如果有其他更好的方法,欢迎在评论区留言~
题目描述
输入两个无环的单向链表,找出它们的第一个公共结点,如果没有公共节点则返回空。(注意因为传入数据是链表,所以错误测试数据的提示是用其他方式显示的,保证传入数据是正确的)
数据范围:n≤1000
要求:空间复杂度 O(1),时间复杂度 O(n)
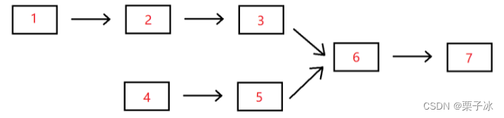
例如,输入{1,2,3},{4,5},{6,7}时,两个无环的单向链表的结构如下图所示:

可以看到它们的第一个公共结点的结点值为6,所以返回结点值为6的结点。
输入描述:
输入分为是3段,第一段是第一个链表的非公共部分,第二段是第二个链表的非公共部分,第三段是第一个链表和第二个链表的公共部分。 后台会将这3个参数组装为两个链表,并将这两个链表对应的头节点传入到函数FindFirstCommonNode里面,用户得到的输入只有pHead1和pHead2。
返回值描述:
返回传入的pHead1和pHead2的第一个公共结点,后台会打印以该节点为头节点的链表。
知识点
链表
示例
输入:
{1,2,3},{4,5},{6,7}
返回值:
{6,7}
说明:第一个参数{1,2,3}代表是第一个链表非公共部分,第二个参数{4,5}代表是第二个链表非公共部分,最后的{6,7}表示的是2个链表的公共部分
这3个参数最后在后台会组装成为2个两个无环的单链表,且是有公共节点的
输入:
{1},{2,3},{}
返回值:
{}
说明:2个链表没有公共节点 ,返回null,后台打印{}
解题过程
方法一:双指针
具体做法:
让p1和p2一起遍历,当p1先走完链表1的尽头(为null)的时候,则从链表2的头节点继续遍历,同样,如果p2先走完了链表2的尽头,则从链表1的头节点继续遍历,也就是说,p1和p2都会遍历链表1和链表2。
因为两个指针,同样的速度,走完同样长度(链表1+链表2),不管两条链表有无相同节点,都能够到达同时到达终点。
/*function ListNode(x){
this.val = x;
this.next = null;
}*/
function FindFirstCommonNode(pHead1, pHead2)
{
// write code here
var p1=pHead1,p2=pHead2;
while(p1!=p2){
if(p1!=null){
p1=p1.next;
}
else{
p1=pHead2;
}
if(p2!=null){
p2=p2.next;
}
else{
p2=pHead1;
}
}
return p1;
}
module.exports = {
FindFirstCommonNode : FindFirstCommonNode
};
复杂度分析
- 时间复杂度:O(M+N)。链表1和链表2的长度之和。
- 空间复杂度:O(1)。常数的空间。
方法二:集合set
具体做法:
先把第一个链表的节点全部存放到集合set中,然后遍历第二个链表的每一个节点,判断在集合set中是否存在,如果存在就直接返回这个存在的结点。如果遍历完了,在集合set中还没找到,说明他们没有相交,直接返回null即可
/*function ListNode(x){
this.val = x;
this.next = null;
}*/
function FindFirstCommonNode(pHead1, pHead2)
{
// write code here
var set=new Set();
while(pHead1){
set.add(pHead1);
pHead1=pHead1.next;
}
while(pHead2){
if(set.has(pHead2)){
return pHead2; //访问链表2的结点,判断集合中是否包含链表2的结点,如果包含就直接返回
}
else{
set.add(pHead2);
pHead2=pHead2.next;
}
}
return null; //如果集合set不包含链表2的任何一个结点,说明没有交点,直接返回null
}
module.exports = {
FindFirstCommonNode : FindFirstCommonNode
};
复杂度分析
- 时间复杂度O(M+N):M, N分别表示 pHead1, pHead2的链表长度,最差情况下需要遍历完两个链表
- 空间复杂度O(M):需要额外集合空间存储 pHead1 结点

文章介绍了如何在两个无环单向链表中寻找第一个公共结点。方法一是使用双指针同步遍历,方法二是利用集合set存储第一个链表的节点再遍历第二个。两种方法的时间复杂度均为O(M+N),空间复杂度分别为O(1)和O(M)。
421

被折叠的 条评论
为什么被折叠?



