Gradient Descent For Linear Regression(运用梯度下降算法得到线性回归模型)

博客涉及机器学习与梯度下降相关内容,虽具体内容待更新,但可推测会围绕机器学习领域中梯度下降这一重要方法展开,梯度下降常用于优化模型参数,在机器学习算法里有广泛应用。

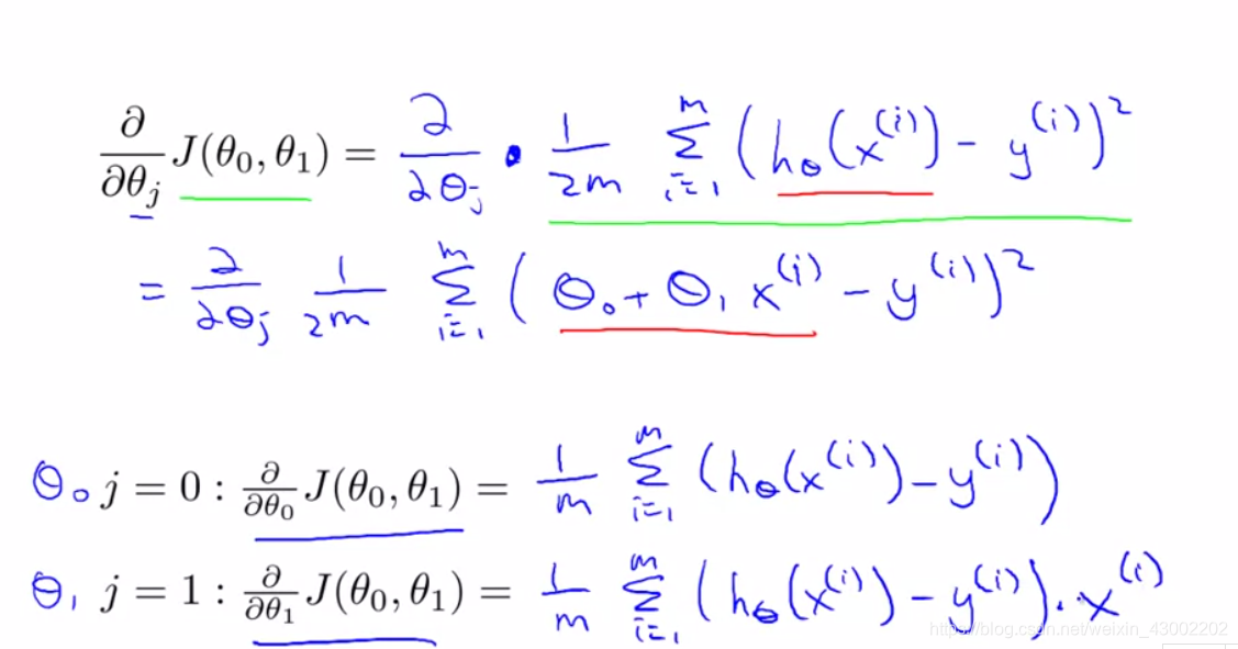
待更新... 

 

 

评论
添加红包

请填写红包祝福语或标题

红包个数最小为10个

红包金额最低5元

当前余额3.43前往充值 >
需支付:10.00
成就一亿技术人!
领取后你会自动成为博主和红包主的粉丝 规则
hope_wisdom
发出的红包
实付
使用余额支付
点击重新获取
扫码支付
钱包余额 0

抵扣说明:

1.余额是钱包充值的虚拟货币,按照1:1的比例进行支付金额的抵扣。
2.余额无法直接购买下载,可以购买VIP、付费专栏及课程。

余额充值