图片描述
在这里插入图片描述

评论 1
添加红包

请填写红包祝福语或标题

红包个数最小为10个

红包金额最低5元

当前余额3.43前往充值 >
需支付:10.00
成就一亿技术人!
领取后你会自动成为博主和红包主的粉丝 规则
hope_wisdom
发出的红包
实付
使用余额支付
点击重新获取
扫码支付
钱包余额 0

抵扣说明:

1.余额是钱包充值的虚拟货币,按照1:1的比例进行支付金额的抵扣。
2.余额无法直接购买下载,可以购买VIP、付费专栏及课程。

余额充值