线性回归
线性回归原理
通常对于一组特征数据和其标记值:
(
x
1
,
y
1
)
(x_1, y_1)
(x1,y1), (
x
2
x_2
x2,
y
2
y_2
y2), …, (
x
n
x_n
xn,
y
n
y_n
yn),在使用特征值
x
i
x_i
xi对
y
i
y_i
yi进行预测时,根据习惯,如果y_i是连续的,则称这种操作或者技术为回归;如果y_i是离散的,则通常称为分类。
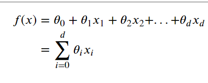
线性回归的一般形式:

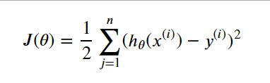
目标是找到特定的𝜃的值使f(x)尽可能接近y。均方误差是回归中常用的性能度量,即:

我们可以选择 𝜃 ,试图让均方误差最小化
极大似然估计(概率角度的诠释)


线性回归损失函数、代价函数、目标函数
损失函数(Loss Function):度量单样本预测的错误程度,损失函数值越小,模型就越好。
代价函数(Cost Function):度量全部样本集的平均误差。
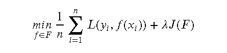
目标函数(Object Function):代价函数和正则化函数,最终要优化的函数。
常用的损失函数包括:0-1损失函数、平方损失函数、绝对损失函数、对数损失函数等;常用的代价函数包括均方误差、均方根误差、平均绝对误差等。
正则化
当模型复杂度增加时,有可能对训练集可以模拟的很好,但是预测测试集的效果不好,出现过拟合现象,这就出现了所谓的“结构化风险”。
结构风险最小化即为了防止过拟合而提出来的策略,定义模型复杂度为 𝐽(𝐹) ,当样本特征很多,样本数相对较少时,模型容易陷入过拟合。为了缓解过拟合问题,有两种方法:
方法一:减少特征数量(人工选择重要特征来保留,会丢弃部分信息)。
方法二:正则化(减少特征参数𝜃的数量级)
正则化是结构风险(损失函数+正则化项)最小化策略的体现,是在经验风险(平均损失函数)上加一个正则化项。正则化的作用就是选择经验风险和模型复杂度同时较小的模型。
防止过拟合的原理:正则化项一般是模型复杂度的单调递增函数,而经验风险负责最小化误差,使模型偏差尽可能小经验风险越小,模型越复杂,正则化项的值越大。要使正则化项也很小,那么模型复杂程度受到限制,因此就能有效地防止过拟合。
目标函数可表示为:

其中,
是用来平衡正则化项和经验风险的系数。
按正则项可分为
L_2范数正则化(Ridge Regression,岭回归)

L_1范数正则化(LASSO回归)

L_1正则项L_2正则项结合(Elastic Net)

其中,L1范数正则化、L2范数正则化都有助于降低过拟合风险。
L2范数通过对参数向量各元素平方和求平方根,使得范数最小,从而使得参数的各个元素接近0 ,但不等于0。
L1范数正则化比L2范数更易获得“稀疏”解,即范数正则化求得的会有更少的非零分量,所以范数可用于特征选择。
L2范数在参数规则化时经常用到(事实上,L0范数得到的“稀疏”解最多,但L0范数是参数中非零元素的个数,不连续,难以优化求解。因此常用L1范数来近似代替)。
优化方法
梯度下降

由于这个方法中,参数在每一个数据点上同时进行了移动,因此称为批梯度下降法,对应的,我们可以每一次让参数只针对一个数据点进行移动,即:

这个算法成为随机梯度下降法,随机梯度下降法的好处是,当数据点很多时,运行效率更高;缺点是,因为每次只针对一个样本更新参数,未必找到最快路径达到最优值,甚至有时候会出现参数在最小值附近徘徊而不是立即收敛。但当数据量很大的时候,随机梯度下降法经常优于批梯度下降法。
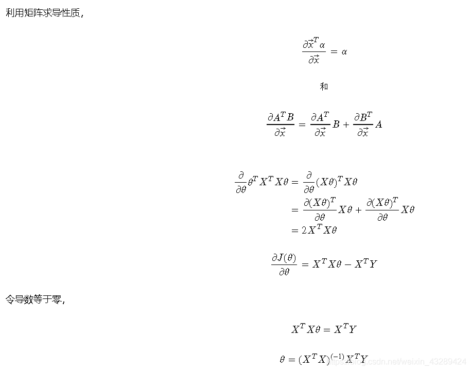
最小二乘法矩阵求解



线性回归评价指标

python手写代码
import numpy as np
from .metrics import r2_score
class LinearRegression:
def __init__(self):
'''初始化'''
self.coef_ = None#系数
self.interception_ = None#偏置
self._theta = None# 系数矩阵
def fit_normal(self,X_train,y_train):
'''根据训练集,使用正规方程训练模型'''
assert X_train.shape[0]==y_train.shape[0],\
'the size of X_train must be equal to the size of y_train'
X_b = np.hstack([np.ones((len(X_train),1)), X_train])#水平方向堆叠形成新数组,加一列1作为偏置的权重
self._theta = np.linalg.inv(X_b.T.dot(X_b)) . dot(X_b.T) . dot(y_train)#np.linalg.inv求逆
self.interception_ = self._theta[0]
self.coef_ = self._theta[1:]
return self
def fit_gd(self,X_train,y_train,eta=0.01,n_iters=1e4,epsilon=1e-8):
'''根据训练集,使用梯度下降法训练模型'''
def J(theta,X_b,y):
try:
return np.sum((y-X_b.dot(theta))**2)/len(y)#损失函数
except:
return float('inf')
def dJ(theta,X_b,y):
return X_b.T.dot(X_b.dot(theta)-y)*2/len(X_b)
def gradient_descent(X_b,y,initial_theta,eta=0.01,n_iters=1e4,epsilon=1e-8):
theta = initial_theta
i_iter = 0
while i_iter<n_iters:
last_theta = theta
theta = theta - eta*dJ(theta,X_b,y)
if abs(J(theta,X_b,y)-J(last_theta,X_b,y))<epsilon:
break
i_iter+=1
return theta
X_b=np.hstack([np.ones((len(X_train),1)),X_train])
initial_theta = np.zeros(X_b.shape[1])#初始化系数矩阵
self._theta = gradient_descent(X_b,y_train,initial_theta,eta,n_iters,epsilon)
self.interception_=self._theta[0]
self.coef_ = self._theta[1:]
return self
def predict(self,X_predict):
'''返回待预测数据集的结果向量'''
X_b = np.hstack([np.ones((len(X_predict), 1)), X_predict])
return X_b.dot(self._theta)
def score(self,X_test,y_test):
y_predict=self.predict(X_test)
return r2_score(y_test,y_predict)
def __repr__(self):
return 'LinearRegression()'
from sklearn import datasets
boston=datasets.load_boston()#加载波士顿房价数据集
X=boston.data#array形式
y=boston.target
X=X[y<50.0]
y=y[y<50.0]
X_train,X_test,y_train,y_test=train_test_split(X,y,seed=666)
reg=LinearRegression()
reg.fit_normal(X_train,y_train)#正规方程解,不需要归一化,公式计算
reg.coef_#系数w
reg.interception_#偏置b
reg.score(X_test,y_test)
#如果调用reg.fit_gd(X_train,y_train)
#会有警告,有溢出。这是因为使用梯度下降时没有先进行归一化
from sklearn.preprocessing import StandardScaler
standardScaler = StandardScaler()
standardScaler.fit(X_train)
X_train_standard = standardScaler.transform(X_train)
X_test_standard = standardScaler.transform(X_test)
reg=LinearRegression()
reg.fit_gd(X_train_standard,y_train)
print(reg.score(X_test_standard,y_test))
在数据量大的情况下,梯度下降法比正规方程速度快得多
sklearn封装
>>> from sklearn import linear_model
>>> reg = linear_model.LinearRegression()
>>> reg.fit ([[0, 0], [1, 1], [2, 2]], [0, 1, 2])
LinearRegression(copy_X=True, fit_intercept=True, n_jobs=1, normalize=False)
>>> reg.coef_
array([ 0.5, 0.5])
>>> from sklearn import linear_model
>>> reg = linear_model.Ridge (alpha = .5)
>>> reg.fit ([[0, 0], [0, 0], [1, 1]], [0, .1, 1])
Ridge(alpha=0.5, copy_X=True, fit_intercept=True, max_iter=None,
normalize=False, random_state=None, solver='auto', tol=0.001)
>>> reg.coef_
array([ 0.34545455, 0.34545455])
>>> reg.intercept_
0.13636...
本文深入解析线性回归原理,涵盖极大似然估计、损失函数、正则化等关键概念,并对比L1、L2范数正则化效果,探讨梯度下降及最小二乘法在优化过程中的应用。
804

被折叠的 条评论
为什么被折叠?



