













数字信号处理之数字滤波器设计
最新推荐文章于 2025-11-18 21:26:58 发布
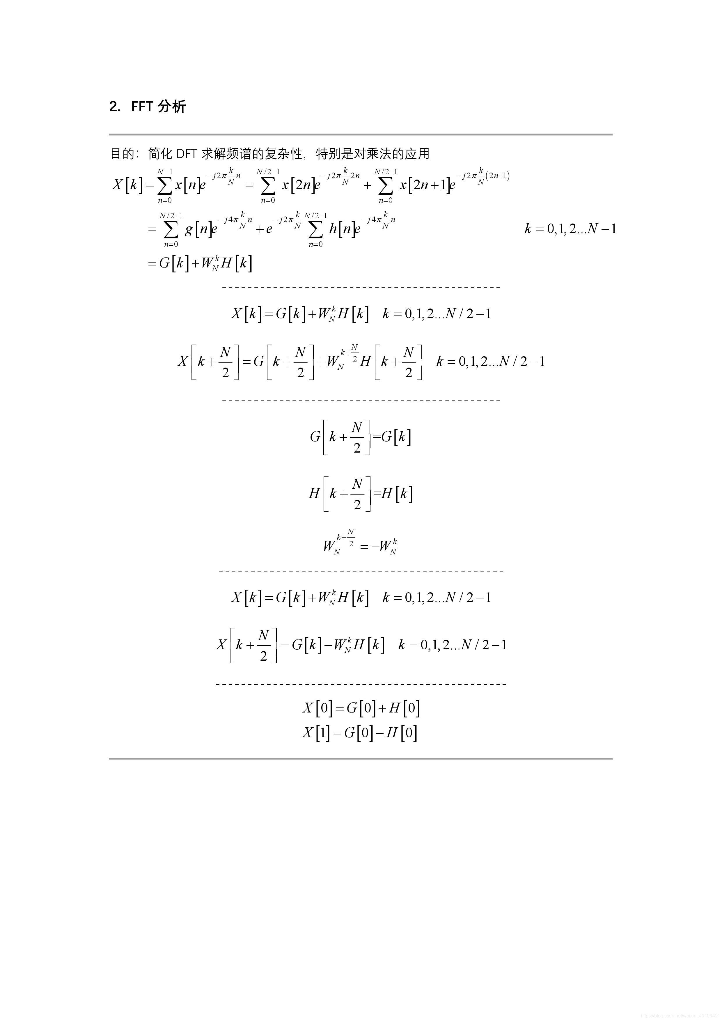
博客围绕数字信号处理展开,涉及DSP及数字滤波器相关内容,在信息技术领域,数字信号处理应用广泛,数字滤波器能对信号进行处理和优化。
博客围绕数字信号处理展开,涉及DSP及数字滤波器相关内容,在信息技术领域,数字信号处理应用广泛,数字滤波器能对信号进行处理和优化。














2254
4257

被折叠的 条评论
为什么被折叠?