



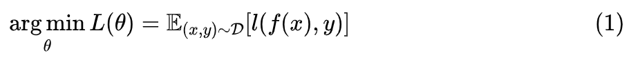
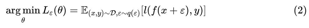
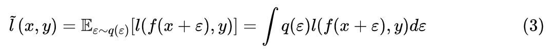
提高效率添加随机噪声的方式容易实现,而且在不少情况下确实也很有效,但它有一个明显的缺点:不够“特异性”。噪声 是随机的,而不是针对 x 构建的,这意味着多数情况下 可能只是一个平凡样本,也就是没有对原模型造成比较明显的扰动,所以对泛化性能的提高帮助有限。增加采样从理论上来看,加入随机噪声后,单个样本的 loss 变为:

近似展开
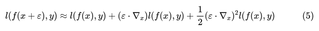
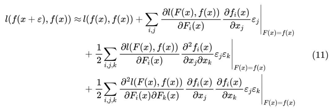
一个直接的想法是,如果能事先把式 (3) 中的积分算出来,那就用不着低效率地采样了(或者相当于一次性采样无限多的噪声)。我们就往这个方向走一下试试。当然,精确的显式积分基本上是做不到的,我们可以做一下近似展开:







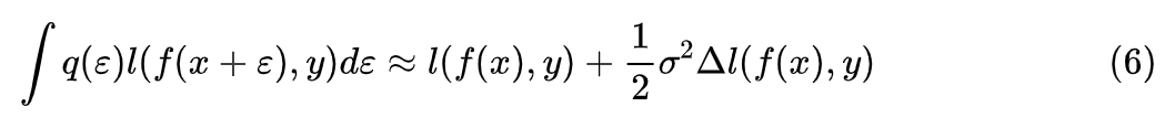
。这其实就是说 l 是光滑的,并且在 x=y 的时候取到极(小)值,且极(小)值为 0,这几个特点几乎是所有 loss 的共性了。基于这几个特点,恐怖的 (11) 式的前三项就直接为 0 了,所以最后的积分结果是:
梯度惩罚
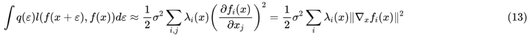
看上去依然让人有些心悸,但总比 (11) 好多了。上式也是一个正则项,其特点是只包含一阶梯度项,而对于特定的损失函数, 可以提前算出来,我们记为 ,那么:
这些结果大家多多少少可以从著名的“花书”《深度学习》[1] 中找到类似的,所以并不是什么新的结果。类似的推导还可以参考文献 Training with noise is equivalent to Tikhonov regularization [2]。
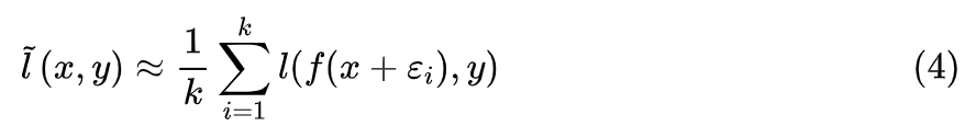
采样近似当然,虽然能求出只带有一阶梯度的正则项 ,但事实上这个计算量也不低,因为需要对每个 都要求梯度,如果输出的分量数太大,这个计算量依然难以承受。这时候可以考虑的方案是通过采样近似计算:假设 是均值为 0、方差为 1 的分布,那么我们有:




关于对抗训练的 Keras 实现,在对抗训练浅谈:意义、方法和思考(附Keras实现)一文中已经给出过,这里笔者给出 Keras 下虚拟对抗训练的参考实现:
def virtual_adversarial_training(
model, embedding_name, epsilon=1, xi=10, iters=1
):
"""给模型添加虚拟对抗训练
其中model是需要添加对抗训练的keras模型,embedding_name
则是model里边Embedding层的名字。要在模型compile之后使用。
"""
if model.train_function is None: # 如果还没有训练函数
model._make_train_function() # 手动make
old_train_function = model.train_function # 备份旧的训练函数
# 查找Embedding层
for output in model.outputs:
embedding_layer = search_layer(output, embedding_name)
if embedding_layer is not None:
break
if embedding_layer is None:
raise Exception('Embedding layer not found')
# 求Embedding梯度
embeddings = embedding_layer.embeddings # Embedding矩阵
gradients = K.gradients(model.total_loss, [embeddings]) # Embedding梯度
gradients = K.zeros_like(embeddings) + gradients[0] # 转为dense tensor
# 封装为函数
inputs = (
model._feed_inputs + model._feed_targets + model._feed_sample_weights
) # 所有输入层
model_outputs = K.function(
inputs=inputs,
outputs=model.outputs,
name='model_outputs',
) # 模型输出函数
embedding_gradients = K.function(
inputs=inputs,
outputs=[gradients],
name='embedding_gradients',
) # 模型梯度函数
def l2_normalize(x):
return x / (np.sqrt((x**2).sum()) + 1e-8)
def train_function(inputs): # 重新定义训练函数
outputs = model_outputs(inputs)
inputs = inputs[:2] + outputs + inputs[3:]
delta1, delta2 = 0.0, np.random.randn(*K.int_shape(embeddings))
for _ in range(iters): # 迭代求扰动
delta2 = xi * l2_normalize(delta2)
K.set_value(embeddings, K.eval(embeddings) - delta1 + delta2)
delta1 = delta2
delta2 = embedding_gradients(inputs)[0] # Embedding梯度
delta2 = epsilon * l2_normalize(delta2)
K.set_value(embeddings, K.eval(embeddings) - delta1 + delta2)
outputs = old_train_function(inputs) # 梯度下降
K.set_value(embeddings, K.eval(embeddings) - delta2) # 删除扰动
return outputs
model.train_function = train_function # 覆盖原训练函数
# 写好函数后,启用虚拟对抗训练只需要一行代码
virtual_adversarial_training(model_vat, 'Embedding-Token')完整的使用脚本请参考:https://github.com/bojone/bert4keras/blob/master/examples/task_sentiment_virtual_adversarial_training.py
大概是将模型建立两次,一个模型通过标注数据正常训练,一个模型通过无标注数据虚拟对抗训练,两者交替执行,请读懂源码后再使用,不要乱套代码。实验任务为情况分类,大约有 2 万的标注数据,取前 200 个作为标注样本,剩下的作为无标注数据,VAT 和非 VAT 的表现对比如下(每个实验都重复了三次,取平均):

文章小结
本文先介绍了添加随机噪声这一常规的正则化手段,然后通过近似展开与积分的过程,推导了它与梯度惩罚之间的联系,并从中引出了可以用于半监督训练的模型平滑损失,接着进一步联系到了监督式的对抗训练和半监督的虚拟对抗训练,最后给出了 Keras 下虚拟对抗训练的实现和例子。
参考链接
更多阅读




#投 稿 通 道#
让你的论文被更多人看到
如何才能让更多的优质内容以更短路径到达读者群体,缩短读者寻找优质内容的成本呢?答案就是:你不认识的人。
总有一些你不认识的人,知道你想知道的东西。PaperWeekly 或许可以成为一座桥梁,促使不同背景、不同方向的学者和学术灵感相互碰撞,迸发出更多的可能性。
PaperWeekly 鼓励高校实验室或个人,在我们的平台上分享各类优质内容,可以是最新论文解读,也可以是学习心得或技术干货。我们的目的只有一个,让知识真正流动起来。
? 来稿标准:
• 稿件确系个人原创作品,来稿需注明作者个人信息(姓名+学校/工作单位+学历/职位+研究方向)
• 如果文章并非首发,请在投稿时提醒并附上所有已发布链接
• PaperWeekly 默认每篇文章都是首发,均会添加“原创”标志
? 投稿邮箱:
• 投稿邮箱:hr@paperweekly.site
• 所有文章配图,请单独在附件中发送
• 请留下即时联系方式(微信或手机),以便我们在编辑发布时和作者沟通
?
现在,在「知乎」也能找到我们了
进入知乎首页搜索「PaperWeekly」
点击「关注」订阅我们的专栏吧
关于PaperWeekly
PaperWeekly 是一个推荐、解读、讨论、报道人工智能前沿论文成果的学术平台。如果你研究或从事 AI 领域,欢迎在公众号后台点击「交流群」,小助手将把你带入 PaperWeekly 的交流群里。


本文探讨了randn函数添加噪声作为正则化手段,通过数学推导揭示其与梯度惩罚的关系。文章介绍了半监督训练中的模型平滑损失,并涉及对抗训练和虚拟对抗训练,提供了Keras实现示例。
875

被折叠的 条评论
为什么被折叠?



