使用快慢指针解决单向链表中有三个经典问题:
1.中间值问题
设置两个指针fast和slow,其中fast每次移动2个节点,slow每次移动1个节点,当fast走到最后一个节点时,slow刚好指向了链表的中间。


代码实现:
package cn.yqd.itcast.test;
public class FastSlowTest {
public static void main(String[] args) throws Exception {
//创建结点
Node<String> first = new Node<String>("aa", null);
Node<String> second = new Node<String>("bb", null);
Node<String> third = new Node<String>("cc", null);
Node<String> fourth = new Node<String>("dd", null);
Node<String> fifth = new Node<String>("ee", null);
Node<String> six = new Node<String>("ff", null);
Node<String> seven = new Node<String>("gg", null);
//完成结点之间的指向
first.next = second;
second.next = third;
third.next = fourth;
fourth.next = fifth;
fifth.next = six;
six.next = seven;
//查找中间值
Node mid = getMid(first);
System.out.println("中间值为:"+mid.item);
}
/**
* @param first 链表的首结点
* @return 链表的中间结点的值
*/
public static Node getMid(Node<String> first) {
//定义两个指针
Node fast = first;
Node slow = first;
//使用两个指针遍历链表,当快指针指向的结点没有下一个结点了,就可以结束了,结束之后,慢指针指向的结点就是中间值
while(fast!=null &&fast.next!=null){
//变化fast的值和slow的值
fast = fast.next.next;
slow=slow.next;
}
return slow;
}
//结点类
private static class Node<T> {
//存储数据
T item;
//下一个结点
Node next;
public Node(T item, Node next) {
this.item = item;
this.next = next;
}
}
}
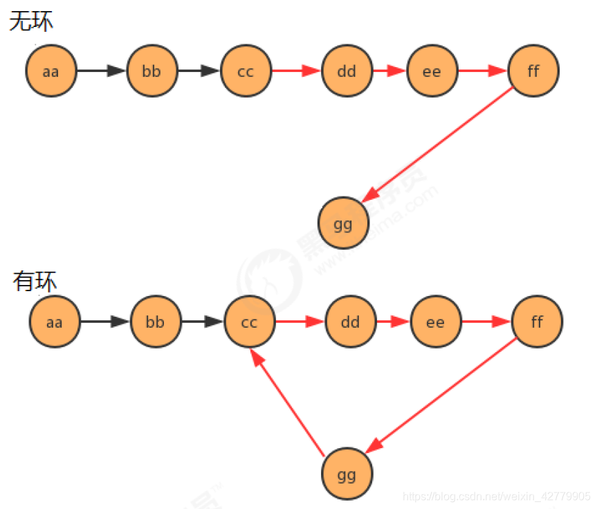
2.是否有环问题
由于fast和slow两个指针的速度不同,如果链表存在环,则一定会出现fast指针领先一圈追上slow指针的情况,所以当fast==slow时,证明链表有环。


代码实现:
package cn.yqd.itcast.test;
public class CircleListCheckTest {
public static void main(String[] args) throws Exception {
//创建结点
Node<String> first = new Node<String>("aa", null);
Node<String> second = new Node<String>("bb", null);
Node<String> third = new Node<String>("cc", null);
Node<String> fourth = new Node<String>("dd", null);
Node<String> fifth = new Node<String>("ee", null);
Node<String> six = new Node<String>("ff", null);
Node<String> seven = new Node<String>("gg", null);
//完成结点之间的指向
first.next = second;
second.next = third;
third.next = fourth;
fourth.next = fifth;
fifth.next = six;
six.next = seven;
// //产生环
// seven.next = third;
//判断链表是否有环
boolean circle = isCircle(first);
System.out.println("first链表中是否有环:"+circle);
}
/**
* 判断链表中是否有环
* @param first 链表首结点
* @return ture为有环,false为无环
*/
public static boolean isCircle(Node<String> first) {
//定义快慢指针
Node<String> fast = first;
Node<String> slow = first;
//遍历链表,如果快慢指针指向了同一个结点,那么证明有环
while(fast!=null && fast.next!=null){
//变换fast和slow
fast = fast.next.next;
slow = slow.next;
if (fast.equals(slow)){
return true;
}
}
return false;
}
//结点类
private static class Node<T> {
//存储数据
T item;
//下一个结点
Node next;
public Node(T item, Node next) {
this.item = item;
this.next = next;
}
}
}
3.有环链表入口问题
当用快慢指针证明了链表中环的存在时,我们此时再创建一个新指针指向链表的起点,并且步长与慢指针一致,此时,当新指针与慢指针相遇时,相遇的节点就是环的入口。(据说这一结论是一个数论问题,我暂时也没搞明白)


代码实现:
package cn.yqd.itcast.test;
public class CircleListInTest {
public static void main(String[] args) throws Exception {
Node<String> first = new Node<String>("aa", null);
Node<String> second = new Node<String>("bb", null);
Node<String> third = new Node<String>("cc", null);
Node<String> fourth = new Node<String>("dd", null);
Node<String> fifth = new Node<String>("ee", null);
Node<String> six = new Node<String>("ff", null);
Node<String> seven = new Node<String>("gg", null);
Node<String> eight = new Node<String>("hh", null);
//完成结点之间的指向
first.next = second;
second.next = third;
third.next = fourth;
fourth.next = fifth;
fifth.next = six;
six.next = seven;
seven.next = eight;
//产生环
eight.next = third;
//查找环的入口结点
Node<String> entrance = getEntrance(first);
System.out.println("first链表中环的入口结点元素为:"+entrance.item);
}
/**
* 查找有环链表中环的入口结点
* @param first 链表首结点
* @return 环的入口结点
*/
public static Node getEntrance(Node<String> first) {
//定义快慢指针
Node<String> fast = first;
Node<String> slow = first;
Node<String> temp = null;
//遍历链表,先找到环(快慢指针相遇),准备一个临时指针,指向链表的首结点,继续遍历,直到慢指针和临时指针相遇,那么相遇时所指向的结点就是环的入口
while(fast!=null && fast.next!=null){
//变换快慢指针
fast = fast.next.next;
slow = slow.next;
//判断快慢指针是否相遇
if (fast.equals(slow)){
temp = first;
continue;
}
//让临时结点变换
if (temp!=null){
temp = temp.next;
//判断临时指针是否和慢指针相遇
if (temp.equals(slow)){
break;
}
}
}
return temp;
}
//结点类
private static class Node<T> {
//存储数据
T item;
//下一个结点
Node next;
public Node(T item, Node next) {
this.item = item;
this.next = next;
}
}
}
233

被折叠的 条评论
为什么被折叠?



