第五章 树和二叉树
数据结构基础代码 (严蔚敏 人邮教育出版社)
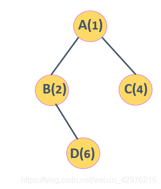
树的带权路径长度(Weighted Path Length) 定义:树中所有叶子的带权路径长度之和。
如下图所示,下图的二叉树有四个结点,每个结点带的权重如括号内所示,那么这棵二叉树的WPL=1×0+2×1+4×1+6×2=18

//求二叉树的带权路径长度
#include <stdio.h>
#include <stdlib.h>
#include <iostream>
using namespace std;
#define MaxSize 100
//二叉树的链式存储结构
typedef struct BiTNode
{
char data;
int weight;
struct BiTNode *lchild,*rchild;
} BiTNode,*BiTree;
//创建二叉树
int CreateBiTree(BiTree &T)
{
char ch;
int x;
cin >> ch;
if(ch=='#')
{
T=NULL;
}
else
{
cin >> x;
T=new BiTNode;
T->data=ch;
T->weight=x;
CreateBiTree(T->lchild);
CreateBiTree(T->rchild);
}
return 0;
}
//先序遍历(根左右)
void PreorderTraversal(BiTree T)
{
if(T)
{
printf("%c",T->data);
printf("(%d)",T->weight);
PreorderTraversal(T->lchild);
PreorderTraversal(T->rchild);
}
}
//求二叉树权重
int Weight1(BiTree T,int deep)
{
int sum=0;
if(T->lchild==NULL && T->rchild==NULL) //求叶子节点的权重
{
sum=deep*T->weight;
return sum;
}
if(T->lchild!=NULL) //求左孩子权重
{
sum += Weight1(T->lchild,deep+1); //递归返回左子树权重和
}
if(T->rchild !=NULL) //求右孩子权重
{
sum += Weight1(T->rchild,deep+1); //递归返回右子树权重
}
return sum + deep*T->weight; //加上自身的权重
}
int main()
{
BiTree T;
int deep=0;
cout<<"请输入先序遍历建立二叉树的节点"<<endl;
CreateBiTree(T);
printf("先序遍历打印二叉树\n");
PreorderTraversal(T);
cout<<endl;
printf("二叉树的带权路径和为:");
cout<<Weight1(T,deep)<<endl;
return 0;
}

注意:输入权重的时候我是先结点再权重输入,若此处无结点用#输入并且不输入权重。
1554

被折叠的 条评论
为什么被折叠?



